NOMBRES - Curiosités, théorie et usages

 

Accueil                           DicoNombre            Rubriques           Nouveautés      Édition du: 14/12/2012

Orientation générale        DicoMot Math          Atlas                   Références                     M'écrire

Barre de recherche          DicoCulture              Index alphabétique                               

     

ÉQUATIONS

 

Débutants

Équations

Troisième degré

 

Glossaire

Équations

 

 

INDEX

Équations

 

Théorie

Exemple 1

Méthode

Historique

Exemple 2

Exemple 3

 

Sommaire de cette page

>>>     x3 – 2x2 + x – 1 = 0

>>>   2x3 – 2x2 – 3x + 2 = 0

 

Voir Formules de résolution de l'équation du 3e degré

 

 

 

 

 

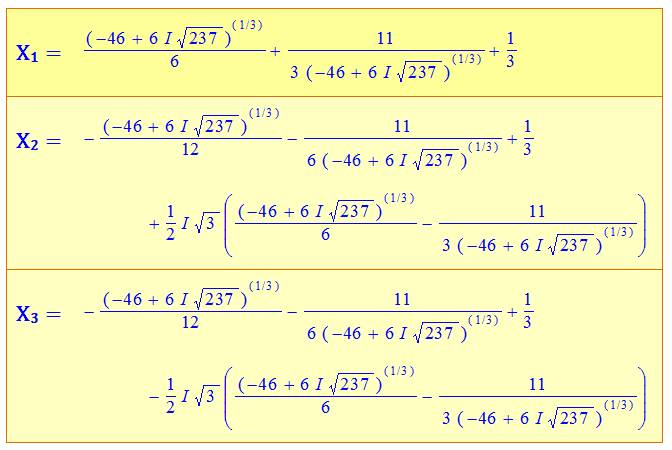
Racines de x3 – 2x2 + x – 1 = 0

 

X1  = 1, 754877667

X2  = 0, 1225611669 + i x 0, 7448617670

X3  = 0, 1225611669 – I x 0, 7448617670

 

Voir Pions noirs et blancs

 

 

 

Racines de 2x3 – 2x2 – 3x + 2 = 0

 

X1  =   1, 551387525  + i x

X2  = –1, 124570269  + i x

X3  =   0, 573182744    i x

 

 

Voir Triangle de Calabi

 

 

 

 

 

Suite

*    Triangle de Calabi

*    Pions noirs et blancs

*    Résolution des équations du 3e degré

*    Autres pages sur 3e degré

Voir

*    Algorithme d'Héron

*    Équation de Pell

*    Méthode de Newton

*    Système d'équations particulier

Cette page

http://diconombre.fr/ThNbDemo/Eqa3dex3.htm