NOMBRES - Curiosités, théorie et usages

 

Accueil                           DicoNombre            Rubriques           Nouveautés      Édition du: 13/01/2020

Orientation générale        DicoMot Math          Atlas                   Références                     M'écrire

Barre de recherche          DicoCulture              Index alphabétique              Brèves de Maths    

            

Analyse

 

Débutants

Général

Développements

 

Glossaire

Général

 

 

INDEX

Puissance

Décomposition

 

Fonctions

Dévelop. (1 + x)a

 Dévelop 1 / rac(1 – 2x)

Division rapide

Division de polynômes

 

Sommaire de cette page

>>> Fonctions usuelles

>>> Conditions

>>> Calculs

 

 

 

 

Développements limités des fonctions courantes

 

Ces formules permettent le calcul approché des fonctions usuelles pour x petit (autour de 0).

 

 

 

 

Fonctions usuelles

>>>

>>>

 

 

>>>

 

 

 

>>>

>>>

>>>

 

 

 

 

La formule complète fait intervenir les nombres de Bernoulli.

 

 

 

 

>>>

 

 

Conditions

 

*    Ces développements limités ne sont valables que si:

*       x est petit autour de 0,

*       a est une constante (et non pas une variable),

*       le dernier terme o(x) témoigne de la différence avec la valeur exacte. Il diminue avec la quantité de termes calculés.

 

 

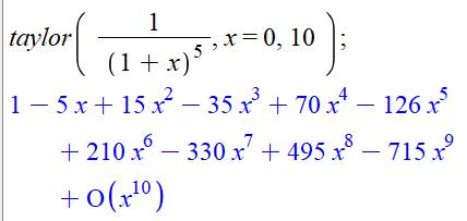
Calculs avec le logiciel Maple

Voir Programmation

 

 

 

 

Suite

*         Développement   de (1 + x)a

*         Développement de x.tan(x/2)

*         Développements engendrant les nombres de Fibonacci

*         Division de polynômes

Voir

*         Identités remarquables

*         Développements finis

*         Division rapide  avec additions

*         Exponentielles

*         Racine

*         Racine carrée

Cette page

http://diconombre.fr/aMaths/Analyse/Develop/DevLimit.htm