Accueil

Orientation générale

Barre de recherche

DicoNombre

DicoMot Math

DicoCulture

Atlas des maths

Rubriques

Index alphabétique

Nouveautés

Actualités

Références

Édition du: 07/12/2024

M'écrire

Brèves de Maths

 

INDEX

 

Géométrie

Énigmes

Défis viraux

Jeux et énigmes

Problèmes – Défis  

INDEX

Angles et cercle

Deux demi-cercles

Nappe sur table

Quatre cercles et carré

Carré en 8, 10

Carré oblique

Carré et triangle équil.

Défis divers

Cercle et demi-cercle

Trois cercles tangents

Triangles dans triangle

Triangle dans carré

Carré divisé

Deux carrés barrés

 

 

Deux carrés barrés

 

Deux carrés et une oblique dans diverses situations. Solution simple mais qui exige une petite gymnastique calculatoire.

 

 

Sommaire de cette page

>>> Deux carrés identiques

>>> Deux carrés différents

>>> Deux carrés différents et aires double

 

Débutants

Géométrie

 

Glossaire

Géométrie

 

 

Deux carrés identiques

haut

 

Construction

Deux carrés identiques et adjacents.

La grande diagonale entre deux sommets opposés (AE).

Calculer l'aire du trapèze rose et celle du triangle rose en fonction de a et b. application numérique.

 

Piste

Le point B est le milieu du segment AC.

Les triangles ABH et AEF son semblables dans le rapport 1/2 et BH = 1/2 EF.

L'aire du triangle ABH vaut ½ 6 ×3 = 9

Aire du trapèze AHCB: 6 – 9 = 27 cm²

Aire du tringle HFG: ½ 6 ×3 = 9 cm²

 

Calcul direct

Aire du trapèze: 6 × (6 + 3) / 2 = 27

Aire du triangle: ½ × 6 × 3 = 9
     

 

Calcul littéral et numérique (utile pour analyser les cas suivants)

  

Voir Brève 57-1126

 

 

Deux carrés différents

haut

 

Construction

Deux carrés adjacents de 6 cm et 9 cm de côté.

La grande diagonale entre deux sommets opposés (AF).

Calculer l'aire du trapèze rose et celle du triangle rose en fonction de a et b. application numérique.

 

Piste

Comme ci-dessus, la méthode consiste à s'intéresser aux triangles semblables ABH et AEF.

 



 

 

 

Calcul littéral et numérique

      

 

Deux carrés différents et aires double

haut

 

Construction

Deux carrés adjacents de 6 cm et b cm de côté.

La grande diagonale entre deux sommets opposés (AF).

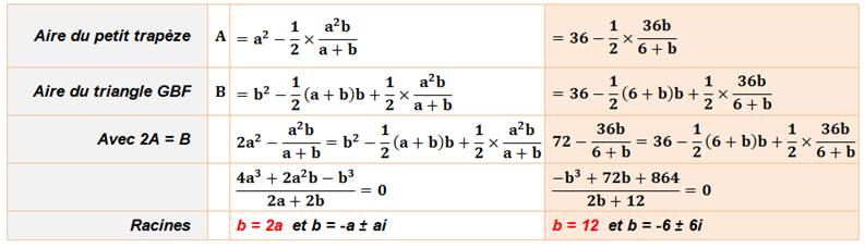
Calculer la longueur de b telle que l'aire du trapèze rose est double de celle du triangle rose.

 

Piste

À partir du calcul littéral est connu, il s'agit de résoudre l'équation B  = 2A.

 

Note

Avec le B = A/3, on retrouve bien a = b come vu en première partie

   

 

Calcul littéral et numérique

      

 

Note

Avec le B = A/3, on retrouve bien a = b come vu en première partie

 

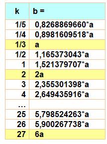
Le tableau montre quelques autres cas. Seul cas nouveau avec k = 27 et alors b = 6a.

 

 

 

 

 

Haut de page

 

Retour

*      DéfisIndex

*      GéométrieIndex

*      ÉnigmesIndex

*      BrèvesIndex

Suite

*      Divers défis 02

*       Équation en x4

*      Technique de base de l'algèbre

*      Tracas classiques en algèbre

Voir

*      Équations

*      Calculs avec radicaux

Cette page

http://diconombre.fr/aExercic/Probleme/Carres2.htm