NOMBRES – Curiosités, Théorie et Usages

 

Accueil                           DicoNombre            Rubriques           Nouveautés      Édition du: 01/11/2023

Orientation générale        DicoMot Math          Atlas                   Actualités                       M'écrire

Barre de recherche          DicoCulture              Index alphabétique        Références      Brèves de Maths 

      

Maths en se divertissant

 

Débutants

Général

BRÈVES de MATHS

 

Glossaire

Général

 

 

INDEX

 

Brèves

 

Atlas des maths

 

Page 1

Page 10

Page 20

Page 30

Page 40

Page 50

 

Page 30 (480-599)

Page 31 (600-619)

Page 32 (620-639)

Page 33 (640-659)

Page 34 (660-679)

Page 35 (680-699)

Page 36 (700-719)

Page 37 (720-739)

Page 38 (740-759)

Page 39 (760-779)

 

 

 

 

 

BRÈVES de MATHS – Page 38

Un millier de faits et chiffres

sur les nombres et les mathématiques

 

Ces pages sont dédiées à tous ceux qui veulent aborder les mathématiques en douceur et en s'amusant tout en découvrant les aspects les plus fondamentaux de cette discipline. Un parcours à picorer avec nombreux liens d'orientation vers les développements destinés à satisfaire votre curiosité.

En principe ces pages sont très abordables sans connaissances particulières de maths. Elles sont proposées dans un ordre quelconque favorisant la découverte de sujets multiples.

Anglais: Facts and figures about numbers and mathematics

 

 

Spécial QUIZZ Géométrie

On trouve parfois ces énigmes sur les réseaux sociaux avec ou sans solution …

Une sélection de 20 problèmes par ordre croissant de difficulté.

 

 

740.            Dans le carré

 

Énigme

Un carré dont le côté est donné.
F milieu de CD et G milieu de AF.

Longueur x de BG ?

 

Solution

La figure de droite indique les valeurs faciles à calculer.

Notamment la position du point G en (a, 2a)

Avec le théorème de Pythagore:
x² = (2a)² + (3a)² = 13a²

   

 

Méthode pour la construction de la racine de 13

Voir Carré manquant et autres énigmes relatives au carré

 

 

 

741.            Carrés dans un cercle

 

Énigme

Un cercle et deux carrés.
Le carré rose a un côté posé sur un diamètre et les deux autres sommets sur la circonférence.

Le second carré a deux sommets opposés sur le centre et la circonférence.

On donne l'aire A du carré rose, quelle est l'aire du carré bleu ? Exemple avec A  = 100.

 

Solution

En vert sont matérialisés des rayons du cercle (r).

 

 

 

 

742.            Triangle rectangle et cercles

 

Énigme

Un triangle rectangle et deux cercles tangents internes.

Longueur r du rayon ?

 

Solution

Via les aires des triangles:

 

 

 

743.            Quart de cercle

 

Énigme

Un quart de cercle de rayon 5.

Un rectangle inscrit dont l'un des côtés vaut 3.

Quelle est l'aire de la zone bleue ?

 

Solution

 

 

Voir Énigmes avec rectangles

 

 

744.            Rectangle et cercle

Problème

Dans un rectangle, un triangle rectangle (12, 16) et un demi-cercle ayant l'hypoténuse pour diamètre.

Quelle est l'aire de la zone bleue ?

 

Solution

Aire bleue = aire du carré – aire du triangle – aire du demi-cercle

 

 

 

745.            Hexagone et carré

Problème

Un pentagone et un carré ayant le même côté.

Quelle est la valeur de l'angle alpha ?

 

 

 

 

 

 

 

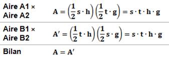
746.            Parallélogramme

 

Énigme

Un parallélogramme.

Un point  interne quelconque.

Montrer que: aire (A1 + A2)  = aire (B1 + B2).

 

Solution

On trace les parallèles aux côtés qui passent par le point (pointillés): création de quatre petits parallélogrammes.

