NOMBRES - Curiosités, théorie et usages

 

Accueil                           DicoNombre            Rubriques           Nouveautés      Édition du: 08/03/2021

Orientation générale        DicoMot Math          Atlas                   Actualités                       M'écrire

Barre de recherche          DicoCulture              Index alphabétique        Références      Brèves de Maths

      

ÉQUATIONS

 

Débutants

Équations

Troisième degré

 

Glossaire

Équations

 

 

INDEX

 

Équations

 

Théorie

Exemple 1

Méthode

Historique

Factorisation

Exemple 2

Exemple 3

Symétrie

Nombre d'argent

 

Sommaire de cette page

>>> Résolution avec logiciel

>>> Racine réelle

>>> résolution numérique

 

 

 

 

 

ÉQUATIONS du 3e degré

Exemples: NOMBRE d'ARGENT

 

x3 – 5x2 + 6x – 1 = 0

 

Équation dite du nombre d'argent. Un des nombres d'argent, car ils sont plusieurs à revendiquer ce nom.

Résolution de cette équation. Nous en profiterons pour voir comment comparer des valeurs complexes avec des racines cubiques.

Voir Formules de résolution de l'équation du 3e degré

 

 

Résolution avec logiciel approprié

*      Équation du 3e degré

x3 – 5x2 + 6x – 1 = 0

*      Programme (aussi simple que cela!)
Le dernière instruction évalue la valeur des racines.

*      Réponse du logiciel de calcul symbolique (Maple)

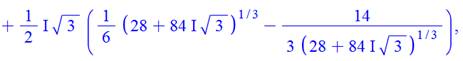
*      Première racine

 

*      Deuxième racine, comportant un second terme avec i comme facteur (ici, I pour Maple)

*      Troisième terme

Idem avec le second terme imaginaire en négatif.

*      Valeurs numériques données par le logiciel

*      Remarque

La valeur littérale de la première racine comporte des "i" et sa valeur numérique donne un coefficient très faible pour "i" (10-10).

C'est sans doute une racine réelle; la valeur imaginaire résultante étant sans doute due aux arrondis du calcul.

Qu'en est-il des deux autres avec de petites valeurs imaginaires?

 

*      Réponse du logiciel

3,2469796037 1746706105 0009768008 4796212645 4946179280 4210731098 8781937073 0491297456 9151885014 653170745 – 1e-100*I

*      Vérification

La partie imaginaire est aussi petite que la résolution du calcul. La racine est bien un nombre réel.

Est-il possible de le prouver à parti de la valeur littérale très compliquée.

 

*      Maple au secours avec une instruction dédiée.

 

 

*      Confirmation

Les trois racines sont réelles.

 

 

Racine réelle – Exemple de calcul

*      Racine à évaluer
et notation des termes:

        A                         +                   B                 + 5/3

*      Radical au dénominateur de B;

Pas pratique pour faire la somme avec le même dénominateur. Nous allons l'éliminer avec l'aide du conjugué.

*      Notons l'expression complexe et son conjugué.

 

 

*      Leur somme:

*      Le produit
(identité remarquable).

*      La racine cubique (ou puissance 1/3) du produit.

*      Le terme B et multiplication par la fraction unitaire impliquant le conjugué.

*      Dénominateur de B à 84

*      Dénominateur de A à 84

*      Et alors? On a toujours des racines cubiques

Pas facile à manipuler! Comment comparer A et B avec ces i enfouis sous des racines cubiques ?

*      Théorème de De Moivre

A et B sont des nombres complexes conjugués. Leurs puissances ou racines restent conjuguées.

*      Somme

La somme de deux conjugués est un nombre réel.

 

 

 

Résolution numérique

*      Équation du 3e degré

x3 – 5x2  + 6x – 1 = 0

*      Elle est complète.
On pose

x3 + ax2 + bx + c = 0

 

p = b – a2/3 = 6 – 25/3 = –7/3

 

q = a/27 (2a² – 9b) + c = –5/27 (2x25 – 9x6) – 1 = 20/27 – 1 = –7/27

 

*      Déterminant

D = 4p3 +27q2

D = 4 (-7/3)3 + 27 (-7/27)2

D  - 1372/27 + 49/27 = -1323/27= –49

D est négatif => trois racines réelles.

*      Calcul de u

*      Calcul de u2 sous la racine carrée

*      Retour à u

= 0,7901564686 + 0,3917020973 i

*      Valeur de v

= 0,7901564686 – 0,3917020973 i

*      Racine 1

     =  1,580312937… + 5/3 = 3,246979605…

*      Racine 2

= (-0,7901564686… + 5/3)

                     +  ½   i (0,7834041946 i)

= 0,8765101987… + (– 0,6784479340…)

=  0,1980622647

 

*      Racine 3

x3 = 0,8765101987… - (– 0,6784479340…)

=  1,554958133

 

 

 

 

 

Suite

*    Autres pages sur 3e degré

*    Équations à deux inconnues

Voir

*    Algorithme d'Héron

*    Équation de Pell

*    Méthode de Newton

*    Système d'équations particulier

DicoNombre

*    Nombre d'argent 3,2469 …

Cette page

http://diconombre.fr/ThNbDemo/Eqa3NbAg.htm