NOMBRES – Curiosités, Théorie et Usages

 

Accueil                           DicoNombre            Rubriques           Nouveautés      Édition du: 03/10/2024

Orientation générale        DicoMot Math          Atlas                   Actualités                       M'écrire

Barre de recherche          DicoCulture              Index alphabétique        Références      Brèves de Maths 

      

Maths en se divertissant

 

Débutants

Général

BRÈVES de MATHS

 

Glossaire

Général

 

 

INDEX

 

Brèves

 

Atlas des maths

 

Page 1

Page 10

Page 20

Page 30

Page 40

Page 50

 

Page 30 (480-599)

Page 31 (600-619)

Page 32 (620-639)

Page 33 (640-659)

Page 34 (660-679)

Page 35 (680-699)

Page 36 (700-719)

Page 37 (720-739)

Page 38 (740-759)

Page 39 (760-779)

 

 

 

 

 

 

BRÈVES de MATHS – Page 34

Un millier de faits et chiffres

sur les nombres et les mathématiques

 

Ces pages sont dédiées à tous ceux qui veulent aborder les mathématiques en douceur et en s'amusant tout en découvrant les aspects les plus fondamentaux de cette discipline. Un parcours à picorer avec nombreux liens d'orientation vers les développements destinés à satisfaire votre curiosité.

En principe ces pages sont très abordables sans connaissances particulières de maths. Elles sont proposées dans un ordre quelconque favorisant la découverte de sujets multiples.

Anglais: Facts and figures about numbers and mathematics

 

 

660.            Nombres  120 et 210

Deux nombres "cousins" par leurs chiffres et par leurs propriétés avec les nombres consécutifs.

=

Nombre triangulaire et tétraédrique

120 = 1 + 2 + 3 + … + 15 = 1/2 (15 x 16)

        = 1 + 3 + 6 + 10 + 15 + 21 + 28 + 36

Nombre triangulaire produit de consécutifs

120 = 1 x 2 x 3 x 4 x 5

        =       2 x 3 x 4 x 5

        =                   4 x 5 x 6  = 6! / 3!    

Nombre triangulaire, somme de triangulaires

120 = T1 + T2 +…+ T8 = T15

 

=

Nombre triangulaire

210 = 1 + 2 + 3 + … + 20 = 1/2 (20 x 21)

Nombre triangulaire produit de consécutifs

210 = 5 x 6 x 7 = 7! / 4!

Nombre triangulaire, somme de triangulaires

210 = T4 + T5 +…+ T10 = T20

Nombre triangulaire, somme de produits

210 = 1•2•3 + 2•3•4 + 3•4•5 + 4•5•6

Nombre triangulaire, divisions

210 = 7! / 4! = 9! / 123

Brèves associées

>>> Nombre 12

>>> Brèves Nombres – Index

Pour en savoir plus

>>> Nombres triangulaires

>>> Nombres tétraédriques

 

 

661.            Aire du rectangle dans carré

 

Énigme

Un carré ABCD de côté 10. Les milieux E et G.

Un rectangle qui s'appuie sur les semi-diagonales DE et BG.

Quelle est l'aire du rectangle ?

 

Solution

Notez que, du fait des parallèles, les triangles AED et BCG sont isométriques.

Toujours avec les parallèles et l'égalité des angles, les triangles ADE et HGD sont semblables. Le rapport d'homothétie est k = DE / DG (rapport entre les hypoténuses).

 

Calculs

Aire(ADE)

=

DE²

=

DA² + AE²

=

10² + 5² = 125 = 5

k = DE / DG

=

Aire(DHG)

=

Aire(ADE) / k²

=

25 / 5 = 5

Aire blanche

=

2 (25 + 5) = 60

Aire rectangle

=

100 – 60 = 40

 

 

Brèves associées

>>> Rectangle – Point interne

>>> Brèves Géométrie – Index

Pour en savoir plus

>>> Rectangle

>>> Carrés – Index

 

 

662.            Nombre 2 et racines continues

 

Une manière originale de démontrer que :

 

On part de la valeur du cosinus de Pi/4 et application de la formule de l'angle double.

Ce procédé est répété pour des angles moitié à chaque fois.

Calcul de la limite lorsque le dénominateur est infini; l'angle est nul; et, cos 0 = 1

Brèves associées

>>> Nombre 2

>>> Brèves Nombres – Index

Pour en savoir plus

>>> Racines continues

>>> Nombre 2 en maths et culture générale

 

 

663.            Cercle interne au carré

Problème

Quel est de rayon du cercle interne au carré de côté unité ?

