NOMBRES - Curiosités, théorie et usages

 

Accueil                           DicoNombre            Rubriques           Nouveautés      Édition du: 29/11/2020

Orientation générale        DicoMot Math          Atlas                   Actualités                       M'écrire

Barre de recherche          DicoCulture              Index alphabétique        Références      Brèves de Maths

      

Analyse

 

Débutants

Général

TRIGONOMÉTRIE

 

Glossaire

Général

 

 

INDEX

 

Trigonométrie

 

Analyse

 

Débutant

Introduction

Angles

Valeurs

Formules

Calculs

Pi / 5 = 36°

Cosécante

Cours première

Euler–Moivre

Pi / n

Linéarisation

Pi / 8 = 22,5°

Pi / 9

 

Sommaire de cette page

>>> Cosinus Pi / 5

>>> Sinus      Pi / 5

>>> Cas de    Pi / 7

>>> Relations particulières

>>> Bilan

>>> Relations additives et multiplicative avec kPi/n – Table

 

 

 

 

 

Trigonométrie  de Pi / n

Calcul de:     

 

Nous allons donner la recette de calcul basée sur l'utilisation du triangle de Pascal. Le calcul est vite limité; par contre, cette méthode permet de relever quelques relations entre les fonctions trigonométriques de ces angles.

Voir  Angles en Pi/n – Table des valeurs trigonométriques

 

 

 

Approche avec cos(Pi/5)

Triangle de Pascal jusqu'à la cinquième ligne (car n = 5).

 

Nous nous intéressons à la diagonale montante: 1, 3, 1

 

 

Note: on se souvient que la somme des nombres de telles diagonales est un nombre de Fibonacci.

 

Équation avec ces coefficients et en alternant les signes.

x² – 3x + 1 = 0

Racines de cette équation du second degré.

 

D = b² – 4ac = 9 – 4x1x1= 5

 

On sait que ces racines correspondent à 4 cos² de pi/5 et 2 pi / 5.

 

 

Soit les lignes trigonométriques

 

Recherche de carré pour éliminer la racine emboitée (anglais: nested)

Résultats
Phi est le nombre d'or

 

 

 

 

Suite pour sin (Pi/5)

Relation entre sinus et cosinus

En remplaçant

Résultat
Multiplication par 2 sous le radical pour sortir le dénominateur

 

Ici, impossible de supprimer le radical, comme pour le cosinus.

 

 

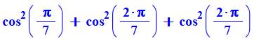
Cas de Pi /7

Triangle de Pascal jusqu'à la septième ligne (car n = 7).

Nous nous intéressons à la diagonale montante: 1, 5, 6, 1

 

 

 

Équation avec ces coefficients et en alternant les signes.

1x35x2 + 6x – 1 = 0

Racines de cette équation du troisième degré

Très complexe au sens mathématique et au sens propre.

Impossible d'en tirer des expressions avec radicaux

 

 

 

Seule possibilité, revenir a des expressions trigonométriques comportant des arcs tangentes.

 

 

Ces racines sont liées au cosinus carré.

 

Formule générale

 

 

Bien compliqué pour en arriver à ces résultats!

 

 

 

Avec 2Pi / 7 (pour info)**

Source: Théorie de Galois – Université Lyon I

 

 

 

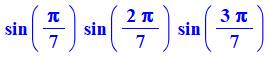
Relations particulières

 

Nous avons vu que le triangle de Pascal permet d'écrire une équation dont les racines (xk) sont liées au cosinus des angles.

Revenons à l'exemple avec n = 7.

L'équation est donnée par la diagonale montante:

 

x35x2 + 6x – 1 = 0

 

Trois racines.

 

 

 

La théorie des racines des équations montre que ===>

 

On a fait passer le coefficient 4 à droite.

Pour le produit, il est possible de prendre la racine carrée.

 

Le coefficient du deuxième monôme (–5) est égal à moins la somme des racines:

 

 

Le coefficient du dernier monôme (–1) est égal au produit des racines au signe près: plus si le degré est pair et moins s'il est impair.

 

 

Autre exemple avec n = 10

 

x4 – 8x3 + 21x2 – 20x + 5 = 0

 

Quatre racines.

 

 

 

 

Voir Remarques sur les angles en Pi/7

 

 

Bilan

Nous notons l'extraordinaire puissance du triangle de Pascal à décrire les cosinus des angles en Pi/n.

Malheureusement, les équations sont vite d'un degré tel que le calcul des racines est très complexe.

Consolation: relations entre la somme des angles et entre les produits.  

 

Relations additives et multiplicative avec k . Pi/n

n

Valeur

Frac.

Formule

Formule développée

5

0,75

 

0,25

6

1

1

 

0,433012702…

7

1,25

 

0,125

 

0,330718914…

8

1,5

 

0,25

9

1,5

 

0,125

10

2

2

 

0,139754248…

11

2,25

 

0,03125

 

0,103644524…

 

3,316624790…

12

2,5

 

1

1

 

0,25

 

Voir Table des valeurs trigonométriques de ces angles

Il existe bien d'autres relations. Voir le site encyclopédique de Wolfram MathWorld

 

 

 

 

Bases

*    Trigonométrie – Débutant

*    Trigonométrie – Tables

*    Trigonométrie – Formulaire, identités, relations

Voir

*    Angles

*   Angles en Pi/n – Table des valeurs trigonométriques

*    Faire le tour du cercle (relations de base)

*    Heptagone et Pi/7

*    Ennéagone et Pi/9

*    Sinus et aire du triangle isocèle

*    Calculs en trigonométrie (simples)

*    Calculs en trigonométrie (avancés)

Aussi

*    Triangle

*    Pentagone

*    Identités remarquables

Sites

*    Table de lignes trigonométriques exactes – Wikipédia

*    Comment calculer les nombres réels cos(pi/n) grâce au triangle  de Pascal – Gecif 

*    Trigonometry Angles Pi/7 – MathWorld

Cette page

http://villemin.gerard.free.fr/aMaths/Trigonom/aaaBases/PisurN.htm