Accueil

Orientation générale

Barre de recherche

DicoNombre

DicoMot Math

DicoCulture

Atlas des maths

Rubriques

Index alphabétique

Nouveautés

Actualités

Références

Édition du: 28/12/2025

M'écrire

Brèves de Maths

 

Débutant 

Glossaire

Types de nombres

Nom des nombres

Écriture des nombres

Table des facteurs

Langues

Dictionnaire des Nombres

0 / 0,… / 1 /
 10 / 50 / 100 / 200

300 à 399

400 / 500 /  600 / 700 / 800 / 900 / 1 000 / 2 000 /

5 000 / 10 000 / 100 000 / 106 / 109  / 10100

300

310

320

330

340

350

360

370

380

390

360

361

362

363

364

365

366

367

368

369

 

   

 

Un pays qui produit plus de 365 sortes de fromages ne peut pas perdre la guerre !                 Charles de Gaulle

Voir Pensées & humour

 

 

 

 

*      Trois-cent-soixante-cinq

*      Three hundred sixty five

Nouvelle orthographe 

avec des traits d'union partout

Facteurs

Binaire

1 0110 1101

Bases

5558  1C114

Romain

CCC LX V

 Suite

*      Composé

*      Congruent

*      Déficient

*      Docile (amenable)

*      Heureux

*      Impair

*      Palindrome binaire

*      Semi premier

 

Géométrique

*      Carré centré (14)

 

Chiffres et numération

365 = 5x82 + 5x81 + 5x80 = 5558

*      Valeur de ce nombre en octal.

365 – (3 + 6 + 5) = 351 = T26

*      Devient triangulaire en le diminuant de ses chiffres.

365 = 6! / (5 – 3) + 5

*      Opération avec les chiffres de 365.

 

Addition et soustraction

365 = 32 + 33 + … + 41

*      Une des trois sommes de nombres consécutifs >>>

 

Multiplication et division

365 = 5 x 73

1, 5, 73, 365

*      Facteurs

*      Diviseurs

365 = 7 x 52 + 1

*      Explique que 1er janvier et 31 décembre tombent le même jour de la semaine pour une année normale.

365 x        137 = 50005

365 x   64254 = 23452345

365 x 273863 = 99959995

*      Produits à chiffres répétés.

Propriété: 365 = 5 x 73 et 73 x 137 = 10001

Objet de motifs sans fin comme ceux présentés.

99959995 est le plus grand motif avec répétition de quatre chiffres.

Tous les nombres en

abc0 abc0 et 

abc5 abc5

*      sont divisibles par 5, 73, 137, 10 001,

et  685, 365, 50005

365 Période d'aucun nombre connu.

*      On ne connait aucun premier avec une période égale à 365, alors que c'est le cas pour tous les nombres inférieurs.

Entre 360 et 370, et pour p jusqu'à 130 000, on trouve seulement:

Période 362 avec p = 13 757,

Période 366 avec p = 367,

Période 367 avec p = 3 671, et

Période 367 avec p = 129 919

365 mod 2 à 12

   = {1, 2, 1, 0, 5, 1, 5, 5, 5, 4, 5}

*      Restes de la division de 365 par les nombres de 2 à 12.

365 / 7 = 52,142857 142857…

365, 242 189 8 / 7 = 52,1774556857142857142857 …

*      Année calendaire divisée par quantité de jours dans la semaine.

*      Même division avec durée de l'année tropique.

 

Avec les puissances

365 = 2 x 182 + 1 = 183² – 182²

*      Propriété générale des nombres impairs.

365   =   2² + 19²
= 13² + 14² = 169 + 196

*      Deux seules sommes de deux carrés   >>>

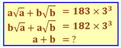
*      Solution du système d'équations:

365 = 10² + 11² + 12²   =  13² + 14²

        = 100  + 121  + 144  = 169 + 196

          = (17² + 21² ) / 2

*      Unique telle sommes de carrés de nombres consécutifs. Joli motif!

*      Plus petit nombre étant deux fois somme de carrés consécutifs. Motif qui se reproduit en commençant avec un nombre hexagonal du 2e ordre.

365 = 23 + 23 + 23 + 53 + 63

        = 3 x 23 + 63 + 53

*      Somme de cubes.

365 = 5 × (80 + 81 + 82)

*      Profite du fait que 73 = 80 + 81 + 82.

 

Culture 

Maths

*      365 nombre de démonstrations recensées du théorème de Pythagore

>>>

Temps

*      365 ou 366  Nombre de jours dans l'année calendaire.

>>>

*      365, 242 189 8 … j

365j 5h 48 mn 45, 96768 … s

Année moyenne ou tropique.
Période de révolution de la Terre.

>>>

 

 

Identité détaillée

Voir Diviseurs,  Quantité, Somme, Fonctions arithmétiques

 

 

Numération: base, [chiffres]

Repdigit (Brésilien)

2, [1, 0, 1, 1, 0, 1, 1, 0, 1]

3, [1, 1, 1, 1, 1, 2]

4, [1, 1, 2, 3, 1]

5, [2, 4, 3, 0]

6, [1, 4, 0, 5]

7, [1, 0, 3, 1]

8, [5, 5, 5]

9, [4, 4, 5]

10, [3, 6, 5]

11, [3, 0, 2]

12, [2, 6, 5]

13, [2, 2, 1]

14, [1, 12, 1]

15, [1, 9, 5]

16, [1, 6, 13]

17, [1, 4, 8]

18, [1, 2, 5]

19, [1, 0, 4]

20, [18, 5]

21, [17, 8]

22, [16, 13]

23, [15, 20]

24, [15, 5]

25, [14, 15]

26, [14, 1]

27, [13, 14]

28, [13, 1]

29, [12, 17]

30, [12, 5]

60, [6, 5]

8, [5, 5, 5]

72, [5, 5]

364, [1, 1]

Voir Bases / Brésiliens

 

 

Retour

Suite

*      Nombres en 350

*      Nombres en 370

Voir

*      Nom des nombres

*      Nombres géométriques

Voir

*      Nombres par leur nom

*      Empreinte des nombres

*      DicoNombre Junior

*      Historique de ce site et Références

*      Maitres en nombres  

 

Cette page

http://diconombre.fr/NombDico/N100a500/Nomb300/Nb365.htm