NOMBRES – Curiosités, Théorie et Usages

 

Accueil                           DicoNombre            Rubriques           Nouveautés      Édition du: 27/01/2025

Orientation générale        DicoMot Math          Atlas                   Actualités                       M'écrire

Barre de recherche          DicoCulture              Index alphabétique        Références      Brèves de Maths 

    

Maths en se divertissant

 

Débutants

Général

BRÈVES de MATHS

 

Glossaire

Général

 

 

INDEX

 

Brèves

 

Atlas des maths

Page 1

Page 20

Page 30

Page 40

Page 50

Page 60

Page 50

(980-999)

Page 51

(1000-1019)

Page 52

(1020-1039)

Page 53

(1040-1059)

Page 54

(1060-1079)

Page 55

(1080-1099)

Page 56

(1100-1119)

Page 57

(1120-1139)

Page 58

(1140-1159)

Page 59

(1160-1179)

 

 

 

 

 

BRÈVES de MATHS – Page 58

Un millier de faits et chiffres

sur les nombres et les mathématiques

 

Ces pages sont dédiées à tous ceux qui veulent aborder les mathématiques en douceur et en s'amusant tout en découvrant les aspects les plus fondamentaux de cette discipline. Un parcours à picorer avec nombreux liens d'orientation vers les développements destinés à satisfaire votre curiosité.

En principe ces pages sont très abordables sans connaissances particulières de maths. Elles sont proposées dans un ordre quelconque favorisant la découverte de sujets multiples.

Anglais: Facts and figures about numbers and mathematics

 

 

1140.     Nombre 1089 = 1100 – 11 

 

Observations

Observez la table de multiplication du nombre 1089. Voyez les unités, les dizaines, les centaines et les milliers. Saut de 1 à chaque fois, en plus ou en moins.

Observez également la symétrie de la table (nombres retournés).

 

Table de multiplication par 1089

 

 

Explication

Le nombre 1089 est égal à 1100 – 11.

De sorte que pour passer d'un multiple au suivant, il suffit:

*      d'ajouter 1 aux centaines et aux milliers, et

*      de retirer 1 aux unités et aux dizaines.

 

 Principe valable pour de nombreux nombres
en 111… –   …11  comme 109.

 

Passage d'un multiple au suivant

   

Brèves associées

>>> Nombre 1023

>>> Brèves Nombres – Index

Pour en savoir plus

>>> Multiplications type 1100 – 11

>>> Nombre 1089

>>> Palindrome

>>> Multiplications

>>> Nombres retournés

 

 

1141.     Équation avec racines

 

Défi

Cette équation est publiée sur Internet.  Sa résolution semble compliquée. Elle est pourtant simple: une question de manipulation des exposants des puissances.

 

Piste

Rappel: la racine d'un produit est égale au produit des racines.

Élevons les deux membres au carré. Alors le carré d'une racine carrée est le nombre lui-même.

Avec deux élévations au carré, tous les radicaux de racine carrée disparaissent

Alors x est la racine cubique de 3 à la puissance 4.

La seconde solution utilise les exposants sous forme de fractions sachant que la racine énième de x est notée x1/n.

 

Deux solutions

Brèves associées

>>> Équation avec racines cubiques

>>> Brèves Calculs – Index

Pour en savoir plus

>>> Calculs avec les puissances

>>> Puissances fractionnaires

 

 

1142.     Achats-Ventes

 

Énigme

J'ai acheté une vache: 800 euros.

 

Je l'ai vendue: 1 000 euros.

 

Je l'ai rachetée: 1 100 euros.

 

Je l'ai revendue: 1 300 euros.

 

Quel est mon gain ?

 

Solution

On peut facilement arriver à effectuer un raisonnement erroné.

Le moyen le plus sûr pour aboutir au résultat juste consiste à visualiser les dépenses et recettes successives et d'observer les soldes.

Dit-autrement: visualiser le porte-monnaie.

