NOMBRES - Curiosités, théorie et usages

 

Accueil                           DicoNombre            Rubriques           Nouveautés      Édition du: 05/01/2016

Orientation générale        DicoMot Math          Atlas                   Références                     M'écrire

Barre de recherche          DicoCulture              Index alphabétique                               

     

Botanique

 

Débutants

Général

Phyllotaxie

 

Glossaire

Général

 

Botanique

Végétaux

Feuilles

 

 

INDEX

 

Biologie

 

Sciences

Phyllotaxie

Vocabulaire

Maths

Références

Historique

Arithmétique

Géométrique

Physique

Chimique

Numérique

 

Sommaire de cette page

>>> Mathématiques, modèles numériques

>>> Approche par la simulation

>>> Simulation numérique de modèles physico-biochimique

>>> État de l'art en phyllotaxie en 2007

>>> Bilan

 

 

 

 

Phyllotaxie – Développements

Simulations numériques

 

Principales hypothèses expliquant l'arrangement doré des feuilles ou fleurs et approches mathématiques.

De 1800 à 1950, les chercheurs ont proposés des modèles tentant d'expliquer les lois observées de la phyllotaxie. Plus les études avancent et plus le modèle physico-biochimique se complexifie au point d'avoir besoin de recourir à la simulation numérique sur ordinateurs, et cela pour découvrir leur comportement et connaitre les résultats.

C'est Turing qui est le premier à se lancer. Mais les moyens informatiques de l'époque sont dérisoires au regard de ceux de maintenant.

 

Cette page est faite pour tous ceux qui voudraient toucher du doigt le domaine de la phyllotaxie explicative. Autrement-dit, il s'agit d'une approche simplifiée (simpliste). Toute erreur d'interprétation serait de mon fait.

 

 

Phyllotaxie – Mathématisation, modèles numériques

 

Mathématisation

 

 

 

 

 

 

D'Arcy Thompson (1860-1948) est le premier biomathématicien. En 1917, il publie: On Growth and Form (réédité en 1942)

 

Il prétend que ses prédécesseurs (comme Julius Sachs) ont sous-estimé le rôle de la physique et de la mécanique dans la constitution des formes des organismes vivants. En phyllotaxie, il retrouve la suite de Fibonacci.

Il montre qu'on peut passer d'une forme d'une espèce à la forme d'une espèce proche par certaines transformations géométriques (anamorphose).

 

Il disait:

    Il existe encore une autre manière – c'est à Henri Poincaré que nous la devons – de considérer la fonction des mathématiques, et de bien comprendre pourquoi ses lois et ses méthodes sous-tendent nécessairement la science physique tout entière. Tout phénomène naturel, si simple qu'il paraisse, est en réalité composite, et chaque action, chaque effet visible est en réalité la somme d'un nombre indéfini d'actions sous-jacentes. C'est ici que s'exprime le pouvoir tout particulier des mathématiques: celui de combiner et de généraliser.

Voir Les maths pour l'étude de la phyllotaxie

 

Théorème fondamental de la phyllotaxie

Ce théorème (Adler – 1974) vise à clarifier la confusion due à l'observation d'hélices multiples.

Il donne la relation entre le compte des spirales observées dans un réseau cylindrique et l'angle horizontal entre les points successifs verticalement dans le réseau. Ce théorème indique l'écart entre angles de divergence compatible avec une structure phyllotaxique de type (m,n)

 (Illustration en couleur  par Wolfram).

 

Ci-contre, la représentation d'une cellule dans un réseau. Cette façon de faire, permet de faire des calculs géométriques. Notamment le domaine de Dirichlet: lieu des points du réseau plan les plus proches d'un point donné comparés aux autres. Ce qui pourrait représenter le forme prise par un primordia (Illustration par Roger Jean).

 

Modélisation numérique

La représentation géométrique de la théorie de la diffusion d'un inhibiteur (Schoute) est difficile sinon impossible. Seule, une simulation dynamique peut témoigner de l'action d'inhibition au fur et à mesure de la naissance des primordia. Ces modèles aboutissent à des résultats qui confirment ce que crée la nature, témoignant que les paramètres pris en compte ont toutes les chances d'être les bons.

Veen-Lindenmayer (1978) reprend le modèle géométrique de Van Iterson(1907) et introduit le concept de gradient chimique. Un réel progrès, car ce modèle prend en compte le facteur temps.

Thorney en 1975; Young en 1978; etc.

 

 

 

Phyllotaxie – Approche par la simulation

 

Principes de base de la simulation

Les graines apparaissent à la surface d’un cercle central appelé apex.

Chaque nouvelle graine apparait à la surface de ce cercle à l’endroit le plus dégagé, celui où la distance avec les graines déjà présentes est la plus grande.

Une fois apparues, les graines s’éloignent toutes du centre à la même vitesse qui ne dépend que de la distance au centre.

Ici, sur l'illustration, le motif en spirale est bien reproduit et on trouve le couple (13,21) ce qui correspond bien à la propriété attendue.

 

http://www.abstrax.fr/wp-content/uploads/2011/01/spirale-douady.jpg

 

 

 

Simulation numérique

de modèles physico-biochimiques

Les scientifiques  tentent de donner une explication à cette corrélation magique entre botanique et mathématique.

La question reste ouverte en 2015.

 

Voir  État d'avancement en 2015.

Un modèle géométrique qui tenterait d'expliquer les mouvements au sein du méristème (lieu où s'exerce la croissance par division cellulaire) serait trop succinct.

