NOMBRES – Curiosités, Théorie et Usages

 

Accueil                           DicoNombre            Rubriques           Nouveautés      Édition du: 29/11/2024

Orientation générale        DicoMot Math          Atlas                   Actualités                       M'écrire

Barre de recherche          DicoCulture              Index alphabétique        Références      Brèves de Maths 

    

Maths en se divertissant

 

Débutants

Général

BRÈVES de MATHS

 

Glossaire

Général

 

 

INDEX

 

Brèves

 

Atlas des maths

Page 1

Page 10

Page 20

Page 30

Page 40

Page 50

Page 50

(980-999)

Page 51

(1000-1019)

Page 52

(1020-1039)

Page 53

(1040-1059)

Page 54

(1060-1079)

Page 55

(1080-1099)

Page 56

(1100-1119)

Page 57

(1120-1139)

Page 58

(1140-1159)

Page 59

(1160-1179)

 

 

 

 

 

BRÈVES de MATHS – Page 57

Un millier de faits et chiffres

sur les nombres et les mathématiques

 

Ces pages sont dédiées à tous ceux qui veulent aborder les mathématiques en douceur et en s'amusant tout en découvrant les aspects les plus fondamentaux de cette discipline. Un parcours à picorer avec nombreux liens d'orientation vers les développements destinés à satisfaire votre curiosité.

En principe ces pages sont très abordables sans connaissances particulières de maths. Elles sont proposées dans un ordre quelconque favorisant la découverte de sujets multiples.

Anglais: Facts and figures about numbers and mathematics

 

 

1120.     Somme colorée

 

Somme a + b = c

Le but est de colorier ces sommes avec deux couleurs seulement. Comment colorier les nombres de 1 à 9 ?

 

Sommes colorées

La somme 3 + 6 = 9 est toute bleue. Échec !

En fait, toute tentative est vouée à l'échec.

  

Exemple de bicoloration

 

Avec deux couleurs, il existera toujours un triplet de nombres de couleur uniforme. Ici, le triplet 9 = 3 + 6 est bleu.

 

Triplets de Pythagore

Cette fois, ce sont les triplets (a² + b² = c²) qui doivent être bicolores.

Sur la table des triplets:

*      Les cases des nombres répétés sont coloriées;

*      chaque ligne doit comporter deux couleurs; le troisième peut être d'une couleur ou l'autre;

*      en tenant compte des nombres répétés, il est possible de colorier tous ces triplets en bleu et rouge.

 

En fait, cette bicoloration est faisable pour tous les nombres de 1 à 7 824. Pour 7 825, c'est impossible.

    

Les huit triplets jusqu'à 25

 

Avec n = 25 et jusqu'à n = 7824, il est toujours possible de colorier les triplets avec deux couleurs.

  

Brèves associées

>>> Nombres de Ramsey

>>> Brèves Topologie – Index

Pour en savoir plus

>>> Nombre 7 824

>>> Nombre de Schur

>>> Triplets de Pythagore

 

 

1121.     Développer une expression

 

Brèves associées

>>> Multiplication à traits

>>> Brèves Calculs – Index

Pour en savoir plus

>>> Algèbre – Techniques de base

>>> Arithmétique et algèbre – Index

 

 

1122.     Triangle isiaque

 

Triangle rectangle isiaque

Mesures de 1 à 7 sur ce triangle:

*      1 – Rayon du cercle inscrit;

*      2 – Diamètre de ce cercle;

*      3 – Petit côté de l'angle droit;

*      4 – Grand côté de l'angle droit;

*      5 – Hypoténuse et diamètre du cercle circonscrit;

*      6 – Aire du triangle;

*      7 – Longueur des deux côtés de l'angle droit; et

*      π – Aire du cercle inscrit

 

Brèves associées

>>> Triangle rectangle – Cercles

>>> Brèves Géométrie – Index

Pour en savoir plus

>>> Triangle isiaque

>>> Triangle rectangle – Index

 

 

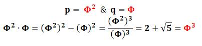
1123.     Puissances du nombre d'or

 

Nombre d'or

 

Puissances

 

Vieille énigme

 

Quels sont deux nombres p et q dont:

*      le produit,

*      la différence de leurs carrés et

*      le quotient de leurs cubes

sont tous égaux ?

