Accueil

Orientation générale

Barre de recherche

DicoNombre

DicoMot Math

DicoCulture

Atlas des maths

Rubriques

Index alphabétique

Nouveautés

Actualités

Références

Édition du: 10/01/2026

M'écrire

Brèves de Maths

 

DicoNombre

Débutant 

Glossaire

Types de nombres

Nom des nombres

Écriture des nombres

Table des facteurs

Langues

Dictionnaire des Nombres

0 / 1 / 10 / 100 / 200 / 300 / 400 /

500 / 550 / 600 / 650

700 à 799

800 / 900 / 1 000 / 2 000 / 5 000 /

10 000 / 100 000 / 106 / 109  / 10100

700

710

720

730

740

750

760

770

780

790

720

721

722

723

724

725

726

727

728

729

 

   

 

 

 

 

*      Sept-cent-vingt.

*      Seven hundred and twenty.

Facteurs

Binaire

10 1101 00002

Bases

2222003   5A511  50012

Base 60

C060 ou [12, 0]60

Romain

DCCXX

 Suite

 

720 = 6! = 1 x 2 x 3 x 4 x 5 x 6 = 8 x 9 x 10

 

*      Abondant

*      Abondant (hautement - )

*      Brésilien (hautement: 14 fois)

*      Composé

*      Composé (hautement: 14e)

*      Factorielle

*      Harshad (720 / 9 = 80)

*      Multi-pronique

*      Narcissique généralisé

*      Refactorisable

*      Semi-parfait

*      Sigma-touchable (hautement)

*      Totient (fortement)

*      Ulam

*      Zumkeller

 

*      Tétraédrique

*      Triangulaires

*        

 

Culture

Géométrie

*           720° = 4 x 180°   Somme des angles de l'hexagone.

>>>

 

Numération – Chiffres

720 => 027 = 33

*      Son retourné est un cube.

720 =

[24, 24]29

[20, 20]35

[18, 18]39

[16, 16]44

[15, 15]47

[12, 12]59

[10, 10]71

9979

8889

66119

55143

44179

33239

22359

*      Nombre brésilien ou multi repdigit record avec 14 configurations.

Exemple:22359 = 2 x 359 + 2 = 718 + 2 = 720

 

Voir Palindromes

720 = 12 x 60 + 0

*      S'écrit C0 ou [12,0] en base sexagésimale.

720 = (7 + 0 + 2) × 80

        = 5 × 144 = 5 × 12²

*      Nombre de Harshad.

*      Cinq grosses.

720 = 5×11² + 10×11 + 5×1

        = 5A511

*      Palindrome en base 11

 

Addition – Partition

720 = 7 + 8 + … + 38

*      Une des cinq sommes de nombres consécutifs >>>

720 = 2(7 + 2 + 0 + 73 + 23 + 03)

*      Nombre narcissique généralisé.

*      Nombre égal au totient de la somme de ses diviseurs.

 

 

Multiplication

720 = 10 × 9 × 8

        = 6 × 5 × 4 × 3 × 2 × 1 = 6!

        = 5 × 12²

*      Nombre 3-pronique.

*      Le nombre 5 (ainsi que 4/3) est la solution de
P(2n, 3) = 6P(n, 4). Solutions triviales 0 et 1.

*      Produits de consécutifs multiples d'une puissance.

 

            Seules factorielles produit de factorielles

720 = 1 × 2 × 3 × 4 × 5 × 6

       = 8 × 9 × 10

       = 3! × 5!

       = 6! = (3!) !

                  30 diviseurs

       = 10! / 7! = 6!

*      Factorielle.

*      Nombre factorielle tronquée deux fois

*      Seul cas connu de produit de factorielles: 6! x 7! = 10!

720 = 8 × 9 × 10

       = 24 × 32 × 5

       = 2 × 3 × 4 × 5 × 6

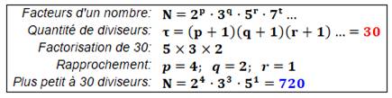
*      Nombre hautement composé. Le plus petit entier avec 30 diviseurs.

