Accueil

Orientation générale

Barre de recherche

DicoNombre

DicoMot Math

DicoCulture

Atlas des maths

Rubriques

Index alphabétique

Nouveautés

Actualités

Références

Édition du: 08/01/2026

M'écrire

Brèves de Maths

 

DicoNombre

Débutant 

Glossaire

Types de nombres

Nom des nombres

Écriture des nombres

Table des facteurs

Langues

Dictionnaire des Nombres

0 / 1 / 10 / 100 / 200 / 300 / 400 /

500 / 550 / 600 / 650 / 700 / 800

900 à 999

1 000 / 2 000 / 5 000 /

10 000 / 100 000 / 106 / 109  / 10100

900

910

920

930

940

950

960

970

980

990

960

961

962

963

964

965

966

967

968

969

 

   

 

 

 

 

Stobogrammatique

 

*      Neuf-cent-soixante-six.

*      Nine hundred sixty-six.

Orthographe / Langues

Facteurs

Binaire

11 1100 01102

Bases

68612  [23,23]41  [21,21]45  EE68

77137   66160  33321  22482 

Romain

CMLXVI

 Suite

 

*      Abondant

*      Cinq de Lehmer

*      Composé

*      Curzon

*      Fourchette ou gapful

*      Harshad

*      Inconsommable

*      Intouchable

*      Pratique

*      Semi-parfait

*      Zumkeller

  

 

Chiffres et numération

96 x 6 = 576 = 24²

*      Devient carré en multipliant les chiffres.

 

Addition et soustraction

966 = 21 + 22 + … + 48

*      Une des sept sommes de nombres consécutifs >>>

966 = 483 + 322 + 161

*      Nombre semi-parfait: somme de trois de ses plus grands diviseurs.

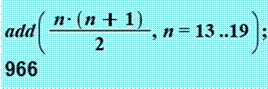
966 = T13 + T14 + … + T19
= 91 + 105 + … + 190

*      Somme de nombres triangulaires consécutifs.

*      Exemple calcul de cette somme avec un logiciel.

 

Multiplication, division, diviseurs

966 = 2 x 3 x 7 x 23

       = (9 + 6 + 6) x 46

*      Nombre de Harshad.

966 / 7 = 138

  21 / 7 = 3

*      Divisible par 7 comme la somme de ses chiffres.

Précédent: 833 et suivant: 1015.

966, 1338, 1350, 2370, 3390, 4818, 5838, 7602, 9870 …

*      Un des Cinq de Lehmer.

966 = 69 x 14

*      Nombre fourchette retourné.

 

Avec les puissances

966 = 1² + 2² + 31²

*      Une (amusante en 1, 2 et 3) des six somme de trois carrés >>>

966   = 14² + 15² + 16² + 17²

             = 103 + 107 + 109 + 113

             + 127 + 131 + 137 + 139

*      Somme de carrés de nombres consécutifs

*      Somme de huit  premiers consécutifs.

 

Identité détaillée

Voir Diviseurs,  Quantité, Somme, Fonctions arithmétiques

 

 

 

 

Suite

Voir Haut de page    /    Autres nombres

Voir

*      Nombres par leur nom

*      Empreinte des nombres

*      DicoNombre Junior

*      Historique de ce site et Références

*      Maitres en nombres

Cette page

http://diconombre.fr/NombDico/N5001000/aaaN900/N966.htm