Le cercle est tangent au deux quarts de cercle et à un côté du carré.

 

Solution

Soit la tangente en P au cercle rose et au cercle vert. Sa perpendiculaire porte le centre de chaque cercle. Or, B est le centre du quart de cercle. Le centre du cercle rose est donc sur le segment PB.

Même raisonnement pour le point Q. Le centre du cercle rose se trouve sur AQ.

Ce centre est donc à l'intersection O de AQ et BP.

Par symétrie le point O est aussi sur GH.

Le triangle AOH est rectangle et:
OH² = AO² – AH²
r² = (R – r)² – (R/2)² = (1 – r)² – 1/4
r² = 1 – 2r + r² – 1/4
2r = 1 – 1/4 = 3/4
r = 3/8

Brèves associées

>>> Cercles et triangles équilatéraux

>>> Brèves Géométrie – Index

Pour en savoir plus

>>> Cercle et sécante

>>> Sangakus

 

 

 

664.            Pentagone (très) approché

 

Construction simple du pentagone qui s'approche du pentagone régulier à 4 pour 1000.

Intérêt pour les arpenteurs: jardins, bassins, bâtiments, etc.

 

Il s'agit d'un triangle équilatéral emmanché dans un carré en ses 2/3. Le sommet du triangle et les deux sommets à la base du carré constituent trois sommets du pentagone.

Construire les trois arcs de cercles figurés en pointillés. Ils créent deux points d'intersections externes, les deux derniers sommets du pentagone.

Construction de Ian Mansour

Brèves associées

>>> Construction du pentagone régulier

>>> Construction avec la fraction 10/17

>>> Brèves Géométrie – Index

Pour en savoir plus

>>> Constructions approchées du pentagone

>>> Mesures dans le pentagone

 

 

665.            Nombres de Kimberling

 

Kimberling attribue un numéro aux points remarquables du triangle. Ainsi:

*     X1 Centre du cercle inscrit (intersection des bissectrices);

*     X2 Centre de gravité (intersection des médianes);

*     X3 Centre du cercle circonscrit (intersection des médiatrices);

*     X4 Orthocentre (intersection des hauteurs)

Vous connaissez ces quatre points vus au lycée. Passionné, peut-être quelques autres vous sont connus. Imaginez, en 2012, le répertoire de Kimberling en compte plus de 42 000.

  

Les quatre points classiques du triangle et leur numéro de Kimberling

Brèves associées

>>> Triangle de Conway

>>> Brèves Géométrie – Index

Pour en savoir plus

>>> Nombres de Kimberling

>>> Éléments remarquables dans le triangle

 

 

666.            Équation en x45

 

En 1593, Adrianus Romanus propose cette équation à ces contemporains.

François Viète (1540-1603), mathématicien français, est le premier à la résoudre. Il a rapidement reconnu que l'équation était satisfaite par la corde d'un cercle de rayon 1, sous-tendant un arc de 8° (2Pi/45). C'est la solution dont disposait  Romanus. En fait, Viète a trouvé les 22 autres solutions  positives.

Une amitié entre les deux mathématiciens se noue.

 

À la fin du texte, Viète propose de résoudre le dernier problème (le dixième) du traité perdu d'Apollonius: tracer un cercle tangent à trois cercles donnés.

 

Équation

45x – 3795x3 + 95634x5 + …+ x45 = N

Solution

Brèves associées

>>> Équation de Bachet

>>> Brèves Équations – Index

Pour en savoir plus

>>> Équation en x45 et Viète

>>> Équations

 

 

 

667.            Triangle rectangle (suite)

Une démonstration immédiate

Égalité de l'aire des deux rectangles:

AB · AC = AH · BC

 

Brèves associées

>>> Triangle rectangle – Approche

>>> Brèves Géométrie – Index

Pour en savoir plus

>>> Triangle rectangle – Propriétés

>>> Triangle – Index

 

 

668.            Carré par quatre points

 

But

Construire un carré passant par les points A, B, C et D quelconques.

 

Construction

Segment DB.

Segment CE perpendiculaire à DB et avec CE  = DB.

Par B, C, D, E passent une infinité de carrés.
Il faut sélectionner celui qui passe par A.

Droite AE.

Perpendiculaire en D à AE.

Perpendiculaire en C à la droite en D.

Perpendiculaire en B à la droite en C.

 

Propriété utilisée

Dans un carré deux sécantes perpendiculaires découpent des segments de même longueur.