*      Nombre Tri Pronique.

*      Fortement totient (ou hautement indicateur).

*      Deux fois produit de nombres consécutifs.
Liste: 120, 210, 720, 5040, 175560, 17297280, 19958400, 259459200, …  OEIS A064224

720 = 8 × 9 × 10 = 6 (2 × 3 × 4 × 5 × 6)

                          = 12 (3 × 4 × 5)

*      Égalité de factorielles tronquées.

720 = s(7,1)

*      Nombres de Stirling 1: factorielle tronquée.

*       Expression des factorielles avec somme de puissances.

 2         x 360           = 720

 3         x 240           = 720

 4         x 180           = 720

 5         x 144           = 720

 6         x 120           = 720

 8         x  90           = 720

 9         x  80           = 720

10         x  72           = 720

12         x  60           = 720

15         x  48           = 720

16         x  45           = 720

18         x  40           = 720

20         x  36           = 720

24         x  30           = 720

*      Plus petit nombre quatorze fois produit de deux nombres.

 

Division – Diviseurs

720 et ses diviseurs:

1, 2, 3, 4, 5, 6, 8, 9, 10, 12, 15, 16, 18, 20, 24, 30, 36, 40, 45, 48, 60, 72, 80, 90, 120, 144, 180, 240, 360, 720.

Somme: 2 418. Abondant

*       Le nombre 720 est le plus petit ayant 30 diviseurs.

n, P, P – n,  P + n, P – 2n, P + 2n

720, 1697, 977, 2417, 257, 3137

720, 1873, 1153, 2593, 433, 3313

720, 2251, 1531, 2971, 811, 3691

*       Valeur de n telle qu'un nombre premier est éloigné de n de deux autres premiers et, aussi de 2n de deux autres premiers.
P – n = Pa; P + n = Pb; P – 2n = Pc; P + 2n = Pd;

720 = 30 × 24

*      Nombre refactorisable ou nombre Tau: nombre multiple de sa quantité de diviseurs.

*      Hautement sigma-touchable.

*      Hautement indicateur (ou totient)

*      Nombre égal au totient de la somme de ses diviseurs

720 = 360 + 180 + 144 + 36 = …

*      Nombre semi-parfait: 676 327 fois somme de certains de ses diviseurs.

720 et ses diviseurs

*      Forme un système de congruence couvrant tous les nombres. Voir Nombre 12

720 et ses diviseurs
{1, 2, 3, 4, 5, 6, 8, 9, 10, 12, 15, 16, 18, 20, 24, 30, 36, 40, 45, 48, 60, 72, 80, 90, 120, 144, 180, 240, 360, 720}

*      Forment un système de congruences qui couvre tous les entiers.

 

Puissances

720 = 27² – 3² = 28² – 8² =  29² – 11² = 24² – 12² = 36² – 24² = 41² – 31² = 49² – 41² = 63² – 57² = 92² – 88² = 181² – 179²

*      Nombre binomial.

*      Neuf fois différence de carrés; le plus petit.

720 = 12² + 24² = 5 x 12²

   = 8² + 16² + 20² = 5 x 8² + 20²

*      Une seule fois somme de deux carrés et une seule pour trois carrés.

*      Seule factorielle somme de deux carrés.

720² = 432² + 576² = 518 400

*      Triplet de Pythagore.

2720 = 551…666 …576

*      Nombre apocalyptique.

 

Autour du nombre

720

*      Six triangles rectangles de même périmètre égal à 720.

720 = 8×9×10 = 3 × 15×16

*      Un des cinq nombres à la fois triangulaires et tétraédriques.

