NOMBRES - Curiosités, théorie et usages

 

Accueil                           DicoNombre            Rubriques           Nouveautés      Édition du: 07/05/2021

Orientation générale        DicoMot Math          Atlas                   Actualités                       M'écrire

Barre de recherche          DicoCulture              Index alphabétique        Références      Brèves de Maths

       

Chiffres

 

Débutants

Nombres

Chiffres et opérations

 

Glossaire

Chiffres

 

INDEX

Narcissiques

Somme-Produit Ch

Formes et motifs

Nombres en chiffres

Chiffres

Types de nombres

Jeux et énigmes

 

Sommes des chiffres

 Produit des chiffres

 

Somme = Produit

Somme + Produit

Somme x Produit

Sch(pairs) = Scc(impairs)

Sch(n) = Sch(facteurs)

Ch(n) ≠ Ch(nk)

 

Sommaire de cette page

>>> Approche

>>> Records

>>> Programmation

>>> Liste – Carré, Cubes et P4

>>> Liste – P6 et P7

>>> Liste – P8 et +

 

 

 

 

 

 

Chiffres des nombres

et de leurs puissances

 

 

Quels sont les nombres qui ne partagent pas les mêmes chiffres que leurs puissances?

 

Exemples

        17² = 289

        244 = 331 776

22 2248 =  59 508 338 830 857 933 650 783 316 083 736 576

Aucun chiffre en commun.

 

Voir Table des nombres ayant la même somme des chiffres de leurs puissances

 

 

 

Approche

 

Général

Parmi les 16 puissances Nk présentées dans le tableau, seules la moitié (8) sont des nombres dont les chiffres sont différents de ceux du nombre N.

 

Cas des nombres en 5 et en 0

Le nombre 5 à une puissance quelconque se termine toujours par un 5. C'est le cas pour tous les nombres se terminant par 5. Même chose pour les nombres terminés par 0.

 

 

Tableau des puissances  Nk

 

 

Cas des puissances 5 et 9

La page sur les unités des puissances montre que, avec les puissances 5 et 9, les unités sont celles du nombre de départ.

Cette remarque tient pour toutes les puissances en 5 + 4k: 5, 9, 13, 17, 21 …

 

Exemples

 

75 =          16 807

79 =  40 353 607

 

Records

Il est naturel de penser qu'avec un grand nombre, la probabilité d'avoir des chiffres en commun avec sa puissance k est grande et même improbable.

 

Le record (testé jusqu'à 2 millions)

 

22 2248 =  59 508 338 830 857 933 650 783 316 083 736 576
= 5,9 1034

 

Avec les carrés, les élus sont nombreux: 31 nombres jusqu'à 100.

Voir liste jusqu'à n = 1000

 

La liste ci-contre, établie pour N jusqu'à 20 millions, ne montre les valeurs de N que lorsque N passe à la dizaine supérieure.

N, N²

2, 4

4, 16

17, 289

33, 1089

144, 20736

333, 110889

1447, 2093809

3249, 10556001

14144, 200052736

32272, 1041481984

141494, 20020552036

322599, 104070114801

1414414, 2000566963396

3226362, 10409411755044

14144134, 200056526609956

 

 

 

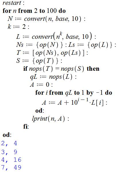
Programmation – Cas de la recherche des carrés

 

Initialisation (toutes les mémoires à zéro).

 

Recherche entre 2 et 100.

 

N est la liste des chiffres de n. Effet de la conversion en base 10 de n.

k = 2 pour la recherche sur les carrés.

 

L est la liste des chiffres de la puissance k de n.

Ns et Ls sont les listes des chiffres uniques de n (en N) et de la puissance (en L) , et cela sous l'effet de la demande d'un ensemble  avec les accolades { et }.

T est la concaténation de ces deux listes, et S est la même liste réduite aux chiffres uniques.

Si ces deux listes contiennent la même quantité de chiffres (nops), imprimer (lprint) le nombre et le carré (A) retenu.

 

La partie commençant par A = 0 est nécessaire pour imprimer un nombre dans sa forme décimale normale. En effet, la liste L contient les chiffres dans l'ordre inverse. On les remet à l'endroit en les pondérant de la puissance de 10 due à son rang.

