NOMBRES – Curiosités, Théorie et Usages

 

Accueil                           DicoNombre            Rubriques           Nouveautés      Édition du: 05/07/2023

Orientation générale        DicoMot Math          Atlas                   Actualités                       M'écrire

Barre de recherche          DicoCulture              Index alphabétique        Références      Brèves de Maths    

    

Exercices de calculs

 

Débutants

Équations

Initiation aux fonctions

 

Glossaire

Général

 

 

INDEX

 

Enseignement

 

Équations

 

Calcul

 

Tangente

Carrés, périmètre et aire

Fermier et pommes de terre

Aire lettre H

Parcours sur un cube

Cylindre déformable

Lycée – Seconde

 

 

Sommaire de cette page

>>> Variations sur un carré

>>> Calcul d'une fonction fractionnaire

>>> Résolution d'une équation du deuxième degré

 

 

 

ÉQUATIONS du DEUXIÈME DEGRÉ

Initiation

 

Exemple d'approche des fonctions et équations du deuxième degré.

 

 

Variations sur un carré

Voir Carré en géométrie

 

 

Rappel de la définition

Voir DicoMot Maths

 

 

 

1)   Ensembles de définition des fonctions

Le périmètre est une longueur qui s'exprime avec une quantité de mètres, c'est un nombre réel (nombre avec éventuellement des décimales, donc pas un nombre entier):

Ensemble de définition du périmètre: , l'ensemble des nombres réels.

Voir Ensembles des nombres

 

L'aire est un produit de deux longueurs qui s'expriment chacune avec un nombre réel:

Ensemble de définition de l'aire: .

 

2)    Expressions de A(x) et P(x)

La figure montre bien que le carré initial est "dilaté" de la même quantité sur deux côtés adjacents. La nouvelle figure reste encore un carré de côté 6 + x.

Si x vaut 4 cm, par exemple, les quatre côtés mesureront: 6 + 4 =  10 cm.

 

Aire du carré =  longueur du côté au carré:

A(x) = (6 + x  = x² + 12x + 36

(On verra qu'il est inutile de développer)

 

Périmètre du carré = 4 fois la longueur du côté:

 P(x) = 4(6 + x) = 4x + 24

 

3)   Valeur de P(x) si A(x) = 51,84

A(x) = (6 + x)² = 51,84 = 7,2²

6 + x = 7,2

 

P(x) = 4(6 + x) = 4 . 7,2 = 28,8 cm

(le point et non x pour éviter la confusion avec l'inconnue x)

 

4)   Valeur de A(x) si P(x) = 32,80

P(x) = 4(6 + x) = 32,80

6 + x = 8,20

 

A(x) = (6 + x)² = 8,20² = 67,24 cm²

 

 

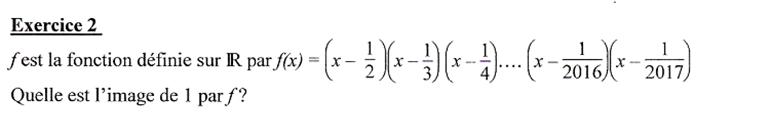
Calcul d'une fonction fractionnaire

 

 

Rappel: la fonction est définie sur  veut simplement dire que x peut prendre toutes le valeurs des nombres avec ou sans virgule, comme: 1 , 1/2  = 0,5 , 1/3 = 0, 333… ou autres.

 

La question demande quelle est l'image (on pourrait dire plus simplement: la valeur) de f(x) pour x = 1.  L'image de 1 par f veut donc dire: si je prends x = 1, comment ce 1 se transforme-t-il en l'injectant dans la "moulinette" de la fonction f ?

Valeur de f(x = 1)

 

 

On reformule f(x=1) en calculant les fractions dans les parenthèses.

Exemple:

Soit pour f(x = 1):

 

On remarque que le numérateur de l'une est égal au dénominateur de la précédente.Ce qui occasionne une simplification massive:

 

 

 

 

Résolution d'une équation du deuxième degré

 

 

Avec 20 mètres de grillage, cette personne peut entourer un potager de 20 m de périmètre quelle que soit sa forme.

S'il est rectangulaire, ce périmètre vaut (a sa longueur et b sa largeur):

P = 2(a + b) = 20   =>   a + b = 10 et   b = 10 – a

Son aire:

A = a.b  = 20,16

En remplaçant b par sa valeur en fonction de a:

A = a.(10 – a) = 10a – a²  = 20,16

Soit une expression du deuxième degré (car existence de a²) égale à 0; ce qui s'appelle une équation du deuxième degré:

a² – 10a + 20,16 = 0

 

Sauf cas très particulier, il n'y a pas de solution évidente pour résoudre cette équation.

 

Nous avons néanmoins trois possibilités.

 

a)   Résolution graphique

Deux coupures de l'axe des x en 2,8 et 7,2.

C'est bien ce que nous cherchons, car c'est lorsque la courbe coupe l'axe des abscisses que la fonction f vaut 0.

 

Confirmation en zoomant:

Solutions:

a = 2,8 et b = 10 – 2,8 = 7,2

ou

a = 7,2 et b = 10 – 7,2 = 2,8

L'usage veut que a, la longueur soit plus grande que b, la largeur. On conservera:

a = 7,2 cm et b = 2,8 cm

Vérification

P = 2 (7,2 + 2,8) = 20 cm

A = 7,2 . 2,8 = 20,16 cm²

 

b)   Résolution par tableau de valeurs (c'est-à-dire par encadrement de la solution)

Un premier passage avec les valeurs de 1  à 10 montre deux solutions aux alentours de 3 et 7.

Un second passage autour de 7 (par exemple), en progressant par pas de 0,1 donne directement une des solutions (7,2)

 

c)   Résolution de l'équation

Sans doute pas encore étudié en cours. Donc pour information et pour montrer que l'on peut trouver les solutions par l'algèbre.

Voir Résolution générale des équation du deuxième degré

 

Équation à résoudre:

a² – 10a + 20,16 = 0

On identifie les trois coefficients:

1– 10a + 20,16 = 0

 

On calcule un paramètre d:

Les deux racines de l'équation sont:

 

 

Voir Équation du deuxième degré – Somme et produit

 

 

 

 

 

Retour

*      Initiation au premier degré

*      Aire avec la lettre H

Suite

*     Fermier et pommes de terre

*    Parcours sur un cube

*      Polynômes

*      Dérivées

*        Équations du deuxième degré

Voir

*      Initiation au calcul

*      Initiation aux équations

*      Débutants / Novices

Cette page

http://diconombre.fr/aExercic/Lycee/Carre.htm