 

Solution

 

Brèves associées

>>> Nombres d'or et super nombre d'or

>>> Brèves Nombres – Index

Pour en savoir plus

>>> Nombre d'or en puissances

>>> Nombre phi3 = 4,236…

 

 

 

1124.     Période des inverses des premiers

 

Inverse des nombres premiers

La partie répétitive, la période, de l'inverse d'un nombre premier.

La période d'un premier à k chiffres peut être aussi longue que k – 1. Un tel nombre est un nombre premier long.

Si Pk est la période d'un seul nombre premier, c'est un premier unique. 

 

Propriété

La somme des chiffres de la période est divisible par 9.

 

Tableau

La colonne centrale montre la période de l'inverse des nombres premiers P.

Sur la colonne de droite, on vérifie que la somme des chiffres de la période est divisible par 9.

      

Table des inverses (1/P) des nombres premiers (P)

 

La somme des chiffres (S.Ch.) de la période est divisible par 9, sauf pour P < 7.

Brèves associées

>>> Cycle des chiffres au carré

>>> Brèves Calculs – Index

Pour en savoir plus

>>> Nombres premiers longs

>>> Nombres premiers uniques

>>> Nombres périodiques

>>> Racine numérique

 

 

1125.     Racine des nombres de 1 à 6

Brèves associées

>>> Construction en cascade

>>> Brèves Nombres – Index

Pour en savoir plus

>>> Construction de la racine des nombres

>>> Table des constructions par ordre croissant

 

 

 

1126.     Carré divisé

 

Construction

Un carré est divisé en deux par une de ses diagonales. Puis par deux sécantes issues du même sommet et coupant la diagonale dans la proportion 3, 5, 4.

Se présente un quadrilatère (rose) qui a pour sommets les points d'intersection avec la diagonale et les côtés du carré.

Sauriez-vous retrouver son aire à partir des seules trois mesures sur les diagonales ?

 

Commentaires

On sait que (3, 4, 5) est un triplet de Pythagore exceptionnel.

Est-ce ses propriétés qui conduisent à de aires en nombres entiers et multiples les unes des autres ?

 

Brèves associées

>>> Carrés dans le carré – Quantité

>>> Brèves Géométrie – Index

Pour en savoir plus

>>> Carré divisé – Solution

>>> Triplet (3, 4, 5)

>>> Défis en géométrie – Index

 

 

 

1127.     Résoudre 2a + 2b + 2c = 148

 

Défi

Résoudre formellement cette équation: 2a + 2b + 2c = 148.

 

Facile ?

La puissance de 2 la plus proche de 148 est 128 = 27.

Reste: 148 – 128 = 20 que l'on atteint avec 16 + 4 = 24 + 22.

Bien ! Mais, on demande un calcul formel.

 

Calcul formel

Le résulta est connu. Mais, le calcul formel permet de révéler quelques techniques de calcul.

Notamment, mettre en évidence des produits dont on analyse la parité des facteurs.

Brèves associées

>>> Résoudre l'équation aves des racines

>>> Brèves Calculs – Index

Pour en savoir plus

>>> Puissances de 2

>>> Calcul algébrique – Index

 

 

1128.     Multiplications rapides

 

Trucs de calcul rapide pour multiplications particulières

Multiplication simple par 9 par soustraction de 1 puis soustraction de ce résultat. Valable pour 9, 99,999, …

 

Multiplication des nombres terminés par 1 avec produit et somme des dizaines.

 

Multiplication des nombres avec zéro dizaine.

 

Commentaires

Trucs sympathiques à noter, mais dans la réalité ces cas sont rares.

 

Brèves associées

>>> Autres trucs similaires

>>> Brèves Calcul mental – Index

Pour en savoir plus

>>> Multiplications rapides

>>> Calcul mental – Index

 

 

 

1129.     Multiplications & polygones

 

Table de Pythagore

C'est simplement la table de multiplication habituelle des nombres de 1 à 9.

 

Propriété

 

Tout nombre de la table est égal à la moyenne des huit nombres qui l'entourent.

 

En fait, la moyenne des quatre coins (carré) est aussi égale à 15, comme la moyenne des quatre nombres des milieux (croix).

 

Cette propriété est généralisable à tout polygone régulier.

       

Table de Pythagore et exemple de calcul de moyenne avec le produit 15 = 3 × 5

(8 + 12 + 16 + 10 + 20 + 12 + 18 + 24) / 8 = 15

Brèves associées

>>> Multiplication avec les doigts

>>> Brèves Calculs– Index

Pour en savoir plus

>>> Table de Pythagore et polygones

>>> Multiplication – Index

 

 

1130.     Calcul d'intégrales

 

Pas à pas

La fonction à intégrer est 3x².