 

Suite aux dépenses et recettes successives, le solde s'établit à 400 euros

   

Brèves associées

>>> Énigme des 30 euros

>>> Le faux billet de 50 euros

>>> Brèves Énigmes – Index

Pour en savoir plus

>>> Énigmes d'achats-ventes

>>> Amusements logiques

 

 

1143.     Division à traits

 

Division originale et facile

 

Une sorte de retour au boulier: les nombres sont représentés par des traits.

Pour réaliser la division par 4, on les arrange par paquets de 4 (ici en vert).

 

Opération réalisée pour chaque chiffre du nombre en partant de la gauche.

On note la quantité de paquets pour chaque chiffre.

S'il reste des traits (ici en rouge), on reporte leur quantité comme dizaines pour le chiffre suivant.

 

Bilan

 

Division à traits

       

Brèves associées

>>> Division euclidienne (classique)

>>> Brèves Opérations – Index

Pour en savoir plus

>>> Multiplication à traits

>>> Nombre 4

>>> Division – Bases

>>> Boulier – Abaque

 

 

 

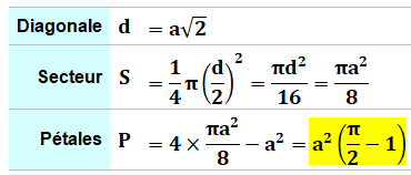
1144.     Aire des pétales

 

Aires de quatre pétales

formées par les quarts de cercles centrés sur les sommets du carré et dont le rayon est égal à la moitié de la diagonale.

 

  

Pétales = 4Secteurs Car

Brèves associées

>>> Aire du rectangle dans le triangle

>>> Brèves Géométrie – Index

Pour en savoir plus

>>> Poster: aires avec les cercles

>>> Défis en géométrie – Index

 

 

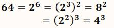
1145.     Puissances multiples

 

Propriété

Une puissance dont l'exposant k est un nombre composé peut se mettre sous la forme de nombres à la puissance ayant pour exposant un diviseur de k.

 

Exemple (Voir tableau)

Le nombre 64 est la puissance 6 de 2. Or, le nombre k = 6 est un  nombre composé égal à 2 × 3. Alors, 64 est une puissance à la fois de 2 et de 3.

 

Écriture avancée

 

 

Exemples

   

Brèves associées

>>> Puissances – Un truc de calcul

>>> Brèves Opérations – Index

Pour en savoir plus

>>> Nombres puissants

>>> Diviseurs

>>> Nombre 16 777 216

 

 

1146.     Citerne remplie au quart

 

Problème direct

Une citerne cylindrique est en position horizontale. Elle contient du gazole.

La jauge indique h = 1/4 du diamètre du cylindre. Quelle est la quantité de gazole ?

Le calcul du volume connaissant la hauteur est donné par une formule qu'il suffit de calculer:

 

 

Problème inverse

Nous devons remplir la cuve au quart de sa capacité en surveillant la hauteur. Mais qu'elle est la hauteur à atteindre.

Dans l'équation, on connait A et R, il faut calculer h. Or, l'inconnue h est enfouie dans un arccos et sous une racine. Pas simple  !!!

Plus que cela, c'est impossible. La seule manière de s'en sortir consiste à effectuer des approximations successives

 

 

Citerne

 

Solution

Pour remplir la citerne au quart, la hauteur à atteindre est:

h = 0,596…

 

Anglais: Quarter-Tank Problem

Brèves associées

>>> Verre ballon penché

>>> Brèves Énigmes – Index

Pour en savoir plus

>>> Problème de la citerne (explications)

>>> Équations transcendantes

 

 

1147.     Somme des puissances de 9

 

Calcul simple des sommes des puissances successives de 9 (par factorisation)

 

Liste des premières sommes des puissances de 9

1, 10, 91, 820, 7381, 66430, 597871, 5380840, 48427561, 435848050, 3922632451, …

                        Notez l'alternance 0, 1 pour les unités.

