|
||||||||||||||||||||||||||||||||||||
![]()
|
IDENTITÉS
Spéci Cas de: an – 1 |
|
|
Ce polynôme est toujours
divisible par n – 1.
103 – 1 = 999 = 9 x 111
55 – 1 = 3 124 = 781 |
La factorisation produit un polynôme
somme de puissances
successives.
Si a est une base
de numération, an – 1 est converti en un repdigit de base a – 1. 34 – 1 = 80 = (3 – 1) x
(33 + 32 + 3 + 1) =
2 x 11113 = 22223 |
|
|
|||||||||||||||||||||||||||||||||||||||||||||||||||||||||||||
|
Tableau avec valeur de n puis
factorisation de xn – 1 Exemple
pour n
= 3
=> x3 – 1 = (x – 1) ( x² + x + 1) (le point est
bien le signe multiplier)
|
|||||||||||||||||||||||||||||||||||||||||||||||||||||||||||||
|
|
||
|
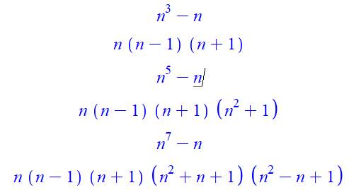
Il s'agit, bien entendu, des
mêmes relations que celles vues ci-dessus, multipliée par n. Intérêt: propriétés de la
différence entre nombre et sa puissance k. Un nombre et ses
puissances sont de même parité. Tous les développements
comprennent les facteurs n (n – 1), deux nombres consécutifs; le produit est
divisible par 2
Un nombre
diffère de sa puissance impaire par un multiple de 6. Tous les développements
comprennent les facteurs (n – 1) n (n + 1), trois nombres consécutifs; le produit
est divisible par 6. Ex: 27 – 3 = 24 = 6
x 4 / 243 – 3 = 240 = 6 x 40 / 2187 – 3 = 2184 = 6 x 364 |
||
|
Pair |
|
|
|
Impair |
|
|
Voir Cubes / Nombres
somme de cubes (Taxicab) / Divisibilité
![]()
|
Retour |
|
|
Suite |
|
|
Voir |
|
|
Cette page |
![]()