Les segments centre-sommets sont les diagonales de ces parallélogrammes et elles les divisent en deux triangles de même aire (même hauteur et même base).

En combinant ces triangles deux à deux, on crée les triangles A1 et B1 d'une part et B1 et B2 d'autre part qui ont même aire totale.

 

Parallélogramme

 

 

 

747.            Quadrilatère

 

Énigme

Un quadrilatère et ses diagonales.

Montrer que les produits des aires sont égaux: A1 ، A2 = B1 ، B2

 

Solution

On trace les hauteurs h et g des triangles.

Calcul de l'aire des triangles.

 

 

 

Application à une énigme virale

 

Avec les valeurs indiquée, l'aire ocre vaut (3x2) / 1 = 6.

 

Autre énigme

Est-il possible de trouver quatre aires de valeurs entières consécutives ? À l'évidence non !

 

Quadrilatère quelconque

 

Voir Quadrilatères et bimédianes

 

 

 

748.            Quadrilatère circonscrit

 

Énigme

Un quadrilatère circonscrit à un cercle (quadrilatère tangentiel).

Montrer que: aire (A1 + A2)  = aire (B1 + B2).

 

Solution

On trace les rayons vers les points de tangence. Ils sont perpendiculaires aux tangentes, donc aux côtes.

Les deux segments issus d'un sommet vers les deux points de tangence sont de même longueur.

De sorte que, les deux triangles partageant un même côté ont la même aire

En combinant les triangles deux à deux, on obtient l'égalité cherchée.

   

Quadrilatère tangentiel

 

 

 

 

749.            Carpette

Théorème de la carpette

Si deux surfaces se croisent, une fois retirée la partie de chevauchement, les parties qui restent sur chacune des surface ont la même aire.

 

Application dans le carré (Illustration)

Ici, ce sont deux triangles qui se croisent.

À gauche, chacune des deux parties colorées totalise: 80 + 13,33 = 93,33.

À droite, plus subtil, on trouve bien: 106,67 = 20 + 20 + 66,67.

 

Cas  d'un carré avec points mobiles au milieu des côtés

Exemples numériques avec carré de 20x20

 

Pour en savoir plus

>>> Théorème de la carpette - Explications

>>> Brèves Géométrie – Index

 

 

 

750.            Quart et demi-cercles

 

Énigme

Un quart de cercle et un demi-cercle inscrit.

 

Quel est le ratio entre les deux aires A (quart de cercle) et B (demi-cercle) ?

 

 

 

Solution

 

.

 

 

 

 

 

751.            Boomerang

 

Énigme

Quelle l'aire de cette forme boomerang bleue, en fonction de l'aire S du demi-cercle rouge ?

Les trois demi-cercles supérieurs ont le même rayon. Le demi-cercle inférieur a, par conséquent, un rayon égal à 3r.

 

Solution

.

 

Aire bleue  = aire d'un cercle complet rouge

 

 

 

752.            Carrés empilés

 

Énigme

Trois carrés dont les côtés sont des nombres consécutifs, calculer l'aire de cette figure.

 

Solution

Côté des carrés: n – 1, n et n + 1.

La figure du bas indique les dimensions qu'il est possible de noter.

Homothétie dans le triangle:

 

Longueur de l'hypoténuse:

 

En égalant avec la consigne:

 

Aire de la figure
5² + 6² + 7² - 1×2 = 108

.

 

 

 

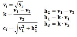
753.            Cube en équilibre

 

Énigme

Calculer l'aire du carré bleu connaissant les aires indiquées pour les autres carrés.

 

Tactique

Calculer  les dimensions des marches d'escaliers des trois cubes empilés. Le carré de gauche ne sert à rien sinon à caler la chute du grand carré.

On note hi et vi la taille de chaque marche.

 

Tableau de calcul

 

.