 

La primitive de x² est 1/3 x3 à une constante (C) près. L'exposant 2 devient 3 et  le coefficient  est 1/3. Pour x3, on aurait 1/4 x4.

 

Pour calculer l'intégrale entre deux bornes on fait la différence entre la valeur de la primitive à chacune de ces bornes.

 

 

 

Autres exemples

 

  

Brèves associées

>>> Calcul différentiel et intégral

>>> Brèves Analyse – Index

Pour en savoir plus

>>> Primitives

>>> Calcul intégral

 

 

 

1131.     Spirale d'Archimède

 

Spirale

Archimède à retrouvé cette courbe et l'a étudiée.

Son équation moderne, en polaire, est:

R est le rayon du cercle englobant la première spirale et a témoigne de la progression de la spirale.

Le point qui décrit la courbe s'éloigne régulièrement (rhô) de l'origine quand l'angle augmente (thêta).

 

Aire sous la courbe (zone bleue)

Archimède utilise sa méthode d'exhaustion: il approche la courbe par des secteurs de cercles de plus en plus petits, par défaut et par excès.

Son résultat: l'aire sous la spirale vaut un tiers de celle du cercle.

 

Intégration en coordonnées polaires

 

 

 

Et avec le facteur de croissance a

        

 

Spirale pour R = 1

(cercle englobant la première spire)

Facteur de croissance a  = R / 2𝛑 = 1 / 2𝛑

Équation polaire: 𝛒 = 𝜽 / 2𝛑.

 

Représentation

 

 

 

Aires comparées

 

Aire bleue = 1/3 Aire du cercle

  

Rappel

La primitive de x2 est x3 / 3.

 

 

Calcul d'une intégrale en coordonnées polaires

Soit une courbe d'équation

 sa primitive

 

Et, les coordonnées des limites d'intégration données en A et B.

 

Brèves associées

>>> Spirale de Théodore de Cyrène

>>> Brèves Géométrie – Index

Pour en savoir plus

>>> Spirales

>>> Diverses courbes

>>> Archimède

>>> Exhaustion

Voir Intégration / Démonstration du calcul de l'air en polaire (proof Wiki) / Archimedean spiral by mathcurve

 

 

 

 

1132.     Rectangle d'Ailles

 

Angles de 15° et 75°

Douglas Ailles, un prof de maths de Toronto, a imaginé ce rectangle avec son triangle inscrit pour montrer à ses élèves comment calculer simplement les sinus et cosinus des angles de 15° et de 75°.

 

Cas du sinus de 15° (= Pi / 12)

Dans le triangle rectangle (15°, 75°), on lit facilement le rapport donnant le sinus de l'angle: côté opposé à l'angle sur hypoténuse.

   

 

Rectangle en racine de 3, dit de Ailles

 

  

Brèves associées

>>> Sinus et cosinus & DEMI

>>> Brèves Trigonométrie – Index

Pour en savoir plus

>>> Rectangle d'Ailles

>>> Calcul du sinus 15°

 

 

1133.     Triangles spéciaux

 

Définition

Ici, on appelle triangles spéciaux, des triangles qui ont:

*      des angles rationnels (dont les mesures sont des nombres entiers ou des fractions), et

*      des côtés exprimés avec des nombres rationnels et, au plus, une racine carrée.

 

Quantité

Il en existe seulement 14 
dont 3 sont rectangles (n° 1, 2 et 3).

 

Les triangles notés de 1 à 5 sont spéciaux-élémentaires; les neuf autres sont les combinaisons de deux de ces triangles élémentaires.

Par exemple deux triangles (15-75-90) réunis par le grand côté de l'angle droit donne le triangle spécial (30-75-75).

  

 

Triangles spéciaux élémentaires

Dans le rectangle d'Ailles

et dans le triangle d'or

 

Brèves associées

>>> Triangles équilatéraux singuliers

>>> Brèves Géométrie – Index

Pour en savoir plus

>>> Triangles spéciaux

>>> Triangles selon leurs mesures

 

 

1134.     Périmètre ?

 

Construction

Une figure en forme d'escalier. On connait la taille des marches.

Calculer la longueur x, le périmètre et l'aire de cette figure géométrique.

 

Pistes

Cette énigme revient souvent sur Internet.

