|
||||||||||||||||||||||||||||||||||||||||||||||||||||||||||||||||||||||||||||||||||||||||||||||||||||||||
![]()
|
BRÈVES de MATHS – Page 64 Un millier de faits et chiffres sur les nombres et les
mathématiques
En principe ces pages sont très abordables sans
connaissances particulières de maths. Elles sont proposées dans un ordre
quelconque favorisant la découverte de sujets multiples. |
Anglais: Facts and figures about numbers and mathematics
Curiosité avec racine de fraction

Le nombre sous radical à gauche se lit: deux ET deux tiers.
1360. Factorielle de fractions |
|
|||
|
Factorielle La factorielle du nombre n est le produit de tous
les nombres de 1 à n. Exemple: 4! = 1 × 2 × 3 × 4 = 24 Notation gamma Les mathématiciens notent aussi les factorielles
avec la lettre grecque gamma et … plus 1. Exemple: 4! = Γ(5) = 1 × 2 × 3 × 4 = 24 |
Factorielle de fraction Cette notation en gamma n'est pas gratuite, elle
permet le calcul de la "factorielle" de nombres fractionnaires.
Exemple proche de factorielle 4
|
|||
|
Brèves associées |
>>> Multiplications originales |
>>>
Brèves Opérations – Index |
||
|
Pour en savoir plus |
>>>
Fonction gamma |
>>>
Factorielles – Index |
||
1361. Racines étonnantes |
|
|||
|
Un calcul simple, réalisable de tête (9² + 19 =
81 + 19 = 100 et sa racine est 10. Mais, il est généralisable à de grands nombres. Exemple Problème présenté
aux Olympiades de Singapour |
|
|||
|
Brèves associées |
>>> 12
345 679 – Nombre de Carroll |
>>>
Brèves Nombres – Index |
||
|
Pour en savoir plus |
>>>
Calculs avec des racines |
>>>
Nombre 10 000 |
||
1362. Calcul de a² + b² |
|
||||||||||||||||||||||||||||||||
|
|||||||||||||||||||||||||||||||||
|
Brèves associées |
>>>
Calculer a5 + b5 |
>>> Brèves
Calculs – Index |
|||||||||||||||||||||||||||||||
|
Pour en savoir plus |
>>>
Autres calculs sous conditions |
>>> Défis
algébriques – Index |
|||||||||||||||||||||||||||||||
1363. Not a Number (NaN) |
|
|||||||||||||
|
Un NaN est une valeur
spéciale utilisée dans les calculs en virgule flottante pour représenter :
Certaines opérations donnent
un résultat non définissable dans le format utilisé :
|
Exemples
|
|||||||||||||
|
Brèves associées |
>>>
Nombre insignifiant |
>>>
Brèves Nombres – Index |
||||||||||||
|
Pour en savoir plus |
>>>
Nan – Développements |
>>>
Infini et zéro |
||||||||||||
1364. Deux demi-cercles |
|
|||
|
Construction Deux
demi-cercles identiques, articulée par un point commun d'extrémité de
diamètre. Propriété Les zones
en jaune ont la même aire quel que l'angle d'inclinaison. Explication Chacun
des demi-cercles est amputé de la même zone verte. Les parties restantes
(jaunes) ont la même aire. |
|
|||
|
Brèves associées |
>>>
Demi-cercle dans le triangle isocèle |
>>>
Brèves Géométrie – Index |
||
|
Pour en savoir plus |
>>> Deux
demi-cercles à 15° |
>>>
Défis géométriques |
||
1365. Nombres et carrés |
|
|||
|
Nombre
= Somme de deux carrés Théorème: un
nombre est somme de deux carrés si et seulement si chacun de ses facteurs
premiers de la forme 4k + 3 a un
exposant pair. |
Nombre
= Différence de deux carrés Tout nombre
impair est différence de deux carrés. Tout nombre
divisible par 4 est différence de deux carrés. Tout nombre
pair non divisible par 4 n'est pas différence de deux carrés. |
|||
|
Tableau des nombres n de 1 à 50 montrant ceux qui
sont sommes (S) ou différences (D) de deux carrés X pour les nombres égaux à 2 mod 4
qui ne sont jamais différence de deux carrés.