Alan Turing, célèbre mathématicien s'attaque à ce problème. Il a émis l'hypothèse que chaque primordium émet autour de lui une substance inhibitrice empêchant la formation d'autres primordia à sa périphérie. Hélas son décès laissera ce travail inachevé.

En 1996, Stéphane Douady et Yves Coudier reprennent la simulation de l'apparition des primordia à partir du critère d'Hofmeister. Ils ont mis en évidence que l'angle de divergence dépendait fortement d'un facteur appelé G.

En 1868, Hofmeister remarque que:

Les primordia apparaissent un à un, dans des intervalles réguliers;

Dans la zone de naissance, les primordia se déplacent dans le plus grand espace disponible en évitant ainsi au maximum les primordia existants; et

Les organes existants se déplacent radialement, avec le tissu de croissance.

Ces observations ont conduit les scientifiques à imaginer des modélisations reproduisant ce mode de croissance.

 

Les explications possibles

 

*      Expression de contraintes biophysiques;

*      Expression de gènes différentiateurs; ou

*      Action d'une hormone végétale, l'auxine ou phytohormone.

Seule une modélisation du phénomène dynamique pourrait donner les clés, les paramètres gouvernant la croissance.

 

Cependant, en tenant compte seulement

*      de la dynamique (mouvements, élasticité),

*      des réactions chimiques et

*      d'un phénomène de diffusion de substance chimique,

sans tenir compte

*      des effets électriques ou encore

*      de la structure intime des cellules,

 le modèles atteignent déjà une formidable complexité mathématique.

 

Compte tenu des choix nécessaires, aucune modélisation jusqu'à présent n'a donné entière satisfaction. Elles n'expliquent pas tous les cas et surtout les cas d'irrégularités. Pourtant, chacune conduisent à l'organisation "en or" observée sur les plantes.

De nombreuses tentatives de modélisations existent.

Au niveau des méristèmes, il y a plusieurs couches (L1, L2 et L3), chacune avec des comportements différents.

Aucune explication biologique précise ne permet de conclure sur la manière dont se forme la configuration spiralée.

Au moins quatre modèles ont été émis, qui se complètent plus ou moins:

*        Système de réaction-diffusion

*        Mécanisme activateur-inhibiteur

*        ?

*      Tunica –corpus expliquant la sortie apicale (en bosse) du méristème

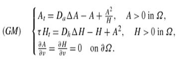
Un exemple: le modèle de Gierer et Meinhardt (GM – ci-contre) du type activateur-inhibiteur est le plus apprécié des modèles de formation des formes biologiques. Il fait appel aux dérivées partielles (A et H sont les concentrations de l'activateur et de l'inhibiteur).

La mise en place des équations et leur résolution sont du niveau post-bac.

Les solutions ne sont généralement pas analytiques (pas de fonctions explicites). Le recours à l'analyse par ordinateur s'impose.

Idée de la complexité des modélisations

Un autre type de formulation

 

 

État de l'art en Phyllotaxie

 

Actuellement, ce qui est le plus important, c'est de comprendre comment les cellules du méristème (MAC) communiquent pour déclencher celles qui vont créer  le nouveau primordium.

 

Les trois théories indiquées ci-contre sont, en fait, complémentaires. Elles supposent que le point de création d'une nouvelle feuille est déterminé par la diffusion chimique d'un champ de croissance  qui peut être inducteur ou inhibiteur.

 

Il n'existe aucune modélisation physiologique confirmée par l'expérience qui soit universellement acceptée par les chercheurs.

 

Trois écoles:

*      La théorie des champs d'inhibition basée sur la diffusion de morphogènes dans le méristème apical (MAC). Les gradients induits peuvent provoquer l'exclusion locale (inhibition latérale) de la création d'une feuille, induisant la création de feuille à des endroits plus éloignés.

 

*      La théorie biophysique des champs ondulants: là où les feuilles doivent naitre, des organes (microfibrilles) sont réorientés. La naissance des organes (feuilles) sont dues à des champs de stress biophysiques.

 

*    La théorie de la formation spiralée (école française): les formes en phyllotaxie résultent d'une activité de partition des zones de formation des feuilles arrangées en spirales autour du méristème (MAC). Le long de ces hélices, un primordium de feuille donne naissance à un nouveau primordium par induction homéogénétique (induction à distance de la transformation de cellules).

Selon  Handbook of Plant Science – Volume 2 – Page 102 – Ediror Keith Roberts – 2007 – 1300 pages

 

 

 

Bilan

Les simulations de modèles physico-chimiques sont concordantes avec une majorité des caractéristiques de la structure des plantes, notamment pour les parastiques en nombres de Fibonacci.

Avec le développement de la puissance de calcul des ordinateurs, les modèles peuvent être de plus en plus sophistiqués et, désormais, ils tiennent compte d'un grand nombre de paramètres physico-biochimiques.

Néanmoins, les chercheurs sont toujours à la recherche de la théorie unique qui concilierait toutes les hypothèses crédibles connues actuellement.

 

 

 

 

Retour

*   Phyllotaxie – Introduction

Voir

*  Atomes

*  Carbone

*  Chlorophylle et magnésium

*  Dualité

*  Éléments chimiques

*  Particules

*  Respiration humaine

*  Formation de l'oxygène

*  BiologieIndex

Sites

*  Voir références

*  Le destin des formalismes: à propos de la forme des plantes – Pratiques et épistémologies des modèles face à l'ordinateur – Franck Varenne – 2005 – 837 pages – Pour ceux qui voudraient connaître toute l'histoire détaillée de l'aventure de la modélisation

Cette page

http://diconombre.fr/aScience/Botanique/PhylNume.htm