  

 

 

Brèves associées

>>> Polygones rigides

>>> Brèves Constructions – Index

Pour en savoir plus

>>> Rectangle et carré par quatre points

>>> Carré (géométrie) – Index

 

 

 

669.            Quatre nombres au carré

 

Quadruplet simple

Trouvez trois nombres a, b, c et d tels que:

b – a = n² ; c – b = m² ; d – c = p²; d – a = q²

 

Les carrés se trouvent sur le périmètre.
Il y en a une infinité.

 

Quadruplet complet

Le quadruplet est complet si les deux différences sur les diagonales sont aussi des carrés

b – d = r²; c – a = s²

 

Ces quadruplets sont très rares! Imposer une somme carrée est un véritable défi. Michel Rolle à trouvé un tel quadruplet dont les quatre nombres ont sept chiffres.

 

Exemples de quadruplets simples

   

Brèves associées

>>> Carré et cube à la fois

>>> Brèves Puissances – Index

Pour en savoir plus

>>> Quatre nombres au carré

>>> Carré (nombres) – Index

 

 

670.            Énigme des âges

 

Problème

Le produit de l'âge de Clément dans 10 ans par celui qu'il avait il y a 10 ans est égal à 44.

Quel est l'âge de Clément ?

 

Commentaire

Cas typique d'application de la résolution des équations du deuxième degré par méthode de factorisation.

 

Note

Somme des racines: 2 – 22 = -20

Produit des racines: 2 x (-22) = -44

Valeurs présentes dans l'équation !

 

Solution par mise en équation

Brèves associées

>>> La somme des deux âges

>>> Brèves Énigmes – Index

Pour en savoir plus

>>> Énigmes sur les âges

>>> Âges devinés – Énigmes

 

 

671.            Dominos en carré

 

Énigme

Un carré et quatre rectangles (dominos) sont disposés pour former un grand carré (Voir illustration).

On sait que l'aire du grand carré (A) vaut quatre fois celle du carré interne (a)

Quelle est le rapport entre la longueur (Y) de chaque domino et leur largueur (y) ?

  

Solution la plus simple

Calcul avec les aires:

 

Solution en image

Brèves associées

>>> Énigme du parking

>>> Brèves Énigmes – Index

Pour en savoir plus

>>> Carrés – Propriétés

>>> Âges

 

 

 

672.            Nombre 14

Somme des premiers carrés

14 = 1² + 2² + 3² = 1 + 4 + 9

 

Somme des premières puissances de 2

14 = 21 + 22 + 23      (= 1110 en binaire)

 

Mêmes chiffres de part et d'autre de l'égalité.

14 = 4 x 3 + 2 = 42 / 3

Tous les chiffres de 1 à 9, une seule fois avec ces deux puissances de 14.

Brèves associées

>>> Nombre 13

>>> Brèves Nombres – Index

Pour en savoir plus

>>> DicoNombre 14 – Maths

>>> DicoNombre 14 – Culture 

>>>  Motifs pannumériques

 

 

673.            Factorielle – Programme 

 

Rappel: exemple avec  factorielle de 4

4! = 1 x 2 x 3 x 4 = 24

 

Programme conventionnel

 

Pour 10!

F = 1 est la factorielle du départ.

 

La boucle tourne n fois (soit 10 fois) et calcule: F = 1 x 2  = 2,  puis F = 2 x 3 = 6, puis F = 6 x 4 = 24, etc.

 

En bleu le résulat du calcul

 

 

 

Programme récursif

http://diconombre.fr/aInforma/PYTHON/Classiqu_fichiers/image045.jpg

La fonction factorielle (fact) fait appel à elle-même pour calculer la factorielle précédente (n – 1) jusqu'à descendre jusqu'à la factorielle 1 (cas avec n < 2).

Alors le programme, ayant mémorisé toutes les valeurs, remonte la chaine et calcule tous les produits.  Ici 6! = 720

Brèves associées

>>> Mon tout premier programme

>>> Brèves Programme – Index

Pour en savoir plus

>>> Programmation des factorielles

>>> Programmation Python

>>>  Programmes – Index

>>> Factorielle – Index

 

 

 

674.            Magnitude  des étoiles

 

Soleil

Avec sa magnitude (- 26,7), le Soleil serait visible à l'œil nu jusqu'à 60 années-lumière, seulement.

Étoile la plus proche de nous: 4,22 al.

 

 

Hubble

Le télescope Hubble est capable de capter les corps célestes les moins brillants jusqu'à la magnitude 27 à la distance de 14 milliards d'années-lumière.

Confins de l'Univers: 13,7 milliards d'al.