Pour la résoudre, il suffit de déplacer (de projeter) les parties horizontales des marches vers le bas et les parties verticales vers la gauche.

Le calcul s'applique alors à un triangle rectangle (avec les pointillés) dont les côtés valent (2+2+4 = 8 et 2+2+2 = 6).

 

Hypoténuse x

Pour connaitre le troisième côté (x, l'hypoténuse), il suffit d'appliquer le théorème de Pythagore.

 

Périmètre

C'est la somme des longueurs des trois côtés.

 

Aire

L'aire est égale à celle du triangle rectangle diminuée de trois carrés de 2 cm de côté.

    

 

Quelle la valeur de x ?

 

Calculs

     

Brèves associées

>>> Périmètre inconnu (Paris-Marseille…)

>>> Brèves Énigmes – Index

Pour en savoir plus

>>> Calcul de périmètres

>>> Énigmes virales sur le Net

 

 

1135.     Résoudre x en puissance

 

Défi

Résoudre cette équation surprenante avec x en exposant.

 

Piste

Deux observations utiles:

Les nombres 27 et 9 sont des puissances 3

Or, le nombre 82 est proche de 81, nombre qui est aussi une puissance de 3.

 

Règle des exposants

 

Mais, attention !

 

    

 

Calculs

Brèves associées

>>> Résoudre x^x^6 = 144

>>> Brèves Énigmes – Index

Pour en savoir plus

>>> Exposants à étages

>>> Identités remarquables

>>> Défis en algèbre – Index

 

 

1136.     Résoudre 3^x = x^9

 

Défi

Résoudre cette équation avec x en exposant.

 

Pistes

La première idée (astuce) consiste à trouver le moyen de placer tous les x à droite et le numérique à gauche.

La seconde idée (astuce) consiste à introduite une fraction unité pour donner à l'expression numérique la même allure que celle de l'expression en x.

 

Voir également la règle des exposants mentionnée à la brève précédente.

 

    

 

Calculs

  

Brèves associées

>>> Calcul avec racines carrées

>>> Brèves algèbre – Index

Pour en savoir plus

>>> Équation x^x^6 = 144

>>> Défis en algèbre – Index

 

 

1137.     Triangle rectangle – Relations

 

Exemple avec le triangle (3, 4, 5)

3² + 4² = 5² = 25

3 × 4 = 2,4 × 5 = 12

3² = 5 × 1,8 = 9

4² = 5 × 3,2 = 16

2,4² = 3,2 × 1,8 = 5,76

Brèves associées

>>> Calcul avec racines carrées

>>> Brèves algèbre – Index

Pour en savoir plus

>>> Triangle rectangle – Résolution par les pieds de hauteur

>>> Triangle rectangle

>>> Triangle rectangle (3, 4, 5)

 

 

1138.     Collier de perles – Paradoxe  

 

Propriété – Paradoxe ?

 

La différence de surface entre la zone verte et la zone bleue est toujours équivalente à l'aire de deux petites perles quelle que soit la quantité de perles.

 

Cette propriété est valable que le polygone soit convexe ou concave, et que les perles soient juxtaposées ou non.

 

Cette propriété s'apparente à celle de la corde tendue autour de la Terre.

Brèves associées

>>> Corde tendue

>>> Brèves Énigme – Index

Pour en savoir plus

>>> Collier de perles – Calculs

>>> Paradoxe de la corde tendue

 

 

1139.     Angles des céviennes  

 

Céviennes

Une cévienne est une droite quelconque issue d'un sommet du triangle. La hauteur, la médiane ou la bissectrice est une cévienne particulière.

 

Triangle et céviennes

Un triangle quelconque et un point P interne.

Les trois céviennes AP, BP et CP.
On identifie les six angles ainsi formés avec ces céviennes.

 

Propriété

 

 

Le triangle est quelconque ainsi que le point P

Produit des sinus des trois angles rouges
égal produit des trois angles verts.

Cette propriété s'étend au rectangle et à tout polygone régulier.

  

Brèves associées

>>> Céviennes régulières

>>> Brèves Géométrie – Index

Pour en savoir plus

>>> Angles des céviennes et énigme

>>> Céviennes

 

 

 

 

 

 

Retour

*         Brèves de maths – Page 56

Suite

*         Brèves de maths – Page 58

Voir

*         Voir liens en haut de page

Cette page

http://diconombre.fr/NombDico/aBreves/Breve57.htm