Accueil

Orientation générale

Barre de recherche

DicoNombre

DicoMot Math

DicoCulture

Atlas des maths

Rubriques

Index alphabétique

Nouveautés

Actualités

Références

Édition du: 15/02/2026

M'écrire

Brèves de Maths

 

INDEX

 

Réseaux
Graphe

Topologie

Dénombrement

Logique

GRAPHES

Graphes – Introduction

Arbres – Introduction

Réseaux et chemins

Chemin eulérien

Diamètre

Minimiser la voirie (Steiner)

Graphe planaire

Cinq pays

Chemin le plus court

Graphe de Delaunay

Trois maisons

Voyageur de commerce

Ivrogne

Petit monde

Multiple et diviseurs

Chemin auto-évitant

Colonies de fourmis

Nombres de Delannoy

Chemin du serpent

Taxi dans Manhattan

Faites un double-clic pour un retour en haut de page

 

 

Minimiser la voirie (le réseau)

Arbres de Steiner

 

Étant donné n villes (ou maisons), il s'agit de trouver le réseau de voirie qui comptera le minimum de kilomètres. Toutes les villes doivent être desservies même si le chemin doit passer par d'autres points intermédiaires.

Deux types de solutions:

*      les routes ne se croisent jamais – Notion d'arbre couvrant (spanning tree);

*      les croisements sont permis – Notion d'arbre de Steiner (Steiner tree)

Les solutions avec croisements sont les plus performantes. S'il est facile de trouver les solutions pour trois, quatre ou cinq villes, le problème devient vite incroyablement difficile à résoudre (NP-Complet). 

Problème d'optimisation d'un réseau selon le facteur coût.  

         

 

Sommaire de cette page

>>> Approche

>>> L’arbre couvrant: relier sans inventer

>>> L’arbre de Steiner : optimiser en inventant

>>> Cas des polygones réguliers

>>> Bilan

Revue de détail

>>> Trois villes – Arbre couvrant et arbre de Steiner

>>> Quatre villes – Diverses possibilités

>>> Points de Steiner

>>> Voirie minimale pour cinq villes 

>>> Arbre minimal pour l'hexagone

>>> Cas de l'heptagone

>>> English Corner

   

Débutants

Dénombrement

 

Glossaire

Combinatoire

 Anglais: Connect the towns, the motorway problem (Isenberg 1975)

 

 

 

Approche

haut

 

Relier le monde : des arbres couvrants aux arbres de Steiner

Dans bien des situations de la vie réelle, relier plusieurs points n’est pas seulement une question de géométrie : c’est une affaire de coût, d’efficacité, parfois même de survie.

Imaginez un ingénieur chargé de déployer un réseau électrique dans une région montagneuse. Les villages sont dispersés, les reliefs compliqués, et chaque mètre de câble coûte cher. Comment relier tout le monde sans gaspiller de ressources ?

Ou encore un urbaniste qui doit concevoir un réseau d’eau potable pour un nouveau quartier. Les habitations sont déjà implantées, mais les jonctions, elles, restent à inventer.

Derrière ces questions très concrètes se cache une idée mathématique simple et puissante : comment relier un ensemble de points en minimisant la longueur totale du réseau ?

Deux réponses existent, deux philosophies presque opposées, et pourtant complémentaires : l’arbre couvrant minimal et l’arbre de Steiner minimal.

 

 

 

L’arbre couvrant: relier sans inventer

haut

 

Cette première approche est la plus intuitive.

 

On dispose d’un ensemble de points — des villes, des capteurs, des stations — et l’on souhaite les relier sans ajouter de nouveaux lieux de jonction. On ne peut utiliser que ce qui existe déjà.

Le résultat s’appelle l’arbre couvrant minimal, ou MST (Minimum Spanning Tree). C’est un réseau qui :

*      relie tous les points,

*      ne contient aucune boucle inutile, et

*      minimise la longueur totale des segments.

 

Dans un paysage réel, cela revient à dire : « Je relie les villages entre eux en choisissant les routes les plus courtes possibles, mais je n’ai pas le droit de construire de nouveaux carrefours. »

 

Cette contrainte peut sembler restrictive, mais elle a un avantage immense : le MST se calcule rapidement, même pour des   milliers de points. C’est pourquoi il est omniprésent dans les algorithmes modernes, du routage Internet à la conception de réseaux de transport.

 

 

Graphe de base avec coûts par segment

 

Sélection de l'arbre couvrant minimal

Voir Nomenclature des problèmes de réseaux et chemins

 

 

 

L’arbre de Steiner : optimiser en inventant

haut

 

Mais parfois, la réalité offre plus de liberté. Dans un réseau électrique, rien n’empêche d’installer un transformateur supplémentaire. Dans un réseau d’irrigation, on peut creuser un puits intermédiaire.
Dans un circuit électronique, on peut ajouter un nœud de connexion.