Note importante: ce tableau exclut les termes a et b égaux à 0
ou 1 pour éviter les cas triviaux Néanmoins: le cas de 3 doit être noté car 3 = 2² – 1² Recherche des termes pour la différence de carrés: n = a²
– b² = (a – b) (a + b). Par exemple pour n = 3, on choisira n = 1 × 3 avec a – b = 1 et a + b = 3, soit a = 2 et b =
1.
|
||||
|
Brèves associées |
>>> Somme des carrés |
>>> Brèves
Arithmétique – Index |
||
|
Pour en savoir plus |
>>>
Somme de deux carrés |
>>>
Nombres carrés |
||
1366. Trajectoire de la Lune |
|
||
|
Contre-intuitif … Dans le
référentiel héliocentrique,
la trajectoire de la Lune n'est pas le festonnage de gauche (Voir
Illustration), ni même l'ondulation
perceptible du milieu, mais elle se confond quasiment avec celle de le Terre. Phénomène
dû au fait que les orbites Soleil-Terre et Terre-Lune sont très différentes (rapport
d'environ 400). La trajectoire de la Lune est représentée sur le zoom
(rouge). Elle croise légèrement celle de la Terre environ 13 fois dans
l'année. Sur cette trajectoire la vitesse de la Lune par rapport au Soleil
varie entre 103% et 97% de la vitesse de la Terre par rapport au Soleil. Notez
que, comme la vitesse de la Lune autour du Soleil n'est jamais négative, il
n'y a pas de mouvement de rétrogradation de la Lune dans le référentiel du
Soleil. Représentation de la trajectoire héliocentrique
de la lune
|
|||
|
Brèves associées |
>>> Sens horaire et course du soleil |
>>>
Brèves Astronomie – Index |
|
|
Pour en savoir plus |
>>>
Trajectoire de la Lune |
>>>
Lune |
|
1367. Deux cercles dans un rectangle |
|
|||
|
Construction Un rectangle dont les côtés mesurent L et 2R.
Deux cercles de rayon R et r, tangents entre eux et, chacun avec les côtés du
rectangle. Propriété 1 La longueur du rectangle est reliée très simplement
aux rayons des cercles: Propriété 2 La longueur t des segments de tangentes issues du même point sont
égales. Cette longueur est reliée très simplement aux rayons des cercles: |
|
|||
|
Brèves associées |
>>> Rectangle et triangle rectangle |
>>>
Brèves Géométrie – Index |
||
|
Pour en savoir plus |
>>>
Rectangle et deux cercles (démo) |
>>>
Rectangle et deux cercles (suite) |
||
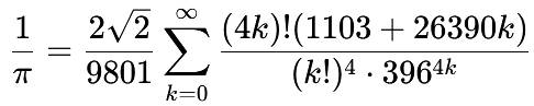
1368. Pi vu par Ramanujan |
|
||||
|
Srinivasa Ramanujan, mathématicien
indien autodidacte et génial, a marqué l’histoire des mathématiques par son
intuition exceptionnelle et ses formules audacieuses. Son héritage rappelle comment la créativité pure
peut transcender les frontières des connaissances établies, faisant de π
bien plus qu’un simple nombre : une porte d’entrée vers l’infini. |
|
Parmi ses contributions les plus célèbres figure
une série infinie pour calculer π, révélatrice de son talent unique pour
les identités complexes. Ramanujan a développé cette formule en combinant des
intégrales elliptiques et des fonctions modulaires, des domaines qu’il
maîtrisait avec une virtuosité inégalée. Son travail a ouvert la voie à des algorithmes
modernes de calcul de π, utilisés aujourd’hui dans les
supercalculateurs. |
|||
|
L’une de ses formules les plus fascinantes,
découverte en 1910, s’écrit
Cette série converge extrêmement
rapidement : chaque terme ajoute environ 8 chiffres décimaux exacts à l’approximation de π. Par
exemple, avec seulement k = 0,
on obtient déjà une valeur de π précise à 6 décimales. |
|||||
|
Brèves associées |
>>>
Constante Pi – Formules |
>>> Brèves
Nombres – Index |
|||
|
Pour en savoir plus |
>>> Formules de
Ramanujan pour Pi |
>>>
Constante Pi |
|||
1369. Décimales de Pi |
|
|||
|
Somme des 20 premières décimales de 𝛑 (Pi): Le tableau présente la quantité nécessaire de