 

En bleu, le début de la liste créée par le programme. Le nombre 2 et son sont retenus; de même que 3 et son carré 9; etc.

Suite ci-dessous

 

Voir ProgrammationIndex  

 

 

 

 

 

Liste des nombres n'ayant aucun chiffre en commun avec leurs puissances

En rouge les repdigits

 

Carré

Cube

P4

1 000

10 000

10 000

2, 4

3, 9

4, 16

7, 49

8, 64

9, 81

17, 289

18, 324

22, 484

24, 576

29, 841

33, 1089

34, 1156

38, 1444

39, 1521

44, 1936

47, 2209

53, 2809

54, 2916

57, 3249

58, 3364

59, 3481

62, 3844

67, 4489

72, 5184

77, 5929

79, 6241

84, 7056

88, 7744

92, 8464

94, 8836

144, 20736

157, 24649

158, 24964

173, 29929

187, 34969

188, 35344

192, 36864

194, 37636

209, 43681

212, 44944

224, 50176

237, 56169

238, 56644

244, 59536

247, 61009

253, 64009

257, 66049

259, 67081

307, 94249

313, 97969

314, 98596

333, 110889

334, 111556

338, 114244

349, 121801

353, 124609

359, 128881

377, 142129

388, 150544

404, 163216

409, 167281

424, 179776

437, 190969

444, 197136

447, 199809

449, 201601

454, 206116

459, 210681

467, 218089

533, 284089

547, 299209

552, 304704

554, 306916

557, 310249

558, 311364

559, 312481

567, 321489

577, 332929

612, 374544

638, 407044

659, 434281

667, 444889

672, 451584

673, 452929

677, 458329

688, 473344

689, 474721

707, 499849

712, 506944

729, 531441

738, 544644

739, 546121

744, 553536

747, 558009

749, 561001

767, 588289

772, 595984

779, 606841

787, 619369

788, 620944

789, 622521

799, 638401

807, 651249

812, 659344

813, 660969

814, 662596

834, 695556

838, 702244

844, 712336

853, 727609

854, 729316

858, 736164

862, 743044

868, 753424

904, 817216

909, 826281

922, 850084

924, 853776

929, 863041

939, 881721

2, 8

3, 27

7, 343

8, 512

22, 10648

27, 19683

43, 79507

47, 103823

48, 110592

52, 140608

53, 148877

63, 250047

68, 314432

77, 456533

92, 778688

157, 3869893

172, 5088448

177, 5545233

187, 6539203

188, 6644672

192, 7077888

222, 10941048

223, 11089567

252, 16003008

263, 18191447

303, 27818127

378, 54010152

408, 67917312

423, 75686967

442, 86350888

458, 96071912

468, 102503232

477, 108531333

478, 109215352

487, 115501303

527, 146363183

552, 168196608

558, 173741112

577, 192100033

587, 202262003

588, 203297472

608, 224755712

648, 272097792

692, 331373888

707, 353393243

772, 460099648

808, 527514112

818, 547343432

823, 557441767

843, 599077107

888, 700227072

918, 773620632

922, 783777448

1448, 3036027392

1457, 3092990993

1552, 3738308608

1587, 3996969003

1592, 4034866688

1813, 5959274797

2222, 10970645048

2522, 16041140648

3008, 27216576512

3532, 44061784768

3663, 49148555247

3953, 61770404177

4047, 66282611823

4113, 69578670897

4342, 81859569688

4432, 87056109568

4542, 93700388088

4657, 100999381393

4732, 105958111168

5442, 161166810888

5522, 168379496648

5523, 168470990667

5558, 171694201112

5592, 174864434688

5657, 181033328393

5692, 184414333888

5777, 192800032433

5848, 199996360192

5887, 204024399103

6058, 222324747112

6378, 259449922152

6603, 287888218227

6653, 294477807077

6777, 311252219433

6778, 311390022952

7077, 354443965533

7147, 365065965523

7157, 366600498893

7177, 369682454233

7658, 449103134312

7887, 490609013103

7992, 510465535488

8008, 513537536512

8287, 569104495903

8313, 574477920297

8338, 579676470472

8388, 590167467072

8488, 611527670272

8577, 630966396033

9192, 776658405888

9343, 81556587660

 

