Accueil

Orientation générale

Barre de recherche

DicoNombre

DicoMot Math

DicoCulture

Atlas des maths

Rubriques

Index alphabétique

Nouveautés

Actualités

Références

Édition du: 03/02/2025

M'écrire

Brèves de Maths

 

INDEX

 

Équations

Algèbre

Énigmes

Algèbre – Défis  

INDEX – Défis-Algèbre

50^99 et 99!

Divers défis 01

Division fractions

Équation: x^4 + 4x – 1 = 0

Puissances 2, 3 & 4

Factorielles

Équation: 6x + 6y = 42

 

 

ÉQUATIONS

avec inconnue en exposant

 

Défis avec solution montrant l'"astuce" de calcul.

  

 

 

Sommaire de cette page

>>> Calcul d’inconnues en exposants

>>> Équation : 3^x + 3^x = 90

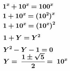
>>> Équation : 1^x + 10^x = 100^x

 

Débutants

Base de l'algèbre

 

Glossaire

Équations

 

 

 

Calcul d’inconnues en exposants

haut

 

La résolution est un simple exercice opératoire

dès lors que l’on a trouvé l’astuce qui va faciliter le calcul.

     

 

 

 

Équation avec x en exposant

haut

 

Le calcul est classique (et simple) à l’aide du passage aux logarithmes.

Il est possible de poursuivre en logarithme base 3. 

        

 

Résoudre

 

Poursuite en log 3

 

 

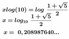
Équation avec x en multi-exposant

haut

 

Calcul passant par un changement de variable et résolution d’une équation du second degré.

            

 

Résoudre

 

Calcul avec les logarithmes

Rappel:  10x = Y

 

Alors
1 + 10x
= 100x = 2,6180… = 1 + φ
Phi étant le nombre d’or.

 

 

 

 

Haut de page

 

Retour

*      Défis – Algèbre Index

*      AlgèbreIndex

*      ÉnigmesIndex

Suite

*      Technique de base de l'algèbre

*      Tracas classiques en algèbre

*      Identités remarquables de degré > 2

*      Équation 6^x + 4^x = 9^x

*       Équation 5x–1 – 2x = 0

*        Équation en x45 et solution de Viète

Voir

*      Équations

*      Calculs avec radicaux

Cette page

http://diconombre.fr/aExercic/Algebre/EquExpo.htm