NOMBRES – Curiosités, Théorie et Usages

 

Accueil                           DicoNombre            Rubriques           Nouveautés      Édition du: 29/03/2025

Orientation générale        DicoMot Math          Atlas                   Actualités                       M'écrire

Barre de recherche          DicoCulture              Index alphabétique        Références      Brèves de Maths                                                                       

Puissances

 

Débutants

Logarithmes

Triplets de Pythagore

 

Glossaire

Puissances

 

 

Rubrique

PARTITION

 

INDEX PUISSANCES

 

Introduction

Propriétés

Cercle

Historique

Primitif

Génération

Matrice

Spéciaux

Illustration

Triangles

Briques

Calculs

Avec un carré

TABLES

 

Sommaire de cette page

>>> Triplets dont la somme est un cube

>>> Triplets doublement carré

>>> Jumeaux

>>> Fibonacci

>>> Curiosités

>>> La famille du triplet 5, 12, 13

 

 

 

 

 

 

TRIPLETS de PYTHAGORE

 Spéciaux

 

Avec des nombres particuliers.

 

 

Triplets dont la somme est un cube

Exemple

200² + 375²
= 425²

200 + 375 + 425
= 1000 = 103

Liste

[54, 72, 90, 6], [192, 756, 780, 12], [200, 375, 425, 10], [270, 704, 754, 12], [343, 1176, 1225, 14], [432, 576, 720, 12], [1458, 1944, 2430, 18], [1536, 6048, 6240, 24], [1600, 3000, 3400, 20], [1750, 2880, 3370, 20], [2160, 5632, 6032, 24], [2744, 9408, 9800, 28], [3456, 4608, 5760, 24], [5145, 7616, 9191, 28], [6750, 9000, 11250, 30], [7000, 8775, 11225, 30], [7560, 8250, 11190, 30], …

 

 

Triplets doublement carré

     a + b  = c²

et a² + b² = d²

 

Triplet de Pythagore dont la somme des deux termes est aussi un carré.

Le plus petit cas et, en plus, double motif.

 

Plus petit exemple

9  + 40  =    =     49

9² + 40² = 41² = 1 681

 

Mise en évidence du double motif pour 49

49 = 7² = 9 + 40

           et 9² + 40² = 41² = 1 681

49 = 7² = 21 + 28

           et 21² + 28² = 35² = 1 225

 

Liste des triplets dont la somme des deux premiers termes est aussi un carré

Table pour a et b jusqu'à 1000

 

Notez que la présentation en double motif est fréquente: 49, 196, 441, 289, … Par ailleurs, inutile de chercher le même type de motif avec des cubes du fait du théorème de Fermat-Wiles: a3 + b3 = c3 n'existe pas en nombres entiers.

Avec des nombres négatifs, par exemple:

(-3) + 4 = 1² et (-3)² + 4² = 5²

 

Avec trois termes: de très nombreuses présentations.

a + b + c = d²    et    a² + b² + c² = e²

1 + 6 + 18 = 5²  et 1² + 6² + 18² = 19² = 361

1 + 12 + 12 = 5² et 1² + 12² + 12² = 17² = 289

20 + 40 + 40 = 10² et 20² + 40² + 40² = 60² = 3 600

48 + 64 + 84 = 14² et 48² + 64² + 84² = 116² = 13 456

49 + 50 + 70 = 169 = 13² et 49² + 50² + 70² = 99² = 9 801

 

a + b + c = d3    et    a3 + b3 + c3 = e3

54 + 72 + 90 = 63 = 216 et 543 + 723 + 903 =  1083 = 1 259 712

81 + 696 + 951 = 123 = 1 728 et 813 + 6963 + 9513 = 1 0623 =  1 197 770 328

 

Voir Somme de carrés de nombres consécutifs

 

 

JUMEAUX

 

Triplet jumeau

 

*      Un triplet est dit jumeau si l'hypoténuse dépasse d'une unité l'un des côtés

(a, b, b + 1)

 

*      Un triplet jumeau implique qu'un nombre au carré est la différence de deux nombres consécutifs au carré

 

a² = (b+1)² - b²

 

*      Les  triplets suivants avec a impair sont jumeaux (connu de Pythagore)

 

( a,  1/2(a² - 1),  1/2(a² + 1)  )   

ou en multipliant par 2      

(2b, b² - 1, b² + 1)

 

Voir Formule équivalente à partir d'un nombre n unique

 

Exemples

 

a

3

5

7

9

11

13

15

17

19

21

23

25

1/2(a²-1)

4

12

24

40

60

84

112

144

180

220

264

312

1/2(a²+1)

5

13

25

41

61

85

113

145

181

221

265

313

 

Suite

27, 364, 365
29, 420, 421
31, 480, 481
33, 544, 545
35, 612, 613
37, 684, 685
39, 760, 761
41, 840, 841
43, 924, 925


45, 1012, 1013
47, 1104, 1105
49, 1200, 1201
51, 1300, 1301
53, 1404, 1405
55, 1512, 1513
57, 1624, 1625
59, 1740, 1741

61, 1860, 1861
63, 1984, 1985
65, 2112, 2113
67, 2244, 2245
69, 2380, 2381
71, 2520, 2521
73, 2664, 2665
75, 2812, 2813
77, 2964, 2965
79, 3120, 3121

81, 3280, 3281
83, 3444, 3445
85, 3612, 3613
87, 3784, 3785
89, 3960, 3961
91, 4140, 4141
93, 4324, 4325
95, 4512, 4513
97, 4704, 4705
99, 4900, 4901
101, 5100, 5101

Anglais: Twin triple

 

 

FIBONACCI

 

Triplets de Fibonacci

 

*      Il est possible de format un triplet de Pythagore impliquant des nombres de Fibonacci de la manière suivante

( Fn . Fn+3 , 2 Fn+1 . Fn+2 , Fn+1² + Fn+2²  )

 

Démontré par Horodam(1961) et Dujella (1987)

 

Exemples

 

n

1

2

3

4

5

6

7

8

9

10

Fn

1

1

2

3

5

8

13

21

34

55

Fn . Fn+3

3

5

16

39

105

272

715

1 869

4 896

12 815

2 Fn+1 . Fn+2

4

12

30

80

208

546

1 428

3 740

9 790

25 632

Fn+1² + Fn+2²

5

13

34

89

233

610

1 597

4 181

10 946

28 657

 

 

 

 

CURIOSITÉS

 

Voir    Triangles

 

 

 

 

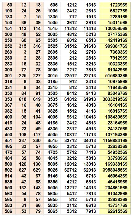
La famille du triplet 5, 12, 13

haut

 

Chaque terme du triplet est complété à gauche par un nombre, respectivement, m, n et p.

 

Jusqu'à 10 000, il y a une descendance de 115 triplets.

 

Le seul avec m = n = p est le premier listé: (15, 112, 113).

 

 

 

 

 

 

 

 

 

Suite

*    Triplets - illustration

Voir

*    Addition - Glossaire

*    Années Pythagore

*    Décade de Pythagore

*    Pythagore - Biographie

Site

*    Pythagorean Triple de Eric Weisstein

Cette page

http://diconombre.fr/Wwwgvmm/Addition/TripSpec.htm