 

 

Identité détaillée

Voir Diviseurs,  Quantité, Somme, Fonctions arithmétiques

 

 

Numération: base, [chiffres]

Repdigit (Brésilien)

720

2, [1, 0, 1, 1, 0, 1, 0, 0, 0, 0]

3, [2, 2, 2, 2, 0, 0]

4, [2, 3, 1, 0, 0]

5, [1, 0, 3, 4, 0]

6, [3, 2, 0, 0]

7, [2, 0, 4, 6]

8, [1, 3, 2, 0]

9, [8, 8, 0]

10, [7, 2, 0]

11, [5, 10, 5]

12, [5, 0, 0]

13, [4, 3, 5]

14, [3, 9, 6]

15, [3, 3, 0]

16, [2, 13, 0]

17, [2, 8, 6]

18, [2, 4, 0]

19, [1, 18, 17]

20, [1, 16, 0]

21, [1, 13, 6]

22, [1, 10, 16]

23, [1, 8, 7]

24, [1, 6, 0]

25, [1, 3, 20]

26, [1, 1, 18]

27, [26, 18]

28, [25, 20]

29, [24, 24]

30, [24, 0]

60, [12, 0]

29, [24, 24]

35, [20, 20]

39, [18, 18]

44, [16, 16]

47, [15, 15]

59, [12, 12]

71, [10, 10]

79, [9, 9]

89, [8, 8]

119, [6, 6]

143, [5, 5]

179, [4, 4]

239, [3, 3]

359, [2, 2]

719, [1, 1]

Voir Bases / Brésiliens

 

 

Numération

Particularités

=== Conversion de 720 ===

------------------------------

   2 | 1, 0, 1, 1, 0, 1, 0, 0, 0, 0

   3 | 2, 2, 2, 2, 0, 0

   4 | 2, 3, 1, 0, 0

   5 | 1, 0, 3, 4, 0

   6 | 3, 2, 0, 0

   7 | 2, 0, 4, 6

   8 | 1, 3, 2, 0

   9 | 8, 8, 0

  10 | 7, 2, 0

  11 | 5, 10, 5

  12 | 5, 0, 0

  13 | 4, 3, 5

  14 | 3, 9, 6

  15 | 3, 3, 0

  16 | 2, 13, 0

  17 | 2, 8, 6

  18 | 2, 4, 0

  19 | 1, 18, 17

  20 | 1, 16, 0

  21 | 1, 13, 6

  22 | 1, 10, 16

  23 | 1, 8, 7

  24 | 1, 6, 0

  25 | 1, 3, 20

  26 | 1, 1, 18

  27 | 26, 18

  28 | 25, 20

  29 | 24, 24

  30 | 24, 0

  31 | 23, 7

  32 | 22, 16

  60 | 12, 0

=== Repdigits ===

  base 29 → 24, 24

  base 35 → 20, 20

  base 39 → 18, 18

  base 44 → 16, 16

  base 47 → 15, 15

  base 59 → 12, 12

  base 71 → 10, 10

  base 79 → 9, 9

  base 89 → 8, 8

  base 119 → 6, 6

  base 143 → 5, 5

  base 179 → 4, 4

  base 239 → 3, 3

  base 359 → 2, 2

  base 719 → 1, 1

 

=== Pannumérique (b > 3) ===

  Aucun trouvé.

 

=== Consécutif croissant ===

  base 718 → 1, 2

 

=== Consécutif décroissant  ===

  base 102 → 7, 6

  base 720 → 1, 0

 

=== Palindromes  ===

  base 11 → 5, 10, 5

  base 29 → 24, 24

  base 35 → 20, 20

  base 39 → 18, 18

  base 44 → 16, 16

  base 47 → 15, 15

  base 59 → 12, 12

  base 71 → 10, 10

  base 79 → 9, 9

  base 89 → 8, 8

  base 119 → 6, 6

  base 143 → 5, 5

  base 179 → 4, 4

  base 239 → 3, 3

  base 359 → 2, 2

  base 719 → 1, 1

Voir Bases / Brésiliens

 

 

 

 

 

Suite

Voir Haut de page    /    Autres nombres

Voir

*      Nombres par leur nom

*      Empreinte des nombres

*      DicoNombre Junior

*      Historique de ce site et Références

*      Maitres en nombres

Cette page

http://diconombre.fr/NombDico/N5001000/N720.htm