décimales pour atteindre la somme indiquée. |
|
|||
|
Brèves associées |
>>>
Constante Pi – Formules |
>>>
Brèves Constantes – Index |
||
|
Pour en savoir plus |
>>>
Nombre 100 |
>>>
Constante Pi |
||
1370. Étoile à cinq branches |
|
|||
|
Compter les triangles de toutes sortes dans l'étoile à cinq branches. Il n'est pas si évident de repérer les cinq grands triangles verts. Effectivement le total est 10. |
|
|||
|
Brèves associées |
>>>
Points dans le carré |
>>>
Brèves Dénombrement – Index |
||
|
Pour en savoir plus |
>>>
Pentagone et étoile à cinq branches |
>>>
Compter les triangles |
||
1371. Suite de Ratchinski |
|
||
|
|
|||
|
Problème Au tableau est inscrit un calcul que les élèves
doivent absolument parvenir à résoudre :
Solution
Avec identités
remarquables
|
|||
|
Brèves associées |
>>> Identité de Brahmagupta |
>>>
Brèves Identités – Index |
|
|
Pour en savoir plus |
>>>
Carrés et puissances de consécutifs |
>>>
Consécutifs – Index |
|
1372. Rectangles dans le rectangle |
|
|||
|
Aire du rectangle en bas à gauche ?
|
Solution: suivre le
parcours en rouge
|
|||
|
Brèves associées |
>>> Aire
du rectangle dans le triangle |
>>>
Brèves Géométrie – Index |
||
|
Pour en savoir plus |
>>>
Énigmes sur les rectangles |
>>> Défis en
géométrie |
||
1373. Kitano |
|
|||
|
Jeux de chiffres Il existe plusieurs jeux consistant à atteindre
un nombre donné avec un jeu donné de chiffres et en mettant en œuvre les
opérations arithmétiques courantes. Le plus connu est sans doute le jeu du quatre
"4". Un autre consiste à utiliser tous les chiffres
dans l'ordre pour atteindre le maximum de nombres entiers. Kitano Le Kitano dérive de ce dernier avec la contrainte
d'utiliser les chiffres de 1 à k avec k le plus petit possible. À l'origine le défi consistait à atteindre le
numéro de l'année en cours. Décennie 2020 Le tableau donne les solutions pour la décennie
en cours (en fait de 2020 à 2030). |
Exemples
|
|||
|
Brèves associées |
>>>
Quatre 4 – Jeu |
>>>
Brèves Jeux – Index |
||
|
Pour en savoir plus |
>>>
Kitano >>>
Jeu du quatre "4" |
>>>
Nombre 2026 >>>
Année 2026 |
||
1374. Tiers et triangle équilatéral |
|
|||
|
Représentation géométrique de la série
d'Archimède dans un triangle équilatéral. Chaque triangle jaune est inscrit dans un
triangle équilatéral et en occupe exactement le quart
de l’aire. En observant la figure formée par l’ensemble des
triangles jaunes, on constate qu’elle peut être reproduite trois fois par
basculement haut-bas et translation de chaque petit triangle. Ces trois copies, placées sur le grand triangle,
sans chevauchement, reconstituent entièrement ce grand triangle. Ainsi, chaque copie représente exactement un tiers de son aire. Moralité: comment
transformer des quarts en tiers. |
|
|||
|
Brèves associées |
>>> Tiers
et somme des impairs |
>>>
Brèves Nombres – Index |
||
|
Pour en savoir plus |
>>>
Nombre 0,333… = 1/3 |
>>>
Triangle équilatéral |
||
1375. Dallage et Pythagore |
|
|||
|
Le théorème de Pythagore était connu depuis des
siècles. Les égyptiens utilisaient une corde à nœuds (3, 4, 5) formant un
triangle rectangle. On dit que Pythagore aurait eu l'idée de formuler
son théorème en observant cette forme de dallage au sol dans un palais. Compter les triangles blancs et les triangles
jaunes: il y en a autant dans le grand carré oblique que dans les deux plus
petits carrés réunis. |
|
|||
|
Brèves associées |
>>>
Théorème de la carpette |
>>>
Brèves Géométrie – Index |
||
|
Pour en savoir plus |
>>>
Théorème de Pythagore |
>>>
Triangles |
||
1376. Somme de carrés et produita² + b² + c² + d² = abcd |
|
|||
|
Table de six cas.
