NOMBRES – Curiosités, Théorie et Usages

 

Accueil                           DicoNombre            Rubriques           Nouveautés      Édition du: 29/11/2024

Orientation générale        DicoMot Math          Atlas                   Actualités                       M'écrire

Barre de recherche          DicoCulture              Index alphabétique        Références      Brèves de Maths 

    

Maths en se divertissant

 

Débutants

Général

BRÈVES de MATHS

 

Glossaire

Général

 

 

INDEX

 

Brèves

 

Atlas des maths

Page 1

Page 10

Page 20

Page 30

Page 40

Page 50

Page 50

(980-999)

Page 51

(1000-1019)

Page 52

(1020-1039)

Page 53

(1040-1059)

Page 54

(1060-1079)

Page 55

(1080-1099)

Page 56

(1100-1119)

Page 57

(1120-1139)

Page 58

(1140-1159)

Page 59

(1160-1179)

 

 

 

 

 

BRÈVES de MATHS – Page 56

Un millier de faits et chiffres

sur les nombres et les mathématiques

 

Ces pages sont dédiées à tous ceux qui veulent aborder les mathématiques en douceur et en s'amusant tout en découvrant les aspects les plus fondamentaux de cette discipline. Un parcours à picorer avec nombreux liens d'orientation vers les développements destinés à satisfaire votre curiosité.

En principe ces pages sont très abordables sans connaissances particulières de maths. Elles sont proposées dans un ordre quelconque favorisant la découverte de sujets multiples.

Anglais: Facts and figures about numbers and mathematics

 

 

1100.     Nombres friables

 

Les nombres k-friables

Ce sont les nombres dont les facteurs sont les nombres premiers jusqu'à k uniquement.

 

Les nombres 3-friables

Ce sont les plus connus, les plus utilisés.

Les facteurs sont 2 et 3 uniquement.




Exemples

1 024 = 210 est un nombre 2-friable  

48 = 24  × 3 est un nombre 3-friable  

10 800 = 24 × 33 × 52 est un nombre 5-friable

 

 

Intérêt

Notion utile en théorie des nombres, notamment en cryptographie.

Inventée par Leonard Adleman, co-inventeur du code RSA.

 

Brèves associées

>>> Nombre 5-friables

>>> Tour de Stockmeyer

>>> Brèves Types de nombres – Index

Pour en savoir plus

>>> Nombres friables

>>> Facteurs spéciaux – Index

 

 

1101.     Tour de Stockmeyer

 

Présentation

Similaire à la tour de Hanoï à quatre tiges, mais la quatrième est centrale, et elle sert de pivot aux mouvements: une pièce ne peut être déplacée que vers la tige centrale ou de la tige centrale vers une des trois tiges périphériques.

 

Quantité de mouvements

La quantité minimale de mouvement pour k disques est la double-somme des k plus petits nombres 3-friables. Soit vingt mouvements pour quatre disques.

 

 

Le jeu

Source image: La tour de Stockmeyer – Maths-en-Jeans

Brèves associées

>>> Étoile cachée – Sam Lyod

>>> Brèves Jeux – Index

Pour en savoir plus

>>> Tour de Stockmeyer

>>> Tour de Hanoï

>>> Nombres friables

 

 

1102.     Carrés des entiers

 

Méthode

Les n² nombres entiers sont disposés en lignes puis en colonnes dans une grille carrée de n cases par côtés.

 

Somme sur les deux diagonales

 

Elles sont égales.

Elles valent: ½ n (n2 + 1))

  

 

Illustration pour n de 2 à 4 avec sommes des deux diagonales

 

Pour 34, la somme vaut: ½ 4 (4² + 1) = ½ 4×17 = 34

     

Brèves associées

>>> Carré magique avec dominos

>>> Brèves Grilles – Index

Pour en savoir plus

>>> Carré des entiers

>>> Carrés magiques – Index

 

1103.     Triangles dans le pentagone

 

Décompte systématique des triangles sur cette figure

Deux croix rouges pour les sommets d'un segment.

Une croix noire pour le troisième sommet du triangle.

On compte 35 triangles.

 

Un pentagone et ses diagonales

Sur cette figure on compte 35 triangles

 

Brèves associées

>>> Triangles dans le triangle

>>> Brèves Dénombrement – Index

Pour en savoir plus

>>> Triangles dans le pentagone

>>> Quadrilatère et ses diagonales

 

 

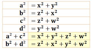
1104.     Rectangles imbriqués

 

Construction

Deux rectangles l'un dans l'autre et avec côtés paralléles deux à deux.