 

Ce sont les nombres de la forme (9n – 1)/8 qui sont aussi les nombres triangulaires différences de carrés; aussi les repunits (1, 11, 111, …) en base 9

 

Brèves associées

>>> Calcul avec des puissances

>>> Brèves Calculs – Index

Pour en savoir plus

>>> Somme des puissances de 9

>>> Calculs de sommes

 

 

1148.     Racine de racines

 

Calculer

                 la racine de racine de 49 moins racine de 48.

 

La première idée consiste à se débarrasser du radical principal en élevant l'expression au carré.

Ensuite, on essaie justement de trouver un carré, du moins la forme développée du carré d'une somme.

Brèves associées

>>> Racine triple de 2

>>> Brèves Calculs – Index

Pour en savoir plus

>>> Calculs avec des racines

>>> Racines carrées

 

 

1149.     Voirie minimale

 

Voirie minimale pour cinq villes

Cinq villes au sommet d'un pentagone régulier. Toutes les villes doivent être reliées entre elles. Cependant, l'urbanisme cherche à minimiser le coût.

Quelle est la disposition des routes qui minimise la longueur totale du réseau routier ?

 

Arbre de Steiner

Le réseau le plus court est obtenu en ajoutant trois points intermédiaires (point de Steiner). Il se troue que ces points sont entourés de trois angles à 120°.

 

Construction (en suivant la figure):

*      dessiner un pentagone régulier;

*      trois verticales à partir de A, B et D;

*      l'angle de 42° à partir de E; intersection en G;

*      l'angle de 120° en G; intersection en H;

*      horizontale en G; intersection en I.

*      dessiner l'arbre de Steiner (segments roses)

 

Arbre de Steiner d'ordre 5

 

La longueur du réseau est 3,891… c, avec c le côté du pentagone.

Brèves associées

>>> Graphe – Devinettes

>>> Brèves Graphe – Index

Pour en savoir plus

>>> Arbres de Steiner

>>> Pentagone

 

 

1150.     Nombres en racines

 

Observation

Il est toujours possible d'exprimer un nombre entier sous la forme d'une racine carrée.

Et cela, de diverses manières.

C'est à Ramanujan que l'on doit les formules qui expriment un nombre entier sous la forme de la racine d'un produit incrémenté de 1.

Le produit est celui de deux nombres distants de deux unités.

 

Explication

Le produit sous la racine est l'identité remarquable:
(a – 1) (a + 1) = a² – 1.

Ajoutez 1 et vous obtenez un carré.

      

Formules

Brèves associées

>>> Carré et cubes – Belle égalité

>>> Brèves Relations – Index

Pour en savoir plus

>>> Racines carrées

>>> Identités remarquables

>>> Ramanujan

 

 

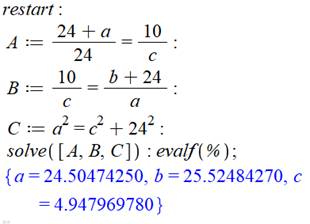
1151.     Géométrie complexe !

 

Problème

Sur cette figure formée de deux triangles rectangles, les valeurs de a, b et c sont inconnues.
Comment les calculer ?

Pistes

Les triangles rectangles ABC et EDC sont semblables et, nous pouvons établir des proportions.

Avec les triangles rectangles, nous pouvons appliquer le théorème de Pythagore.

Assez d'équations pour résoudre un système à trois inconnues.

Oui, mais la résolution est très complexe et à solutions réelles et complexes … Aujourd'hui, les logiciels mathématiques sont d'un grand secours !

Ci-dessous, deux exemples. Pour chacun il est possible d'exiger des résultats avec plus de décimales.