 

Relations de calcul

 

 

 

754.            Quel est l'angle ?

 

Énigme

Un quadrilatère;
trois côté égaux;
un angle droit;
un angle connu.

 

Quelle est la valeur de l'angle alpha ?

 

Tactique

Tracé complémentaire faisant apparaitre un losange.

 

Solution

 

 

755.            Isocèle en cercle

 

Énigme

Un triangle isocèle ABC;
Son cercle circonscrit de centre D;
La bissectrice de l'angle en A;
Intersection de BC en E;
Segment DE.

 

Quelle est la valeur de l'angle alpha ?

 

 

Tactique

Construction d'un triangle équilatéral dont on démontrera que l'un des sommets est le point E, point d'intersection avec la bissectrice de l'angle en A.

On fera grand usage du théorème de l'angle inscrit.

 

Tracé

Point F sur AC tel que AF = FD.

Triangle équilatéral FDH.

Il faut démontrer que les points H et E sont confondus.

Démonstration

 

Démonstration d'après une idée d' Apostolis Manoloudis

 

 

 

756.            Triangle dans rectangle

Énigme

Un rectangle avec un triangle inscrit. En fonction des aires données, calculer l'aire w.

 

Tactique

Calculer les dimensions u et v avec les aires x et y, puis injecter ces valeurs dans le calcul de z.

Solution

 

Exemples de solution

 

L'aire du rectangle est toujours égale à:
 

Avec      a = 5
alors b = 4,35959179…
et       u = 1,6
et       v = 1,37627564…

Quelques autres solutions

Il en existe une infinité

 

 

757.            Les deux cercles

 

Énigme

Un demi-cercle de diamètre AB = 10 cm.

Segment AC = 8 cm.

Perpendiculaire en C à AB. Intersection O'.

Cercle (O', O'C). Intersections E et F.

Quelle est la longueur t de EF ?

 

Solution

Dans le triangle rectangle OO'C, théorème de Pythagore: O'C (rayon du cercle) = 4 cm.

Pointillés roses: deux triangles isocèles: les diagonales du cerf-volant sont orthogonales.

Toujours avec Pythagore dans les triangles rectangles EHO et EHO':
OH² = 5² – (t/2)² et O'H = 4² – (t/2)²

 

Équation et sa résolution avec T = (t/2)²

 

 

 

 

 

 

 

758.            Hexagone et triangles

 

Énigme

Un hexagone et les trois triangles colorés dont l'aire de deux d'entre eux est connue.

Trouver l'aire du troisième.

 

Tactique

Ne pas passer par les calculs, mais exploiter une propriété peu connue des hexagones.

 

Solution

Avec A  = aire de l'hexagone.

Somme des aires des triangles vert et bleu, constante  = A / 2.

Aire du triangle jaune, constante = A / 3.

Aire jaune = 2 x (20 + 16)  / 3 = 24.

 

Note: cette figure est à l'échelle. Le côté mesure:

 

 

759.            Triangle rectangle et carré

 

Énigme

Un triangle rectangle dont on connait l'hypoténuse.

Un carré inscrit dans l'angle droit de côté 12.

Quelles sont les dimensions x et y du triangle ?

 

Solution

Hypoténuse

Carré inscrit

Équation (A = x+y)

Racines

Racine positive

Équation

Solution

 

En nombre entiers !

21² + 28² = 35² est un triplet de Pythagore.

 

 

Solution numérique

x = 28, y = 21, a = 9, b = 16

 

 

Pour en savoir plus

>>> Brèves Énigmes – Index 

>>> Brèves Géométrie – Index

>>> Défis en géométrie – Index

>>> Énigmes virales sur Internet

 

 

 

 

Retour

*         Brèves de maths – Page 37

Suite

*         Brèves de maths – Page 39

*         Défis mathématiquesIndex 

*         SANGAKUS

Voir

*         Voir liens en haut de page

*         Page miroir sur site parallèle

Cette page

http://diconombre.fr/NombDico/aBreves/Breve38.htm