Accueil

Orientation générale

Barre de recherche

DicoNombre

DicoMot Math

DicoCulture

Atlas des maths

Rubriques

Index alphabétique

Nouveautés

Actualités

Références

Édition du: 06/12/2025

M'écrire

Brèves de Maths

 

DicoNombre

Débutant 

Glossaire

Types de nombres

Nom des nombres

Écriture des nombres

Table des facteurs

Langues

Dictionnaire des Nombres

0 / 1 / 10 / 100 /

200 / 300 / 400 / 500

600 à 699

700 / 800 / 900 / 1 000 / 2 000 / 5 000 /

10 000 / 100 000 / 106 / 109  / 10100

600

610

620

630

640

650

660

670

680

690

620

621

622

623

624

625

626

627

628

629

 

   

 

 

 

 

*      Six-cent-vingt.

*      Six hundred twenty.

Orthographe / Langues

Facteurs

Binaire

1001101100

Octal Hexa

1154

29C

Romain

DCXX

 Suite

*      Binaire équilibré (autant de "0" que de "1")

*      Abondant

*      Composé

*      Docile (amenable)

*      Impremier

*      Inconsommable

*      Jonction

*      Pratique

*      Semi-parfait

*      Zumkeller

 

Chiffres et numération

620 + 26 = 646

*      Devient palindrome en lui ajoutant son retourné.

 

Addition et soustraction

620 = 5 + 6 + … + 35

*      Une des trois sommes de nombres consécutifs >>>

620 = 149 + 151 + 157 + 163

       = 61 + 67 + 71 + 73 + 79 + 83 + 89 + 97

*      Sommes de premiers consécutifs.

 

 

Avec les puissances

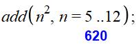
620 = 5² + 6² + … 12²

*      Somme de carrés consécutifs.

*      Exemple de calcul par logiciel.

 

En puissance

2620 = 4351 …76660…4576

       = 4,3… 10186

*      Nombre apocalyptique.

 

Dénombrement, jeux et curiosités

*     Jeu du quatre 4.

 

 

 

Identité détaillée

Voir Diviseurs,  Quantité, Somme, Fonctions arithmétiques

 

Numération: base, [chiffres]

Repdigit (Brésilien)

620

2, [1, 0, 0, 1, 1, 0, 1, 1, 0, 0]

3, [2, 1, 1, 2, 2, 2]

4, [2, 1, 2, 3, 0]

5, [4, 4, 4, 0]

6, [2, 5, 1, 2]

7, [1, 5, 4, 4]

8, [1, 1, 5, 4]

9, [7, 5, 8]

10, [6, 2, 0]

11, [5, 1, 4]

12, [4, 3, 8]

13, [3, 8, 9]

14, [3, 2, 4]

15, [2, 11, 5]

16, [2, 6, 12]

17, [2, 2, 8]

18, [1, 16, 8]

19, [1, 13, 12]

20, [1, 11, 0]

21, [1, 8, 11]

22, [1, 6, 4]

23, [1, 3, 22]

24, [1, 1, 20]

25, [24, 20]

26, [23, 22]

27, [22, 26]

28, [22, 4]

29, [21, 11]

30, [20, 20]

60, [10, 20]

30, [20, 20]

61, [10, 10]

123, [5, 5]

154, [4, 4]

309, [2, 2]

619, [1, 1]

Voir Bases / Brésiliens

 

 

 

 

Suite

Voir Haut de page    /    Autres nombres

Voir

*      Nombres par leur nom

*      Empreinte des nombres

*      DicoNombre Junior

*      Historique de ce site et Références

*      Maitres en nombres

Cette page

http://diconombre.fr/NombDico/N5001000/aaaN600/N620.htm