 

Propriété

a² + c² = b² + d²

 

Démonstration (Figure du bas)

Avec le théorème de Pythagore:

 

Brèves associées

>>> Rectangle en carré – Dissection

>>> Brèves Géométrie – Index

Pour en savoir plus

>>> Rectangles

>>> Théorème de Pythagore

>>> Défis en géométrie

 

 

 

1105.     Triangle rectangle, aire et périmètre

 

Construction

Un triangle rectangle. Son aire est 24 et son périmètre est aussi 24.

Retrouver la longueur de chacun des trois côtés.

 

Piste

Nous disposons de trois équations:
A = ½ ab = 24
P = a + b+ c  = 24
c² = a² + b²

Avec trois équations il est possible de calculer les  trois inconnues a, b et c.

 

Résultat pour l'hypoténuse c

 

Brèves associées

>>> Triangle rectangle – Hauteur

>>> Brèves Géométrie – Index

Pour en savoir plus

>>> Détail du calcul de a, b et c

>>> Théorème de Pythagore

>>> Défis en géométrie

 

 

1106.     Pythagore & Einstein

 

Deux formules importantes dans l'histoire de l'humanité

http://diconombre.fr/Esprit/Einstein_fichiers/image010.jpg101 Silly Math Jokes and Puns to Make Students Laugh Like Crazy | Prodigy  Education

 

Brèves associées

>>> Fausse perspective

>>> Brèves Humour – Index

Pour en savoir plus

>>> Pythagore

>>> Einstein

>>> Humour 2024

>>> Pensées et humour

 

 

1107.     Somme magique

 

Somme magique du carré magique

Un carré magique classique n×n est composé des nombres de 1 à n² dont la somme vaut;
S = ½ n² (n² – 1).

Cette somme est répartie sur n lignes (ou n colonnes). La somme magique vaut alors (en divisant par n):
M = ½ n (n² – 1).

Ce qui donne la suite des nombres, à partir de n = 3:
15, 34, 65, 111, 175, 260, 369, 505, …

 

Exemple: carré magique 4×4:

On retrouve souvent ces nombres

Voyez ce tableau:

 

Ou encore la somme de coefficients binomiaux

 

 

Ex: n = 5 =>

Brèves associées

>>> Carré magique 3x3

>>> Brèves Grilles – Index

Pour en savoir plus

>>> Somme magique

>>> Somme des entiers

>>> Coefficients binomiaux

 

 

1108.     Énigme des verres empilés

 

Énigme

La hauteur de cinq verres empilés est 34 cm; celle de deux verres est 19 cm.

Quelle est la hauteur d'un verre ?

 

Méthode à l'ancienne, mais simple et efficace

La différence 34 – 19 = 15 représente 3 fois la contribution d'un verre. Une contribution mesure 15/3 = 5 cm.

Celle-ci retirée de 19 cm donne la hauteur du verre:
19 – 5 = 14 cm.

 

Méthode algébrique

  

Verres empilés

 

  

Brèves associées

>>> Trois verres et dix pièces

>>> Brèves Énigme – Index

Pour en savoir plus

>>> Énigme du verre penché

>>> Jeux et énigmes – Index

 

1109.     Nombres de Dedekind

 

Nombres de Dedekind

Ces nombres servent à compter des objets mathématiques un peu complexes comme les fonctions booléennes monotones.

 

Découverts en 1897 par Richard Dedekind qui identifia les cinq premiers nombres: 2, 3, 6, 20 et 7 581.

 

En 2023, on a atteint le neuvième nombre qui compte 42 chiffres.

 

 

  

 

Exemple avec n = 2 avec le dessin du carré

Il existe six façons de disposer les billes blanches sans trouver une bille bleue plus à gauche qu'une blanche.  

Le troisième nombre de Dedekind est 6.

  

Brèves associées

>>> Nombres de Dudeney

>>> Brèves Types de nombres – Index

Pour en savoir plus

>>> Nombres de Dedekind

>>> Dedekind et contemporains

 

 

1110.     Nombres divisibles par 4

 

Théorème

Tous les multiples de 4 (sauf 4) sont, au moins une fois, différence de deux carrés.

 

Les autres nombres pairs ne sont jamais différence de deux carrés.