 

Référence

Une étoile 10 fois plus loin paraîtrait 100 fois moins lumineuse.

 

Magnitude 29

Luminosité 5 milliards de fois trop faible pour être vue à l'œil nu.

Brèves associées

>>> L'Univers

>>> Brèves Astronomie – Index

Pour en savoir plus

>>> Magnitude

>>>  Années-lumière  

>>> Soleil

>>>  Télescope spatial Hubble  

 

 

675.            Nombres triangles, carrés …

 

Théorème des nombres polygonaux (Fermat -1636)

 

Tout nombre entier est la somme de, au plus,

k nombres k-gonal.

*      de trois nombres triangulaires,

*      de quatre nombres carrés,

*      de cinq nombres pentagonaux,

*      etc.

 

Dans une lettre adressée à Mersenne,  Fermat  prétend disposer de la démonstration. Celle-ci n'a jamais été retrouvée. En 1770, Lagrange prouve le cas des carrés. En 1796, Gauss prouve le cas des triangulaires.  En 1813, c'est Cauchy qui règle tous les cas.

Nombres triangulaires

Nombres carrés

Brèves associées

>>> Partitions et nombres pentagonaux

>>> Brèves Théorie des Nbs – Index

Pour en savoir plus

>>> Théorème des nombres polygonaux  

>>> Nombres triangulaires

>>> Somme de quatre carrés

 

 

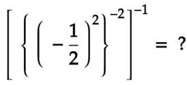
676.            Puissances en folie

 

Règles utilisées

1)    Le carré d'un nombre négatif est positif.

2)    La racine négative est en fait l'inverse de la racine positive.

3)    La racine -1 est simplement l'inverse du nombre.

 

Parenthèses internes (1)

 

Parenthèses du centre (2)

 

Parenthèses externes (3)

Brèves associées

>>> Puissances négatives de 2

>>> Brèves Calculs – Index

Pour en savoir plus

>>> Puissances et racines

>>> Puissances – Index

 

 

677.            Équation démystifiée

 

Il est fréquent de trouver des défis mathématiques sur Internet, sur les forums ou sur les réseaux sociaux.

Moins innocent, ceux proposés par des sites qui vous attirent pour la publicité.

 

L'équation de l'année en est un exemple. Résoudre cette équation avec au dénominateur trois années qui se suivent.

 

 

Solution

Avant de se lancer dans de longs calculs, on observe cette équation qui comporte trois fractions et une somme qui vaut 3.

Et si chaque fraction valait 1, nous tiendrions notre solution.

Et oui ! Avec x = 2021 (l'année suivante), chaque fraction vaut 1. Pour la première, on a bien: 2021 – 3 = 2018.

 

Ce motif est valable pour toutes les années et, on peut même augmenter le nombre de termes.

 

Brèves associées

>>> Équations et Racines – Un bon truc!

>>> Brèves Équations – Index

Pour en savoir plus

>>> Équations pour débuter

>>> Énigmes virales du Net

>>> Années 2021 avec humour

>>> DicoNombre 2021

 

 

678.            Aire mystère du rectangle

 

Aire du rectangle rose ?

 

 

Solution logique

S'agissant d'une énigme, sans doute faut-il réfléchir avant de lancer un calcul d'équations. La solution est sans doute en nombres entiers.

L'aire du rectangle central serait alors un multiple de 5 comme les deux autres. Si c'est le cas:

*      a = 25 / 5 = 5 et b = 8 – 5 = 3

*      c = 20 / 5 = 4 et b = 7 – 4 = 3

C'est compatible ! Et c'est donc la bonne solution.

Aire du rectangle rose central: 5 x 3 = 15 m².

 

Solution algébrique (Désolé ! Inversion de a et c sur  ce tableau)

Brèves associées

>>> Aire des parallélogrammes

>>> Brèves Énigmes – Index

Pour en savoir plus

>>> Rectangle

>>> Énigmes Index

 

 

679.            Phi et 1/Phi en puissance

 

Le nombre d'or et son inverse

 

Différence et somme en puissances

 

 

Table des valeurs entières pour k de 1 à 10

   

Brèves associées

>>> Phi = 1,618… -  d'or

>>> Brèves Nombres – Index

Pour en savoir plus

>>> Nombre d'or et puissances

>>> Nombres entiers

 

 

 

 

Retour

*         Brèves de maths – Page 33

Suite

*         Brèves de maths – Page 35

Voir

*         Voir liens en haut de page

Cette page

http://diconombre.fr/NombDico/aBreves/Breve34.htm