2, 16

3, 81

4, 256

7, 2401

8, 4096

9, 6561

24, 331776

27, 531441

28, 614656

32, 1048576

33, 1185921

42, 3111696

52, 7311616

53, 7890481

58, 11316496

59, 12117361

67, 20151121

77, 35153041

88, 59969536

89, 62742241

93, 74805201

202, 1664966416

203, 1698181681

258, 4430766096

284, 6505390336

303, 8428892481

324, 11019960576

329, 11716114081

377, 20200652641

383, 21517662721

422, 31713911056

669, 200310848721

818, 447726927376

832, 479174066176

843, 505022001201

878, 594262141456

882, 605165749776

887, 619005459361

949, 811082161201

2027, 16881653995441

2042, 17386931815696

2673, 51050010415041

3144, 97708005789696

3222, 107771057488656

3253, 111978914476081

3302, 118879857465616

3308, 119746272522496

3737, 195025945198561

3773, 202650285909841

3953, 244178407711681

3979, 250666188018481

3983, 251675665475521

4779, 521612658223281

5353, 821086616942881

5669, 1032822827028721

5888, 1201907943079936

5889, 1202724664663041

7303, 2844495182448481

7708, 3529935939133696

7747, 3601921336288081

7777, 3658039542829441

7993, 4081682805026401

8009, 4114463127334561

8277, 4693445949195441

8308, 4764155754762496

8777, 5934503542561441

8872, 6195639394963456

8888, 6240453963943936

9059, 6734743171761361

9249, 7317776107088001

9332, 7584010410578176

 

 

 

P6

1 million

2, 64

3, 729

8, 262144

9, 531441

13, 4826809

14, 7529536

22, 113379904

33, 1291467969

44, 7256313856

52, 19770609664

72, 139314069504

77, 208422380089

87, 433626201009

92, 606355001344

222, 119706531338304

322, 1114641555517504

622, 57908499008855104

7737, 214504091852545821889809

7878, 239053914054595145623104

30302, 774154714896544166667417664

44449, 7712087862231603625058020801

72777, 148581553656300331996955013489

844844, 363629530013266201512325739310125056

 

P7

1 million

3, 2187

7, 823543

8, 2097152

33, 42618442977

43, 271818611107

77, 16048523266853

93, 60170087060757

272, 110149448801189888

332, 444597059414048768

662, 55719335194973979008

7757, 1689882622864926680809344293

31333, 29649259480984782858578077020877

                  

 

P8

2 millions

3, 6561

4, 65536

8, 16777216

9, 43046721

22, 54875873536

33, 1406408618241

43, 11688200277601

54, 72301961339136

59, 146830437604321

73, 806460091894081

222, 5899616690476974336

233, 8686550888106661441

353, 241100240228887100161

712, 66045000696445844586496

777, 132852016394056063004481

22224, 59508338830857933650783316083736576

 

P10

1 million

3, 59049

9, 3486784401

18, 3570467226624

877, 269150960295439095031490496649

5757, 39991002806361029603330301048290190249

 

 

P11

P12

3, 177147

12, 743008370688

 

2, 4096

4, 16777216

33, 1667889514952984961

 

P14

P15

 

 

 

 

 

 

Suite

*    Voir liste en en-tête

*    Somme-Produit des chiffresIndex

*    Somme des chiffres de nombres portés à une puissance

*    Nombres à barres en lettres

*    Nombres amicaux et sociables

*    Table des nombres ayant la même somme des chiffres de leurs puissances

Voir

*    Allumettes et nombres

*    Bases de numération

*   Chiffres à barre – Comparaison

*    Chiffres en lettres

*    Nombres en toutes lettres

*    Numération - historique

*    Pannumérique

*    Partition des nombres en somme de puissance

*    Unité des puissances

DicoNombre

*    Nombre 3

*    Nombre 8

*    Nombre 9

*    Nombre 33

*    Nombre 712

*    Nombre 777

*    Nombre 22 223

*    Nombre 31 333

*      Nombre 844 844

Cette page

http://villemin.gerard.free.fr/aNombre/MOTIF/Chiffres/ChifPuis.htm