 

Méthode

Il suffit de considérer un des produits de deux nombres pairs (a٠b)  et d'appliquer une identité remarquable:
(a – b) (a + b) = a² – b²

  

 

Record de présentations: cas 1, 2 et 3

 

Exemple de calcul avec cas n°4 – Nombre 96

  

Brèves associées

>>> Somme de puissances

>>> Nombres différence de carrés

>>> Brèves Puissances – Index

Pour en savoir plus

>>> Différence de carrés

>>> Identité remarquable

>>> Nombre 96

>>> Nombre 4

 

 

1111.     Lunules et carré

 

Construction

Un carré et son cercle circonscrit.

Quatre demi-cercles posés sur chacun des côtés du cercle.

Quelle est l'aire de la zone colorée en bleu ?

 

Pistes

Comment décomposer la figure de façon à simplifier les calculs ?

 

Solution

Figure en bas à gauche

Prenons le carré et les demi-cercles (K + D), lesquels couvrent toute la surface.

Il faut retirer les zones blanches.

 

Figure en bas à droite

Prenons le cercle et le carré. La zone à éliminer est ici en orange et sa surface vaut (C – K).

 

L'aire de la zone bleue vaut:
A = (K + D) – (C – K) = 2K + D – C

 

Si a est le côté du carré:

 

 

Les quatre lunules bleues

ont la même surface que le carré.

 

Brèves associées

>>> Pions en cercle

>>> Brèves Énigmes – Index

Pour en savoir plus

>>> Lunules

>>> Défis géométriques – Index

 

 

1112.     Nombres 30 240 & 40 320

 

Deux nombres avec les mêmes chiffres

 

30 240 = 25 × 33 × 5 × 7

40 320 = 27 × 32 × 5 × 7

 

Ils partagent les mêmes facteurs.

 

Curieusement, ces deux nombres ont également la même quantité de diviseurs.

   

Quantité de diviseurs (fonction notée: tau)

Cette quantité se calcule facilement en connaissant la factorisation du nombre:

C'est le produit de chacun des exposants augmenté de 1.

 

 

La même quantité résulte du fait que 6 × 4 = 8 × 3.

Brèves associées

>>> Nombre  de Carroll

>>> Brèves Nombres – Index

Pour en savoir plus

>>> Nombre 30 240

>>> Quantité de diviseurs

 

 

1113.     Voyelles et nombres impairs

 

Énigme

Ces quatre cartes comportent une lettre sur une face et un nombre sur l'autre.

 

Toute carte avec une voyelle sur une face porte un nombre impair sur l'autre.

 

Quelles cartes faut-il retourner pour vérifier cette affirmation ?

  

Piste (ou piège déjoué)

On ne demande de vérifier que "voyelle-impair". Il n'est pas dit que "consonne-pair" est obligatoire.

Alors, inutile de vérifier B et 2.

 

Solution

Il suffit de retourner A et 1.

  

Cartes présentées

 

 

Historique

Peter Wason (1924-2003), un psychologue et son collègue Johnson-Laird ont proposé ce casse-tête en 1966 à 128 universitaires.

La majorité s'est trompée en choisissant la confirmation de l'affirmation plutôt que sa négation.

Tendance connue comme: biais de confirmation.

   

Brèves associées

>>> Voitures sur parking

>>> Brèves Énigmes – Index

Pour en savoir plus

>>> Voyelles et nombres impairs - Suite

>>> Logique – Index

 

 

1114.     Aire du rectangle ?

 

Problème

Sur cette figure certains éléments sont connus.

Retrouver l'aire du rectangle bleu.

 

Solution

Calcul des longueurs pas à pas:

Notez que l'aire 45 est purement indicative. La hauteur b peut être quelconque. 

  

 

Solution avec astuce

Compléter la figure comme indiqué.

 

Le rectangle S a même aire (19) que celui du bas et la même largeur; sa longueur est donc 5 cm.

Le rectangle T aussi a une larguer égale à 5. Il a la même largeur que le rectangle A. Donc: A = T = 21 cm².

     

Brèves associées

>>> Aire du rectangle dans le triangle

>>> Brèves Géométrie – Index

Pour en savoir plus

>>> Défis en géométrie – Index 

>>> Calculs d'aires

 

 

1115.     Énigme du 4 donne 5

 

Énigme

Avec ces trois relations, dont la partie intermédiaire est à découvrir, reconstituer la quatrième.

 

Solution

Prendre le carré du nombre et faire la soustraction des unités et des dizaines.

Ainsi: 4 devient 16 et 6 – 1 = 5; etc.

Alors: 7  devient 49 et 9 – 4 = 5

La solution est 5.

 

Ou comment 4567 devient 5335, un palindrome.