Problème posé par Gérard Crézé sur Tangente n°215

   

 

Résolution avec WolframAlpha (disponible en ligne)

 

Résolution avec Maple

Brèves associées

>>> Démonstration en géométrie

>>> Brèves Géométrie – Index

Pour en savoir plus

>>> Racines carrées

>>> Identités remarquables

>>> Système d'équations

>>> Ramanujan

>>> Logiciel Maple

>>> Théorème de Pythagore

 

 

1152.     Carré différence de carrés

 

Énigme classique sur Internet et solution

  

   

Démystification

Le fait que 49 soit un carré ou pas ne change rien.

On exploite ici une relation générale qui dit que:

Évidemment a et b ne seront des nombres entiers que si n est impair.

 

Exemples

  21 = 11² – 10² = 121 – 100

101 = 51² – 50² = 2601 – 2500

Propriété

Tout nombre impair n est différence de deux carrés, l'un des nombres a est la moitié du nombre incrémenté de 1 et l'autre la moitié du nombre décrémenté de 1.

Brèves associées

>>> Cubes et carré de sommes de consécutifs

>>> Brèves Relations – Index

Pour en savoir plus

>>> Différences de carrés

>>> Carrés

 

 

1153.     Énigmes arithmétiques

Quelle est la moitié de deux plus deux ?

1/2 de 2, plus 2 = 3

Mais 1/2 de (2+2) = 2 est tout aussi acceptable.

Quelle relation simple lie 2, 3, 4 et 5 ?

2 + 5 = 3 + 4

Calculer: 1/2 de 2/3 de 3/4 de 4/5 de 5/6 de 6/7 de 7/8 de 8/9 de 9/10 de 1000

Sept frères sont nés à deux ans d’intervalle. Le plus jeune a sept ans. Quel est l’âge du frère aîné ?

Sept frères mais six intervalles:
7 + 6
× 2 = 19 ans

Faire 1000 avec huit 8.

888 +88 + 8 + 8 + 8 = 1000

Dans deux ans, Tom aura deux fois l’âge qu’il avait il y a cinq ans. Quel âge a Tom ?

Si x est son âge. Dans deux ans : x + 2 et il y a cinq ans: x – 5. En égalant:
(x + 2) = 2(x – 5) => x = 12 ans

Un couple a décidé d’organiser un pique-nique. Ils ont 5 fils et chaque fils a trois sœurs. Et chacune d’entre elles a un bébé. Combien d’individus  sont allés au pique-nique ?

Couple: 2 (à ne pas oublier).

Fils: 5

Sœurs : 3 (les mêmes pour chacun des frères)

Bébé: 3

Total: 13

Dans une course, vous dépassez la personne en deuxième position. Quelle est alors votre nouvelle place ?

Vous avez pris la place du deuxième, alors vous êtes deuxième !

Trois nombres différents donnent la même somme que leur produit. Lesquels ?

1 + 2 + 3 = 1 × 2 × 3

On connait aussi: 2 + 2 = 2 × 2

Comment faire huit en ajoutant deux allumettes à trois allumettes ?

En formant le chiffre romain: VIII.

Brèves associées

>>> Énigme trompeuse

>>> Brèves Jeux – Index

Pour en savoir plus

>>> Énigmes virales sur Internet

>>> Énigmes et jeux – Index

 

 

1154.     Triplet 3 5 7

 

Propriété

Le triplet {3, 5, 7} est le seul formé de trois nombres premiers impairs consécutifs.

 

Occasion d'un beau raisonnement avec les pairs et les impairs en y ajoutant le fait que seul le nombre 2 est un nombre premier PAIR.

 

Pairs et impairs

Voyez cet exemple et la règle générale de l'addition des nombres selon qu'ils sont pairs (P) ou impairs (I):

La même règle vaut pour les soustractions.

 

Nombres premiers

La liste commence par: 2, 3, 5, 7, 11, 13 …
Seul 2 est un premier PAIR, tous les autres nombres premiers sont IMPAIRS.

