|
|||||||||||||||||||||||||||||||||||||
![]()
|
NOMBRES RICHES Les entiers se décomposent
en facteurs, chacun porté à une puissance.
Si ces puissances sont grandes, le nombre est riche. |
Voir
Nombres plénipotents
|
|
|
|
1024 = 210 ; 531 441 = 312
; 30517578125 = 515 …
3 888 = 24 x 35 ; 7 938 000
= 24 x 34 x 53 x 72
|
|
|
|
||
|
|
4
= 22 12
= 22 x 3 90
= 2 x 32 x 5 540 = 22 x 33 x 5 |
|
|
|
3 888 = 24 x 35 3 888 = |
|
|
|
Rad
(3 888) = 2 x 3 = 6 3
888 = |
|
|
|
log (3 888) =
|
|
|
|
|
|
|
Richesse d'un
nombre: puissance telle que le nombre est égal au radical élevé à cette
puissance. |
|
|
|
|
|
|
Bilan
|
|
|
|
|
|
|
|

Voir
Tables – Index

![]()
Programmation – Présentation des deux méthodes
|
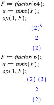
Comment trouver
les facteurs d'un nombre, calculer son radical et évaluer sa richesse? Deux
manières de s'y prendre sont présentées.
La seconde est
organisée pour calculer ces paramètres sur tous les nombres de 1 à 100. La programmation
utilise le logiciel Maple. |
Voir Extraction des facteurs d'un
nombre et de son plus grand facteur
|
|
||
|
|
|
|
|
(comme exercice de programmation avec des listes) – Explications liminaires |
|
|
|
Isoler les facteurs
|
|
|
|
Extraire les facteurs
|
|
|
|
Cas des puissances pures
|
|
|
|
Programmation
– Programme
complet |
|
|
|
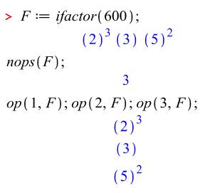
with(numtheory)
|
q est la quantité des
facteurs.
Extraction en trois fois du
nombre exprimant le facteur (cf. ci-dessus).
Calcul de la richesse (ratio
des logarithmes) selon la définition.
Impression des résultats de
calcul.
|
|
Voir
Programmation / Manipulation des listes
![]()
|
Suite |
|
|
Voir |
|
|
Cette page |
![]()