   

Données de l'énigme

Brèves associées

>>> Énigme des verres et du barman

>>> Brèves Énigmes – Index

Pour en savoir plus

>>> Énigme du 4 donne 5 – Suite 

>>> Énigmes virales sur le net

 

 

1116.     Carré dans quart de cercle

 

Énigme

Sur cette figure, on donne les mesures a et b.

Trouver la valeur du rayon du cercle en fonction de a et de b.

 

Piste

Le théorème de Pythagore et la résolution des équations du deuxième degré suffiront. 

 

 

Calculs

 

Figure

 

Application numérique

Prenons a = 4 cm et b = 2 cm

Alors  R = 6 + 4 = 10

La solution R = 6 – 4 = 2 n'est pas retenue car alors R – a = 0 et R – b est négatif.

   

Brèves associées

>>> Carré dans le triangle rectangle

>>> Brèves Géométrie – Index

Pour en savoir plus

>>> Défis en géométrie – Simples  

>>> Jeux et énigmes – Index

 

 

 

1117.     Nombre d'or et super doré

 

Les trois constantes

Il existe plusieurs constantes résultant de la convergence du ratio de deux nombres successifs pris dans les suites de

*      Fibonacci,

*      Padovan et

*      Narayana.

 

À droite, valeur et l'équation dont elles sont racines.

 

Suite de Narayna

Comme pour la suite de Fibonacci, on définit les points de départ et la récurrence:

A0 = 0; A1 = 1; A2 = 1; A3 = 1;

AN+1 = AN-1 + AN-3

 

Nombres de la suite de Narayana

1, 1, 1, 2, 3, 4, 6, 9, 13, 19, 28, 41, 60, 88, 129, 189, 277, 406, 595, 872, 1278,…  et 1278/872 = 1,465…

 

 

Nombre d'or

1,618…

x2 = x + 1

 

Nombre plastique

1,324…

x3 = x + 1

 

Super nombre d'or

1,465…

x3 = x2 + 1

Brèves associées

>>> Nombre d'or et nombre d'argent

>>> Brèves Nombres – Index

Pour en savoir plus

>>> Super nombre d'or  

>>> Nombre d'or

 

 

 

1118.     Coefficients du triangle de Pascal

 

Le triangle de Pascal

Seule la partie gauche du triangle est représentée. La partie droite est symétrique.

Pour chaque ligne, on calcule le PGCD des nombres, sauf le 1 initial.

 

Observation

Lorsque n est premier, le PGCD est égal à n si n est premier. Il est égal a p si n est une puissance p. Il est égal à 1 dans tous les autres cas.

 

 

Pourquoi ?

Notez que si n est premier, les coefficients sont des multiples de n. Car le n du numérateur n'est jamais divisible par les nombres au dénominateur.

   

Exemple: coefficient n°4 de la ligne 7

 

Brèves associées

>>> Produit dans le triangle de Pascal

>>> Brèves Suites – Index

Pour en savoir plus

>>> Théorème de divisibilité des coeff.  

>>> Divisibilité par 7

 

 

1119.     Nombre de Heesch

 

Pavage fini

Un pavage consiste à couvrir le plan avec des tuiles sans chevauchement et sans trou.

Il existe une grande variété de pavages. Ici, on s'intéresse au pavage fini. 

 

Le principe consiste à poser une tuile et, avec le même type de tuile, à l'endroit ou à l'envers, à faire le tour de la première. En fait, il s'agit de créer une sorte de couronne autour de la première tuile.

S'il est possible de créer cette couronne, sans qu'il soit possible de créer une nouvelle couronne, le nombre de Heesch de la tuile est 1.

 

Record

En fin 2023, on sait  créer des tuiles avec les nombres de Heesch de 1 à 6.

 

On ne sait pas si elles existent pour n = 7 et au-delà.

 

 

 

Tuile en forme d'un H allongé

Une couronne autour du H, mais on peut continuer. Ce pavage est infini.

 

Tuile en goutte d'eau: H = 1

Impossible de créer une nouvelle couronne.

 

Brèves associées

>>> Réseaux – Chemin sur grille

>>> Brèves Géométrie – Index

Pour en savoir plus

>>> Pavage fini – Nombre de Heesch  

>>> Pavages avec polygones

 

 

 

 

Retour

*         Brèves de maths – Page 55

Suite

*         Brèves de maths – Page 57

Voir

*         Voir liens en haut de page

Cette page

http://diconombre.fr/NombDico/aBreves/Breve56.htm