Accueil

Orientation générale

Barre de recherche

DicoNombre

DicoMot Math

DicoCulture

Atlas des maths

Rubriques

Index alphabétique

Nouveautés

Actualités

Références

Édition du: 09/02/2025

M'écrire

Brèves de Maths

 

INDEX

 

Types de nombres

Identités

Remarquables

Degré > 2

Spéciales

Divers

Inverses

a^n – b^n

a^n – 1

Complexes

Puissances

a^n + b^n

Divisibilité de an + bn

Trigonométrie

x^2 + y^2

Faites un double-clic pour un retour en haut de page

 

 

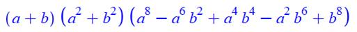
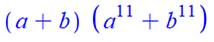
Identités en an + bn

 

Toutes les identités de n = 3 à 12.

 

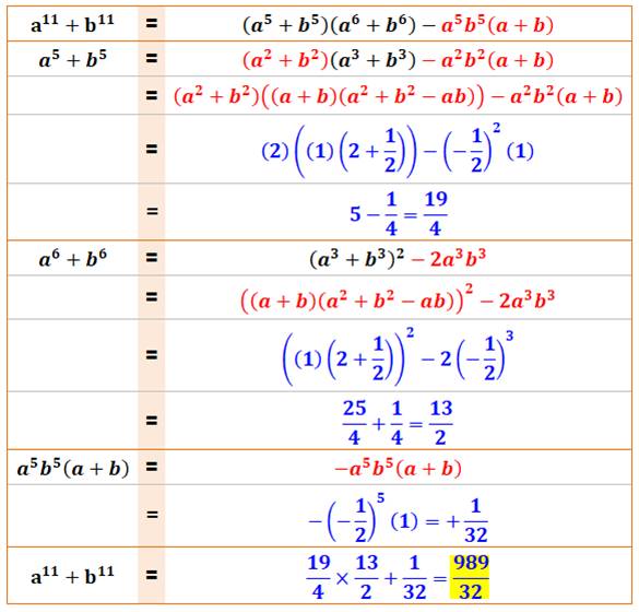
Exemple de calcul de a11 + b11.

 

Sommaire de cette page

>>> Identités en an + bn

>>> Application avec a11 + b11

>>> Calcul avec les identités

Débutants

Nombres

 

Glossaire

Nombres

 

 

Identités en an + bn

haut

Outre les égalités, la colonne de droite est le résultat de deux calculs numériques avec a = 2 b = 5 et en-dessous, le cas particulier où a+b = 1 et  a² + b² = 2 (voir application)

 

133

5/2

 

641

7/2

 

 

 

3157

19/4

 

 

 

15689

13/2

 

78253

71/8

 

390881

97/8

 

1953637

265/16

 

9766649

181/8

 

 

48830173

989/32

 

244144721

1351/32

 

 

 

Application avec a11 + b11

haut

 

Problème

On donne a + b = 1 et a² + b² = 2

Calculer la valeur numérique de a11 + b11 .

 

 

Type de solutions

Une première méthode consiste à calculer a et b  et à les remplacer dans a11 + b11.

Une autre méthode consiste à utiliser les identités et à atteindre progressivement a11 + b11.

 

 

Calcul de a et b

 

 

 

Calcul avec les identités

haut

 

Idée

Piocher dans les identités vues ci-dessus pour progressivement se ramener aux expressions connues:

a + b = 1

a² + b² = 2 et

ab = -1/2

 

Un préalable utile: calcul du produit ab

 

 

 

 

Calcul

En rouge, les expressions dont on connait la valeur.

En bleu, le calcul numérique.

 

Voir Brève 51 – 1008

 

 

D'après Mind Your Decision - Presh Talwalkar

 

 

 

Haut de page (ou double-clic)

 

Retour

*      Identités remarquables

*      calculer x+y connaissant les sommes des carrés et des cubes

Suite

*      Autres identités importantes

*      Degré 7

*      Identité de Ramanujan – Somme des cubes

*      Quelques développements de Taylor

*      Somme des entiers, des carrés, des inverses…

Voir

*      Application aux multiplications

*      Constantes

*      Différences entre puissances

*      Égalités dans les triangles

*      Factorisation selon Fermat

*      Identité de Lagrange

*      Identités trigonométriques

*      Isopérimètre

*      Nombres cubains

*      Pépites

*      Somme

*      Somme de carrés de nombres consécutifs

*      Somme des entiers, des carrés…

*      Tautochronie

*      Théorèmes

Cette page

http://diconombre.fr/Wwwgvmm/Identite/IdanPbn.htm