NOMBRES – Curiosités, Théorie et Usages

 

Accueil                           DicoNombre            Rubriques           Nouveautés      Édition du: 01/04/2023

Orientation générale        DicoMot Math          Atlas                   Actualités                       M'écrire

Barre de recherche          DicoCulture              Index alphabétique        Références      Brèves de Maths                        

     

NOMBRES

 

Débutants

Général

Combinatoire

 

Glossaire

Général

 

 

INDEX

 

Noms de nombres

 

Dénombrement

Graphe

Topologie

Logique

Jeux

Bell

Bernoulli

Motzkin

Catalan

Genocchi

 

Sommaire de cette page

>>> Définition et exemples

>>> Programmation

>>> Interprétation – Chemin arithmétique

>>> Interprétation – Cordes pendues

>>> Interprétation – Cordes du cercle

>>> Propriétés

 

Faites un double-clic pour un retour en haut de page

 

 

 

Nombres de MOTZKIN

 

Nombres utilisés en dénombrement, comme les nombres de Catalan. Nommé ainsi d'après Théodore Motzkin. Applications en combinatoire et en théorie des nombres.

 

 

Définition et exemples

 

Un nombre de Motzkin d'ordre n  est définit par la relation de récurrence:

 

 

Soit les nombres de Motzkin pour n de 0 à 50.

 

1, 1, 2, 4, 9, 21, 51, 127, 323, 835, 2188, 5798, 15511, 41835, 113634, 310572, 853467, 2356779, 6536382, 18199284, 50852019, 142547559, 400763223, 1129760415, 3192727797, 9043402501, 25669818476, 73007772802, 208023278209, 593742784829, 1697385471211, 4859761676391, 13933569346707, 40002464776083, 114988706524270, 330931069469828, 953467954114363, 2750016719520991, 7939655757745265, 22944749046030949, 66368199913921497, 192137918101841817, 556704809728838604, 1614282136160911722, 4684478925507420069, 13603677110519480289, 39532221379621112004, 114956499435014161638, 334496473194459009429, 973899740488107474693, 2837208756709314025578 = 2,83 1021 = M50

 

En rouge les trois nombres premiers de Motzkin jusqu'à n = 10 000.

 

 

 

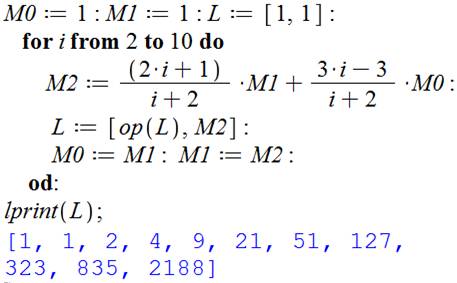
Programmation (Maple)

 

Exemple simple de programmation

avec liste et mise à jour des paramètres par décalage.

 

 

 

 

 

Initialisation, y compris une liste L (1,1).

Boucle en commençant par 2; les deux premières valeurs sont connues (1 et 1).

Calcul de la valeur de M2 (en fait Mn)

M2 est jouté à la liste existante L.

Décalage d'un cran pour les deux valeurs précédentes.

Fin de boucle (od)

 

Impression de la liste L.

 

Résultat de l'impression. 

Voir Programmation

 

Interprétation – Chemin arithmétique

 

Règle du jeu

Un insecte part du point 0 pour rejoindre le point M situé au même niveau et à une distance n. Son parcours symbolise le nombre Mn.

 

Les capacités de l'insecte sont limitées. Il ne peut monter ou descendre que d'un cran à la fois.

Mn est la quantité de possibilités offertes à l'insecte.

 

Illustration

 

Notation

M2 = (hh), (md)

M3 = (hhh), (hmd), (mdh), (mhd)

M4 = (hhhh), (mdhh), (hmdh), (hhmd),

        (mhdh), (hmhd), (mhhd), (mdmd), (mmdd).

 

 

 

 

Interprétation – Cordes pendues

 

Manière d'arranger quatre cordes
 

 

 

 

Interprétation – Cordes du cercle

 

Manières de tracer des cordes

entre n points sans qu'elles se coupent ni se touchent.

Dans le décompte, le cercle sans corde compte pour 1.

 

2 points: 1 seule corde:

              M2 = 1 + 1 = 2

3 points: 3 cordes:

              M3 = 3 + 1 = 4

4 points: 6 cordes seules

             et 2 paires de cordes:

              M4 = 6 + 2 + 1 = 9

5 points: 10 cordes seules

                  5 paires courtes

                  5 paires mixtes

              M5 = 10 + 5 + 5 + 1 = 21

 

 

 

 

 

 

Note: le premier dessin de M5 aurait dû être décomposé en dix dessins autonomes pour monter que les cordres 1, 2, 3 … ne se coupent pas, et ne se touchent pas. Idem pour le premier dessin pour M4.

 

Voir Partage du cercle avec des cordes – Cas général

 

 

Propriétés

Formule

 

 

 

Catalan

 

 

Somme du produit du coefficient binomial et du nombre de Catalan.

 

 

 

 

Suite

*         Compter les segments entre n points

*         DénombrementIndex

Voir

*         Partage du cercle

DicoNombre

*         Nombre 2

*         Nombre 127

Cette page

http://diconombre.fr/aNombre/TYPDENOM/Motzkin.htm