Je ne
connais que des cas avec a = b = 2 Et dans
ces cas, il y a une infinité de solutions. On déduit la suivante en faisant:
c = d et d = 4d – c (Voir
démo) Mais la
formule itérative n'atteint pas tous les cas possibles. |
Relation entre ces nombres – Démonstration
|
|||
|
Brèves associées |
>>> Carré
et cubes – Belle égalité |
>>>
Brèves Relations – Index |
||
|
Pour en savoir plus |
>>>
Nombre 528 |
>>>
Nombres carrés |
||
1377. Magie et Fibonacci |
|
|||
|
Construction du tableau Choisir deux nombres (5 et 2) Construire le tableau avec ces deux nombres en tête. Poursuivre à la façon Fibonacci en posant le nombre suivant comme la
somme des deux précédents. Stop à l ligne 10. Propriété 1 La division du 10e terme par le 9e produit un
nombre qui commence toujours par 1,61 quels que soient les deux premiers nombres. Pas de miracle, en poursuivant la séquence, cette fraction va tendre
vers le nombre d'or. Propriété 2 La somme des dix nombres du tableau est égale à onze fois la 7e
ligne: 451 = 11 × 41. Propriété générale des nombres de Fibonacci, même étendus à des
nombres quelconques au départ. |
|
|||
|
Brèves associées |
>>> Magie
avec des verres à pied |
>>>
Brèves Magie – Index |
||
|
Pour en savoir plus |
>>>
Nombres de Fibonacci |
>>>
Itérations – Index |
||
1378. Sommes de consécutifs et 2k |
|
|||
|
Propriété Tous les nombres entiers sont somme d'entiers consécutifs sauf les
puissances 2. Théorème Un nombre est la somme d'entiers consécutifs si et seulement s'il n'est pas une
puissance de 2. Cette propriété est directement liée à la présence ou non de facteurs
impairs dans sa décomposition. Un entier est somme d’entiers consécutifs si
et seulement s’il possède un diviseur impair supérieur à 1. Or… les seules valeurs qui n’ont aucun diviseur impair > 1
sont les puissances de 2. Records Record de quantité de partitions pour un nombre: (3, 1), (9, 2), (15,
3), (45, 5), (105, 7), … Ainsi, il existe 7 partions du nombre 105 en somme
de consécutifs. Les quantités record sont aussi les nombres hautement composés
impairs. |
Le nombre 9 peut être exprimé par deux sommes de nombres consécutifs. C'est
le plus petit (record). Le suivant est 15 avec trois possibilités de telles
partitions |
|||
|
Brèves associées |
>>>
Partitions du nombre 200 |
>>>
Brèves Théorie des Nbs – Index |
||
|
Pour en savoir plus |
>>>
Partition en nombres consécutifs |
>>>
Nombres consécutifs |
||
1379. Chiffres et puissances |
|
||||||||||||||||||||||||||
|
Sommes de
puissances consécutives à partir de 1
|
|||||||||||||||||||||||||||
|
Brèves associées |
>>> Cubes: 33 + 43 + 53
= 63 |
>>>
Brèves Motifs – Index |
|||||||||||||||||||||||||
|
Pour en savoir plus |
>>>
Somme des puissances des chiffres |
>>>
Nombres et motifs – Index |
|||||||||||||||||||||||||
![]()
|
Retour |
·
Brèves
de maths – Page 63 |
|
Suite |
·
Brèves
de maths – Page 65 |
|
Voir |
·
Voir
liens en haut de page |
|
Cette page |
![]()