        

 

Énigme

Quels sont les cinq nombres PREMIERS tels que:
e = a + b = c – d.

 

Démonstration

   

Brèves associées

>>> Parité des puissances

>>> Brèves Théorie des Nbs – Index

Pour en savoir plus

Nombre 3 / Nombre 5 / Nombre 7

Triplet {3, 5, 7}

>>> Pairs et impairs

>>> Nombres premiers

 

 

1155.     Trois constantes rapprochées

 

Triangle quasi-rectangle

Le triangle ayant pour côtés les trois constantes e, Phi et Pi est quasiment un triangle rectangle. La relation du théorème de Pythagore est presque vérifiée.

 

Le carré de Pi est proche de 10, comme l'est la somme des carrés de e et Phi.

 

Comparaison

Brèves associées

>>> Carré et cubes – Belle égalité

>>> Brèves Relations – Index

Pour en savoir plus

>>> Constante e

>>> Constante Pi

>>> Constante Phi (nombre d'or)

>>> Constantes

 

 

1156.     Cavalier et hypercube

 

 

Les 24 (= 4!) trajets possibles du cavalier pour rejoindre la position six cases plus bas.

 

C'est la représentation de l'hypercube.

 

http://diconombre.fr/Geometri/Hypercub_fichiers/image019.jpg

 

Brèves associées

>>> Carré et cubes – Belle égalité

>>> Brèves Grilles – Index

Pour en savoir plus

>>> Déplacements du cavalier

>>> Hypercube

 

1157.     Pépites numériques

 

Brèves associées

>>> Égalités surprenantes

>>> pépites en trapèze

>>> Brèves Pépites – Index

Pour en savoir plus

>>> Pépites numériques

>>> Magie – Index

 

 

 

1158.     Apprendre les multiplications

 

Table de Nicolas Chuquet (1145-1500)

Cette table en triangle a l'avantage de ne présenter que les produits "utiles" car 3×7 = 7x3 par exemple.

 

Apprentissage

Notez qu'une fois connues les multiplications par 2, 3, 4 et 5, assez faciles à apprendre, il ne reste seulement que dix multiplications à connaitre.

 

Les multiplications par 9 sont simples et on peut connaitre: 6×9, 7×9, 8×9 et 9×9. Reste six.

 

Apprenez par cœur les carrés de 6, 7 et 8, il n'en reste plus que trois.

 

Si vous notez que 56 = 7×8 (chiffres qui se suivent). Il en reste deux à apprendre par cœur: 6×7 et 6×8.

 

Brèves associées

>>> Multiplication mentale – le truc général

>>> Brèves Relations – Index

Pour en savoir plus

>>> Table de multiplications

>>> Multiplication par 9

>>> Nombre 56 = 7×8

>>> Apprendre les carrés

 

 

1159.     Racine de 5

 

Construction

Le triangle rectangle isiaque (3, 4, 5).

Son cercle circonscrit.

Le triangle rose de la figure.

Son hypoténuse mesure racine de 5.

 

Explications

Les côtés mesurent 1 et 2. Le théorème de Pythagore donne:

 

Pourquoi 1 pour le petit côté ?  Ce segment fait partie du rayon du cercle qui vaut 5 / 2 = 2,5.

Or, l'autre partie du segment est égal à la moitié du côté mesurant 3, soit 1,5 (théorème des points milieux).

Alors: 2, 5 – 1, 5 = 1.

   

Brèves associées

>>> Nombre d'or et puissances

>>> Brèves Nombres – Index

Pour en savoir plus

>>> Théorème des points milieux

>>> Théorème de Pythagore

>>> Triangle isiaque

>>> Racine de 5 = 2,236…

 

 

 

 

 

Retour

*         Brèves de maths – Page 57

Suite

*         Brèves de maths – Page 59

Voir

*         Voir liens en haut de page

Cette page

http://diconombre.fr/NombDico/aBreves/Breve58.htm