NOMBRES - Curiosités, théorie et usages

 

Accueil                           DicoNombre            Rubriques           Nouveautés      Édition du: 03/12/2017

Orientation générale        DicoMot Math          Atlas                   Références                     M'écrire

Barre de recherche          DicoCulture              Index alphabétique        Brèves de Maths    

            

Nombres figurés

 

Débutants

Nombres

Figurés

TRIANGULAIRES

 

Glossaire

Nombres

Figurés

 

 

INDEX

 

Nombres figurés

 

Introduction

Propriétés

Caractérisation

Centrés

Relation de Fermat

 

Sommaire de cette page

>>> Nombres figurés triangulaires et pyramidaux

>>> Programme

>>> Triangle de Pascal

>>> Relation de Fermat entre ces nombres

>>> Sommes de puissances

>>> Avec le triangle de Pascal

>>> Bilan

 

 

 

 

 

Relation de Fermat

entre triangulaires et pyramidaux

& Somme des puissances

 

Pierre de Fermat (1607-1665) écrit en 1636 que sa découverte est sans doute le plus beau problème de l'arithmétique. Ses lettres étaient destinées à Marin Mersenne (1688-1648) puis à Gilles Personne de Roberval (1602-1675).

Selon Fermat le calcul des sommes de puissances (1k + 2k + 3k … + nk) peut être réalisé en utilisant sa relation entre les nombres figurés géométriques. Cette méthode est originale, même si on savait déjà calculer ces sommes avant lui.

Blaise Pascal (1623-1662) avec lui aussi une relation du même genre avec son triangle.

 

 

 

Nombres figurés triangulaires et pyramidaux

 

Triangulaires (2D – figure plane)

On s'intéresse ici aux nombres triangulaires qui sont la somme cumulée des nombres entiers.

Le cinquième: 1 + 2 + 3 + 4 + 5 = 15.

Des segments comprenant une quantité progressive de points sont empilés pour former un triangle.

 

Pyramidaux (3D – figure en volume)

Ce sont, cette fois, la somme cumulée des nombres triangulaires.

Le quatrième: 1 + 3 + 6 + 10 = 20.

Les triangles complets successifs sont empilés les uns sur les autres pour former une pyramide à base triangulaire.

 

 

Table des nombres triangulaires et pyramidaux de dimensions successives

Voir Triangle de Pascal

 

Hyper-pyramidaux (nD – de énième dimension)

Le processus d'empilement est répété: les pyramidaux Tn  sont la somme cumulée des pyramidaux Tn-1 .

 

Par exemple: T5, 20 = 42 504
= 1 + 5 + 15 + … + 8 855 = 33 649 + 8 855

 

 

Formation des nombres

Un nouveau nombre est égal au précédent de même dimension plus celui de même rang de la dimension inférieure.

 

Programme de calcul (Maple)

Initialisation avec restart et déclaration de T2 = 0, le premier triangulaire. L2 est la liste des triangulaires.

Une boucle calcule d'abord le nombre triangulaire suivant et le place dans la liste qui est imprimée

La deuxième boucle calcule les pyramidaux (T3) et les place dans place dans liste L3. Idem pour L4.

En bleu, les trois listes demandées.

 

Programme: exemple de calcul des six premiers nombres T2, T3 et T4

Voir Programmes

 

 

Triangle de Pascal et nombres pyramidaux

 

En ocre le triangle de Pascal classique; il est  prolongé en blanc.

 

Le triangle de Pascal contient tous les nombres figurés pyramidaux.

Les nombres de dimensions 5 sont aussi bien en ligne 5 qu'en colonne 5.

Le rang est égal au numéro de ligne ou de colonne moins 1.

T5,10 = 2 002 est en colonne 5 et ligne 9 ou en ligne 5 colonne 9.

 

 

Relation de Fermat entre ces nombres

 

Fermat à trouvé une relation qui lie les nombres d'une colonne à ceux de la colonne précédente.

 

Exemple

Prenons T3,4 = 20. Ce nombre est lié au nombre à gauche et un cran plus bas: T2,5 = 15.

Les coefficients sont pour l'un sa dimension (3) et pour l'autre son rang (4).

