NOMBRES - Curiosités, théorie et usages

 

Accueil                           DicoNombre            Rubriques           Nouveautés      Édition du: 05/01/2016

Orientation générale        DicoMot Math          Atlas                   Références                     M'écrire

Barre de recherche          DicoCulture              Index alphabétique                               

     

Botanique

 

Débutants

Général

Phyllotaxie

 

Glossaire

Général

 

Botanique

Végétaux

Feuilles

 

 

INDEX

 

Biologie

 

Sciences

Phyllotaxie

Vocabulaire

Maths

Références

Historique

Arithmétique

Géométrique

Physique

Chimique

Numérique

 

Sommaire de cette page

 

>>> Interprétation physiologique chimique

>>> Modalisation de Turing

>>> Bilan

 

 

 

 

Phyllotaxie – Développements

Interprétation physiologique, chimique

 

Principales hypothèses expliquant l'arrangement doré des feuilles ou fleurs et approches mathématiques.

Les modèles physiques ne donnent pas complète satisfaction. Les chercheurs imaginent l'action de substance biochimiques.

 

Cette page est faite pour tous ceux qui voudraient toucher du doigt le domaine de la phyllotaxie explicative. Autrement-dit, il s'agit d'une approche simplifiée (simpliste). Toute erreur d'interprétation serait de mon fait.

 

 

Phyllotaxie – Interprétations  chimique

Diffusion d'un inhibiteur

Hypothèse d'inhibition de Shoute (1913).

Le méristème apical, et chacun des primordia en croissance, produit une substance chimique inhibitrice.

Celle-ci, en se diffusant, empêche la formation de nouveaux primordia dans la zone proche où la concentration de l'inhibiteur dépasse un certain seuil.

Un nouveau primordium se développe dès qu'en un point la concentration descend en dessous du seuil (Illustration de Shoute montrant le principe de croissance; Shoute sait que la représentation géométrique n'est pas réaliste).

Richards(1951) et Schwabell (1969).

Diffusion-réaction

Théorie morphogénétique de diffusion-réaction: les substances chimiques en jeu agissent favorisant ou non la croissance selon leur concentration et leur délai d'action, créant un champ de gradients morphogénétiques.

Turing (1952).

Mutilation

Expérience de la fougère coupée: une coupure est pratiquée de part et d'autre d'un primordium. Libéré de l'influence de son voisinage, il se développe plus vite. Wardlaw (1949).

Expérience contestée par Maksymowych en 1977 sous prétexte de possibles effets collatéraux dus à la mutilation des cellules.

Répulsion chimique

Rôle de l'auxine dans le développement du méristème et la production foliaire. Son accumulation est nécessaire pour initier la formation d’un organe. C. Kuhlemeier (vers 2005).

L'auxine est une hormone végétale, facteur de croissance, découverte en 1937. C'est un agent reconnu pour contrôler les réactions des plantes à la lumière, la gravité, à l'hygrométrie, la nervation des feuilles et … les structures phyllotaxiques.

Il aura fallu attendre la fin du XXe siècle pour que l'auxine soit reconnue comme à l'origine de la formation des feuilles et des fleurs au niveau du méristème apical (MAC)

Synthèse

"Explications qui s'inspirent de la biochimie : les organes (cellules, primordia, feuilles ou fleurs, fibres) ont une croissance orientée, influencée par les cellules ou les organes voisin(e)s, par contact direct, selon un "langage" chimique codé." Selon JPM. Chabert

 

 

Modélisation de Turing

 

Alan Turing publie en 1952: The Chemical basis of Morphogenesis.

Une théorie chimique semblable à celle de Schoute (1913).

 

 

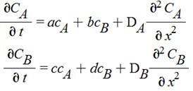
Théorie morphogénétique de diffusion-réaction: les substances chimiques en jeu agissent favorisant ou non la croissance selon leur concentration et leur délai d'action, créant un champ de gradients morphogénétiques. Ces modèles, pourtant simplifiés à l'extrême, font appel à des équations différentielles très difficile à résoudre analytiquement, sauf à se mettre dans des cas particuliers.

 

Exemple: ces deux équations différentielles prennent en compte la loi de diffusion de Fick, la production et la dégradation de l'inhibiteur, le transport dans la direction de l'axe des y. Les concentrations sont représentées par DA et DB.

 

Résultats: ce modèle mathématique témoigne bien de l'apparition des structures spiralées. Turing est le premier à ramener les lois de description des formes botaniques  de croissance (biologie) aux règles d'évolution des systèmes dynamiques (physique mathématique). Ce sont des jeux de contraintes qui régissent l'évolution du mouvement.

 

 

Modéle mathématique et ordinateur: Turing, co-fondateur de l'informatique moderne, est le premier à faire tourner son modèle sur ordinateur.

(À ce titre, il devrait figurer dans le chapitre suivant)

 

 

Exemples de paramètres pris en compte:

*      Position et vitesses selon les lois de Newton

*      Prise en compte de facteurs élastqiues

*      Effet de la presion osmotique

*      Réactions chimiques

*      Effet de diffusion des produits chimiques

*      Un effet activateur à courte portée

*      Un effet inhibiteur à longue portée

 

 

 

Bilan

Avec la recherche de causes physiologiques, les chercheurs essaient de trouver la raison profonde d'une phyllotaxie si régulière.

La vision arithmétique comme la vision géométriques se contentaient de constater, de caractériser. Désormais on tente d'expliquer.

En tout les cas, les chercheurs constatent la complexité des phénomènes et doivent se résoudre à inventer des modèles sophistiqués dont les résultats ne pourront être constatés qu'à l'issue de calculs sur ordinateurs.

 

 

 

 

 

 

Suite

*   Phyllotaxie – Modélisation numérique

Voir

*  Atomes

*  Carbone

*  Chlorophylle et magnésium

*  Dualité

*  Éléments chimiques

*  Particules

*  Respiration humaine

*  Formation de l'oxygène

*  BiologieIndex

Sites

*   Voir références

Cette page

http://diconombre.fr/aScience/Botanique/PhylChim.htm