NOMBRES – Curiosités, Théorie et Usages

 

Accueil                           DicoNombre            Rubriques           Nouveautés      Édition du: 20/11/2021

Orientation générale        DicoMot Math          Atlas                   Actualités                       M'écrire

Barre de recherche          DicoCulture              Index alphabétique        Références      Brèves de Maths                      

                            

ÉNIGMES

 

Débutants

JEUX

PARTAGES

 

Glossaire

Général

 

 

INDEX

 

JEUX

 

Dénombrement

 

Classiques

Bakhshali

Unijambiste

Pascal

Gain au jeu

Bœufs d'Hélios

Trois amis

100 euros

Tonneaux

Partage en 1/17

Œufs qui tombent

Singe et noix de coco

 

Sommaire de cette page

>>> Le problème: partie 1

>>> Mise en équations

>>> Solutions

>>> Résolution par ordinateur

>>> Résolution à la main

>>> Supplément: partie 2

 

 

 

 

 

 

 

 

Problème des bœufs d'Hélios

Les bœufs d'Archimède / Les taureaux d'Archimède

Le troupeau du soleil / Le troupeau d'Hélios

 

Problème qu'Archimède ( 250 av. J.-C.) pose dans une lettre à Ératosthène, sous la forme d'une épigramme en quarante-quatre vers (22 couplets).

Il s'agit de retrouver la quantité de bœufs à partir de sept conditions formant équations.  Cette première partie n'est pas très dure à résoudre même si la solution donne de grands nombres. 

Deux conditions complémentaires (apocryphe?) rendent le problème quasi-impossible.

Découvert en 1773 par Gotthold Lessing dans une bibliothèque de Wolfenbüttel (Allemagne). Résolu en 1880 par A. Amthor.

 

Anglais: The cattle problem, Helios cattle, Archimedes' cattle problem, oxen of the sun

Archimedes' Problema Bovinum

 

 

 

 

 

Le problème (partie 1)

 

Si tu es diligent et sage, ô étranger, calcule le nombre de têtes de bétail du troupeau du soleil qui autrefois paissait dans les champs de l'île de Thrinacian  ….

Le dieu soleil (Hélios) possède un troupeau de taureaux et de vaches, dont une partie était blanche, une partie noire, une partie pie, et la quatrième jaune.

 

Version anglaise: The sun god had a herd of cattle consisting of bulls and cows,

one part of which was white, a second black, a third spotted, and a fourth brown.

Robe pie: qui est composée d'une couleur en plus du blanc; l'anglais dit tacheté (spotted).

 

 

Pour les taureaux:

*    Le nombre de ceux qui étaient blancs dépassait le nombre des jaunes de la moitié plus un tiers du nombre des taureaux noirs.

*    Le nombre des taureaux noirs dépassait le nombre des taureaux jaunes d'un quart plus un cinquième du nombre des taureaux pie.

*    Enfin le nombre des taureaux pie dépassait celui des jaunes d'un sixième plus un septième du nombre des taureaux blancs.

Pour les vaches:

*    Le nombre des blanches était égal au tiers augmenté du quart du nombre total des bovins noirs.

*    Le nombre des vaches noires, au quart augmenté du cinquième du nombre total des bovins pie.

*    Le nombre des vaches pie, au cinquième augmenté du sixième du nombre total des bovins jaunes.

*    Le nombre des vaches jaunes était égal à un sixième plus un septième du nombre des bovins blancs."

 

 

Bœufs d'Hélios (Odyssée d'Homère)

Ulysse vient de passer les écueils de Charybde et Scylla (détroit de Messine entre Italie et Sicile).

Circé (enchanteresse, fille d'Hélios) et le devin Tirésias le mettent en garde: sur l'île de Thrinacia (Sicile ou Malte?), ne pas toucher au troupeau sacré d'Hélios, le dieu du soleil.

L'Odyssée d'Homère - Traduction de Leconte de Lisle (1818-1894)

Rappel: femme d'Ulysse: Pénélope et leur fils Télémaque

 

Les compagnons d'Ulysse  sont à bout de force et imposent un arrêt sur l'île pour se reposer. Le vent se lève qui oblige l'équipage à reste sur l'île. Les provisions venant à manquer, ils succombèrent et mangèrent les plus belles bêtes d'Hélios.

Celui-ci réclame vengeance auprès de Zeus, lequel foudroie le navire d'Ulysse, l'épargnant seul, car il n'a pas mangé de cette viande.

Voir Factorisation de Pénélope

 

 

 

 

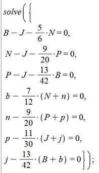
Mise en équations

Formulations de la première proposition

 

*    Le nombre de ceux qui étaient blancs dépassait le nombre des jaunes de la moitié plus un tiers du nombre des taureaux noirs.

*    Les blancs sont plus que les jaunes.
Il y en a (1/2 + 1/3) de la quantité des noirs en plus.

*    Blancs = Jaunes + (1/2 + 1/3) Noirs

 

Formulation symbolique

 

B = J + N

 

 

Voir Calculs avec fractions

 

 

 

Solutions

 

*    Nous disposons de sept équations pour huit inconnues.