 

On peut dire: le Pyramidal (20) de dimension 3 et de rang 4 est lié à celui (15) de dimension 2 et de rang 5 de cette façon:

 

 

Formulation

 

 

 

Application

Calculons T4, 5 . Sachant le tableau donne 70.

 

 

 

 

Formulation narrative de Fermat

 

Dans la progression des nombres naturels commençant par l'unité, un nombre quelconque, multiplié par celui qui le suit et qui est plus grand, fait le double du triangulaire de ce nombre;

La multiplication du triangulaire, par le nombre qui le suit et qui est plus grand dans la progression, donne le triple du pyramidal;

Le produit du pyramidal, par le nombre suivant de la progression, donne le quadruple du triangulo--triangulaire, et ainsi à l'infini par une méthode générale et uniforme.

 

En formule cela donne:

 

Les nombres triangulo-triangulaires sont la généralisation des nombres pyramidaux en dimension quatre: il s'agit d'empiler des pyramides dont les côtés varient de 1 à n, notés T4 ci-dessus.

 

 

Interprétation

 

La relation de Fermat présente sous une forme "déguisée" les formules de calcul de l'aire du triangle, du volume de la pyramide et la généralisation à des hyper-volumes.

Ci-dessous, on reprend le calcul des nombres triangulaires pour donner une idée de ce fait.

Ensuite, le volume de la pyramide à base triangulaire est égal à 1/3 du volume du prisme ayant même base et même  hauteur.

 

 

Sommes des puissances

Fermat se propose de calculer la somme des carrés des nombres successifs à partir de sa relation. Cette formule était connue bien avant lui. Sa contribution: calculer les sommes de puissances à partir de sa relation entre nombres figurés.

 

Nombres triangulaire = somme des entiers

 

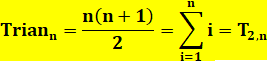
Comment calculer un nombre triangulaire de rang n?

Exemple: T5 = 1 + 2 + 3 + 4 + 5 = 15. C'est aussi la moitié du nombre rectangulaire: T5 = ½ (5 x 6) = 15.

 

Une simple lecture sur la figure indique que: la somme des entiers jusqu'au rang n est égale au demi-produit du rang par le rang suivant:

Voir Somme des entiers

 

 

Nombre rectangulaire

= 2 x triangulaire

 

Relation de Fermat pour triangulaire et pyramidal

 

Note: le i est un indice et non le nombre imaginaire!

n x Triangulaire = 3 x Pyramidal

 

 

 

 

 

Calcul de la somme des carrés

 

Le calcul pour les carrés est acceptable; pour les puissances supérieures, il devient fastidieux.

 

 

 

Avec le triangle de Pascal

La relation de Fermat se retrouve dans le triangle de Pascal. C'est la conséquence n°12 identifiée par Pascal dans son Traité du triangle arithmétique (1654).

Prenons la définition des coefficients binomiaux du triangle de Pascal sous leur forme factorielle et calculons sa relation avec le suivant.

2 x 10 = 4 x 5

Comparaison

En reprenant les exemples ci-dessus.

 

En ocre, la relation de Fermat et en blanc celle de Pascal.

 

 

 

Bilan

Fermat comme Pascal ont trouvé la même relation sous des angles différents: l'un avec les nombres figurés et l'autre au travers de son triangle arithmétique.

Fermat y a vu une possibilité de calculer les sommes de puissances des nombres successifs. Beauté mathématique, mais peu praticable.

 

 

Merci à Jean-Paul B. à l'origine de la création de cette page

 

 

 

Voir

*  Nombres triangulaires – Introduction et développements

*  Nombres tétraédriques

*  Nombres proniques

*  Nombres parfaits

*  Racine triangulaire et tour de Hanoï

Aussi

*  Nombres figurés

*  Sommes des carrés

*  Sommes des cubes

Sites

*   Figurate numbers and sums of numerical powers: Fermat, Pascal, Bernoulli – David Pengelley

*   Pascal’s Treatise on the Arithmetical Triangle:  Mathematical Induction, Combinations, the Binomial Theorem and Fermat’s Theore – D avid Pengelley

*   Fermat and Pascal Use Figurate Numbers, Binomials, and the Arithmetical Triangle to Calculate Sums of Powers

Cette page

http://diconombre.fr/aNombre/FIGURE/Fermat.htm