|
Édition du: 14/01/2025 |
|
INDEX |
Problèmes – Défis |
||
|
Équation en x4 |
|||
|
Équations en xk, yk,
zk |
|||
|
Équation 2a + 2b + 2c |
|||
![]()
|
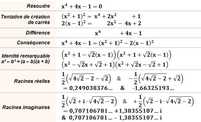
Équation x4 + 4x – 1 = 0 Comment résoudre
cette équation avec un peu d'astuce (ou d'intuition). |
||
|
|
Sommaire de cette page >>> Résolution de l'équation par factorisation >>> Factorisation du polynôme |
Débutants Glossaire |
|
L'idée est de transformer ce polynôme du
quatrième degré en deux facteurs du deuxième degré et ainsi se ramener à la
résolution de deux équations
du deuxième degré. La factorisation peut être intuitive pour ceux
qui ont une bonne expérience. Sinon, la méthode systématique est proposée ci-dessous.
|
|
Graphe
de la fonction x4 + 4x – 1

|
Factorisation du polynôme
par écriture d'une factorisation générique et calcul des paramètres par la
résolution d'un système
d'équations.
|
|
Voir Théorème
de la racine évidente
![]()
|
Retour |
|
|
Suite |
|
|
Voir |
|
|
Cette page |