Alors, la solution ne sera connue qu'à une constante de proportionnalité près (k, un entier).

*    La résolution de ce système d'équations ne pose pas de problème théorique, mais il est long!.

*    L'épigramme d'Archimède était accompagnée d'un court poème supplémentaire précisant que k = 80.

 


 

 

 

Résolution par ordinateur

 

*    Aujourd'hui, la solution est calculée rapidement à l'aide d'un logiciel mathématique comme Maple. Voici le programme:

 

*    La réponse du logiciel est la suivante; sous forme fractionnaire et, ici, en fonction de p.

 

 

*    Le plus grand commun multiple qui permet l'obtention de nombres entiers (et non des nombres fractionnaires) est 3 515 820 qui est la plus petite valeur de p.

 

 

*    En remplaçant p par sa valeur, on retrouve les solutions entières données ci-dessus.

 

 

 

Résolution "à la main"

 

*    Pour les curieux, voici la résolution de ce système d'équations sans ordinateur.

*    Excellent exercice pour s'entraîner aux calculs avec fractions.


 

 

 

 

 

Supplément – Deuxième partie du problème

 

*    Archimède ajoute (14 dernières ligne de son poème) deux conditions complémentaires pour atteindre le degré suprême dans la science des nombres.

*    La somme des taureaux blancs et noirs est un carré: B + N = carré.

*    La somme des taureaux pie et jaunes est triangulaire. P + J = triangulaire

*    Quelle est la taille du troupeau?

*    Formulation

B + N = c²

P + J = ½ t (t + 1)

avec c et t deux entiers

 

*    Application numérique, sachant que la solution est un multiple (k) des valeurs déjà trouvées.

*    Avec h = 1, nous avons un carré. Cependant, on conserve un coefficient multiplicatif car nous avons encore une condition à satisfaire.

 

B + N  = 17 826 996 k = c²

= 22 x 3  x 11 x 29 x 4659 k

= 22 x 4 456 749 k

 

k = 4 456 749 h²

 

*    Seconde condition avec notre nouveau coefficient.

*    On cherche à dégager un carré à l'aide d'une identité remarquable. pour cela, on multiplie par 8 et on ajoute 1.

*    Soit au final deux conditions à satisfaire.

 

P + J = ½ t (t + 1)

= 11 507 447 x 4 456 749 h²

= 512 85 802 909 803 h2

 

8/2 t (t + 1 ) + 1 = 4t² + 4t + 1

= (2t + 1)2

 

(2t + 1)2  = 8 x 512 85 802 909 803 h2 + 1

= 410 286 423 278 424 h² + 1

= 23 x 3 x 7 x 11 x 29 x 353 x 4 6572 h² + 1

= 4 729 494  x 9 314² h² + 1

 

u² = 4 729 494  v² + 1

v² = 9 314² h²

 

*    Nos constatons que, dans ces conditions le problème se complique énormément.
 

*    Sa mise en équation par Amthor aboutit à cette équation de Pell.

 

*    Sa solution fait appel aux congruences, au théorème des restes chinois et aux fractions continues.

 

u² – k . v² = 1

            v  0 mod (9 314)

 

avec k = 4 729 494

            = 2 x 3 x 7 x 11 x 29 x 353

 

*    La solution fut exprimée par Amthor qui évaluait la taille du troupeau à un nombre d'environ de 206 545 chiffres.

*    Une nouvelle méthode de résolution fut découverte par Vardi en 1998. Les formules obtenues sont directement exploitable par un logiciel de calcul.

 

En 1965, la valeur de la taille du troupeau fut calculée par ordinateur en pratiquement huit heures de calcul – Williams et al.

 

Taille du troupeau

Il faut 52 pages pour imprimer ce nombre.

 

 

Conclusion

Il est plus que probable qu'Archimède n'a pas résolu ce problème. On se demande même si, taquin, il ne voulait pas mettre en difficulté ses collègues.

Plus tard, en arrivant sur l'extravagante équation de Pell, certains mathématiciens ont voulu interpréter les contraintes. Un exemple: le carré appliqué au troupeau voudrait dire que les bêtes sont mises dans une grille carrée; or le bovin étant plus long que haut, on aboutirait à un rectangle et la contrainte deviendrait:

T = n . m et non T = c².

 

 

 

 

 

 

Voir

*  Partage – Énigmes classiques

*  Partage en dix

Aussi

*  JeuxIndex

*  Partage et dédommagement

*  Partage lors d'un repas en commun

*  Partage de Pascal

DicoNombre

*  Nombre 4 729 494

*  Nombre 7,7… 10206 544

Site

*   Sur le problème des bœufs d'Archimède – Paul Tannery – 1881

*Archimedes' Catlle Problem - Weisstein, Eric W. "Archimedes' Cattle Problem." From MathWorld--A Wolfram Web Resource.

*  Archimedes'Cattle Problem – Iian Vardi pour suivre le calcul de la partie additionnelle du problème

Cette page

http://diconombre.fr/aJeux1/Partage/Helios.htm