 

Dès lors, une nouvelle question apparaît : et si l’on autorisait l’ajout de points intermédiaires pour réduire encore la longueur totale ? C’est le principe de l’arbre de Steiner minimal, ou SMT (Steiner Minimal Tree).

Ici, les mathématiques deviennent plus subtiles : les points ajoutés — les points de Steiner — ne sont pas choisis au hasard. Ils apparaissent exactement là où ils permettent un gain maximal, et les segments qui s’y rencontrent forment toujours des angles de 120°. Une signature géométrique élégante, presque organique.

 

Dans la nature, on retrouve des structures proches dans les réseaux vasculaires, les ramifications des arbres, ou les systèmes racinaires : la géométrie de Steiner semble être une stratégie spontanée d’économie de matière.

Dans l’industrie, les arbres de Steiner apparaissent dans :

*      le routage de circuits intégrés,

*      la planification de pipelines,

*      la distribution d’eau ou d’électricité, et

*      la logistique et les réseaux de transport.

   

Arbre de Steiner créé par un film savonneux autour de cinq points

 

Propriété

Les segments se rencontrent toujours avec un angle de 120° autour du point de Steiner.

 

Intérêt

Le gain typique est d’environ 13 % par rapport au MST pour des configurations irrégulières.

Mais ce gain a un prix : le problème devient extrêmement difficile à résoudre dès que le nombre de points augmente. Là où le MST se calcule en un clin d’œil, le SMT exige souvent des heuristiques, des approximations, ou des algorithmes spécialisés.

 

 

Méthodes de résolution des arbres de Steiner

Trouver un arbre de Steiner minimal est un problème difficile : dès que le nombre de points augmente, le nombre de configurations possibles explose.

 

Contrairement au MST, qui se calcule en temps polynomial, le problème de Steiner est NP‑difficile.

 

On utilise donc plusieurs familles d’algorithmes selon la taille et la précision recherchée.

 

Résoudre un arbre de Steiner : le procédé général

Trouver un arbre de Steiner consiste à construire un réseau aussi court que possible en reliant un ensemble de points, tout en ayant le droit d’ajouter des jonctions intermédiaires. Le procédé suit toujours la même logique, quelle que soit la méthode utilisée.

On commence par relier les points existants de la manière la plus simple possible, souvent en construisant un réseau sans cycles. Ce réseau sert de point de départ. Ensuite, on cherche à repérer les zones où l’on pourrait raccourcir le réseau en ajoutant un point intermédiaire. On teste alors différentes positions possibles pour ces points, en vérifiant si l’ajout permet de réduire la longueur totale.

Chaque fois qu’un point intermédiaire est ajouté, on réorganise localement le réseau pour que les segments se rencontrent selon des angles proches de 120°, ce qui est la configuration la plus efficace. On compare ensuite la longueur obtenue avec celle du réseau précédent. Si le réseau est plus court, on le conserve ; sinon, on revient en arrière.

Ce processus se répète :

*      proposer une nouvelle jonction,

*      ajuster les segments autour,

*      mesurer la longueur,

*      garder ou rejeter l’amélioration.

À grande échelle, on explore ainsi de nombreuses configurations possibles, en éliminant progressivement celles qui ne peuvent pas être optimales. Le résultat final est un réseau qui relie tous les points avec une longueur totale aussi faible que possible, même si la solution exacte n’est pas toujours garantie pour les très grands ensembles.

 

Jakob Steiner (1796‑1863) était un mathématicien suisse, célèbre pour ses travaux en géométrie. 

 

 

Quand la symétrie change tout : le cas des polygones réguliers

haut

 

Les polygones réguliers sont de bons exemples pour comprendre la différence entre MST et SMT. On pourrait croire que plus la figure est régulière, plus les points de Steiner devraient être efficaces. C’est l’inverse qui se produit.

 

Pour 3, 4 ou 5 sommets

Les points de Steiner apportent un gain réel. Les réseaux obtenus sont élégants, symétriques, et plus courts que le MST.

 

À partir de 6 sommets

Un phénomène surprenant apparaît : le réseau de Steiner optimal n’utilise plus aucun point de Steiner.

Pourquoi ?
Parce que le périmètre moins une arête — un simple chemin qui suit presque tout le contour — est déjà si efficace que l’ajout de points intermédiaires ne permet plus de réduire la longueur totale.

 

Ainsi, pour un hexagone, un heptagone, un octogone… MST =  SMT = périmètre moins un côté. Dans ces cas, les points de Steiner ne servent plus à rien.

 

Si l’on exclut volontairement le cas du périmètre moins une arête

Alors d’autres réseaux apparaissent : des étoiles centrées, des réseaux en Y, des structures plus symétriques. Ils sont intéressants d’un point de vue esthétique ou théorique, mais ils ne sont pas optimaux au sens strict. Ils ne deviennent pertinents que si l’on impose des contraintes supplémentaires :
centralité, robustesse, symétrie, ou limitations techniques.

 

3 – 1,732…

Trois sommets

Longueur de l'arbre: 1,732… 

4 – 2,732…

5 – 3,891…

6 – 5

7 = 6

8 = 7

 

Bilan

Deux philosophies,
un même objectif

L’arbre couvrant minimal et l’arbre de Steiner minimal ne s’opposent pas : ils se complètent.

*      Le premier privilégie la simplicité et la rapidité.

*      Le second cherche l’efficacité absolue, quitte à complexifier la structure.

 

Dans la vie réelle, les ingénieurs naviguent souvent entre les deux : parfois on ne peut pas ajouter de nœuds, parfois on le peut.

Parfois la géométrie est irrégulière et le gain de Steiner est précieux, parfois la symétrie rend le MST naturellement optimal.

 

 

 Revue de détail

 

Trois villes – Arbre couvrant et arbre de Steiner

haut


 

Arbre couvrant (spanning tree)

D'une manière générale, un arbre couvrant d'un graphe est un arbre inclus dans le graphe qui connecte tous les sommets du graphe.

Avec trois sommets, un arbre couvrant nécessite deux arêtes (par exemple: AC et CB).

C'est l'arbre couvrant qui minimise la longueur totale du graphe (L = 2).

 

 

 

Arbre de Steiner (Steiner tree)

Il est possible de réduire la longueur totale de l'arbre en ajoutant des points intermédiaires.

Avec trois sommets, un point central (vert) réduit la longueur du totale du réseau.

Avec un triangle équilatéral, le point optimum se trouve au centre O du triangle et :

 

 

Gain de longueur

Le gain de longueur entre un arbre de Steiner et un arbre couvrant d'ordre 3 est  =>

Avantage supplémentaire: le trajet maximum entre deux villes passe de 2 = 23 / 3 =   1,154 …

 

Voir Cas du triangle équilatéral

 

 

 

Quatre villes – Diverses possibilités

haut

 

Relier quatre villes

Les quatre villes sont situées aux sommets d'un carré.

 Elles doivent être accessibles les unes par les autres.

Il existe un chemin qui permet de rejoindre une ville aux trois autres.

 

Deux questions

Quelle est la configuration de la voirie qui minimise le trajet le plus long parmi tous ?

 

Quelle est la configuration qui minimise la quantité d'asphalte. Autrement-dit: quelle est la configuration dont la longueur totale de la voire est la plus courte ?

 

Piste

Toutes les villes sont reliées par une route (configuration du haut):

*    trajet le plus court: un côté du carré, soit 1 km;

*    trajet le plus long: la diagonale du carré, soit 1,41 km; et

*    longueur totale de la voirie: quatre côtés plus deux diagonales, soit 6,83 km.

Les essais suivants réduisent ces valeurs jusqu'à aboutir aux minimums possibles.

 

Solutions (en jaune)

Les routes limitées aux diagonales offre le plus petit trajet "le plus long" avec 1, 41 km pour chacun.

 

Pour la voirie minimum, la solution passe par des routes posées sur deux triangles équilatéraux opposés. La longueur totale des routes est  alors: 2,73 km

Il a fallut poser deux points de croisement intermédiaires.

 

Voir Explications et calculs / Énigme du raccordement des cinq maisons

 

 

Points de Steiner ou de Fermat

haut

 

Avec trois sommets

Il est possible de réduire la longueur totale de l'arbre en ajoutant un point intermédiaire, dit point de Steiner.

 

Avec un triangle équilatéral, le point optimum se trouve au centre du triangle.

 

Notez que les angles autour du point de Steiner valent 120°.

  

 

Avec quatre sommets

L'arbre couvrant les quatre points, sommets d'un carré, compte trois arêtes au minimum.

Il est possible de réduire la longueur totale du réseau en introduisant un ou deux points intermédiaires.

La longueur est alors diminuée de 6% pour un point et de 9% pour deux points.

Ajouter d'autres points ne réduit pas la longueur.

 

  

 

Propriétés

 

Tous les points de Steiner sont entourés de trois angles de 120° (prouvé).

 

Un arbre de Steiner minimal possède au plus n – 2 points de Steiner.

 

 

Rapport de longueurs entre un arbre de Steiner minimal et un arbre couvrant minimum:

On a longtemps pensé qu'il ne pouvait pas être inférieur à 3 / 2 = 0,866…

 

Or, valeurs trouvées en 1978:

*      pour le plan (deux dimensions): 0,74309…

*      pour tout espace à n dimensions:  0,669…

 

Voir Point de Fermat d'un triangle quelconque et sa construction avec des triangles équilatéraux

 

 

 

Voirie minimale pour cinq villes

haut

 

 

Pour cinq villes ou cinq points

L'arbre de Steiner minimum pour cinq points disposés aux sommets d'un pentagone régulier est montré sur cette figure.

Pour sa construction (en suivant la figure):

*      dessiner un pentagone régulier;

*      trois verticales à partir de A, B et D;

*      l'angle de 42° à partir de E; intersection en G;

*      l'angle de 120° en G; intersection en H;

*      horizontale en G; intersection en I.

*      dessiner l'arbre de Steiner (segments roses)

 

 

Angles de l'arbre de Steiner 5

Comme tous ces arbres, les points de Steiner sont entourés d'angles de 120°.

 

L'angle interne du pentagone vaut 108°.

Dans le triangle AGE, l'angle en A vaut: 108 – 90 = 18°.

Le troisième angle de ce triangle vaut: 180 – 120 – 18 = 42°. 

 

Dimensions de l'arbre de Steiner 5

Toujours dans le triangle AGE, avec la loi des sinus:

                     

Hauteur du pentagone:

Hauteur du triangle isocèle GHI:

 

Dimensions du réseau d'ordre 5

Ce réseau comporte trois points de Steiner: G, H et I.

 

 

Longueur totale du réseau

L = 2(0,772… + 0,365… + 0,577…)
             + 0,477…

L = 3,891…

Côté du triangle isocèle GHI:

Arête DH:

   

Longueur du réseau pour pentagone régulier unité

Valeur calculée avec Maple et vérifiée avec GeoGebra

 

 

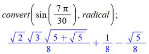
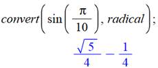
Pour information

Valeur des sinus avec radicaux

Voir Brève 58-1149

 

 

Arbre minimal pour l'hexagone régulier

haut

Références

Graphe (bleu)

&

Ses dimensions

 

 

Construction sur un hexagone de côté 3.

Ainsi, les arêtes du graphe valent 1.

 

Longueur du graphe

Trajet le plus long

Graphe

9

3

63 = 10,392…

33 = 5,196…

53 = 8,660…

53

63 = 10,392…

43 = 6,928…

 9

 

4

 Voir Cas de six villes en carrés

 

 

 

Heptagone

haut

 

 

 

Il s'agit bien de l'heptagone régulier.

 

Notez que le réseau n'est pas symétrique

et que le réseau rose (Steiner) est 10% plus long que le réseau vert de périphérie.

 

Une des topologies pour arbre de Steiner d'ordre 7

 

 

English Corner

The motorway problem is an interesting one in optimization.

Suppose that there are four cities, A, B, C, and D, located at the four corners of a square with sides of length 1. A network of motorways is to connect all four cities in the shortest distance possible in order to optimise construction costs.

What configuration of motorways will yield the minimum total distance?

 

Suppose a finite set of points are randomly scattered about in the plane. How can they be joined by a network of straight lines with the shortest possible total length?

It is easy to see that the shortest network must be a tree that is a connected network containing no cycle.

If no new points can be added to the original set of points, the shortest network connecting them is called a minimum spanning tree.

 

 

 

Merci à Emmanuel Moreau pour ses précieuses contributions

 

 

Retour

*           ARBRE DE DISTRIBUTION – Problème de l'arbre de Steiner – Résolution

Suite

*           Chemin le plus court

*           Chemin eulérien

*           Chemin de la fourmi sur pavé, cylindre

*           GrapheIndex

Voir

*           Diagramme de Venn

*           Dominos et graphe

*           Échiquier et graphe

*           Énigmes et paradoxes

*           Intelligence artificielle

*           JeuxIndex

*           Logique formelle

*           Raisonnement

*           TopologieGlossaire

Sites

*           Le point de Steiner d’un triangle – CNRS

*           Les points de Steiner dans le plan - Antoine Clausse et Ayoub Alami

*           Find a shorter route to connect these 4 cities by Highways | Minima to find the shortest route – Mew Mahs – Vidéo

*           A mathematical solution to the motorway problem- Matthew T. Michaelson

*           Steiner Tress on a Checkerboard – Fan Chug, Marin Gardner, Ron Graham.

*           Steiner trees – Wikipedia – La version française est plus succincte

Cette page

http://diconombre.fr/LogForm/QatVille.htm