Accueil

Orientation générale

Barre de recherche

DicoNombre

DicoMot Math

DicoCulture

Atlas des maths

Rubriques

Index alphabétique

Nouveautés

Actualités

Références

Édition du: 15/04/2026

M'écrire

Brèves de Maths

 

DicoNombre

Débutant 

Glossaire

Types de nombres

Nombres géométriques

Nom des nombres

Écriture des nombres

Table des facteurs

Nombres et anglais

Langues

Dictionnaire des Nombres

1 / 10 / 50 / 70 / 80 / 90 / 100 / 110 / 120 / 130 / 140 / 150 / 160 / 170 / 180 / 185 / 190 / 191 / 192 / 193 / 194 / 195 /  196

197

198 / 199 / 200 / 210 / 220 / 230 / 240 / 250 / 260 / 270 / 280 / 290 / 300 / 400 / 500 / 600 / 1000

Autres

 

 

 

 

 

 

*      Cent-quatre-vingt-dix-sept

*      One hundred (and) ninety-seven

 Orthographe / Langues

Facteurs

Binaire

1100 0101

Romain

CXCVII

 Suite en propriétés arithmétiques

*      Binaire équilibré (autant de "0" que de "1")

*      Congruent

*      Coster

*      Cunningham (14² + 1)

*      Déficient

*      Docile (amenable)

*      Impair

*      Keith

*      Nombre de Keith

*      Premier (45e)

*      Premier bon

*      Premier de Chen

*      Premier de Pythagore

*      Premier fort

*      Premier jumeau avec 199

*      Premier régulier

*      Premier résistant

*      Ulam

 

Géométrique           

*      Heptagonal centré (8e)

                                                                                                                                             

 

Géographie

*     197 pays reconnus par l'ONU dans le monde (193 + 2 + 2)

>>>

 

Chiffres et numération

1, 7, 9, 17, 19, 71, 79, 91, 97, 179, 197, 719, 791, 917, 971

*      Parmi les quinze nombres formés avec les chiffres de 197, dix sont premiers.

*      Premier résistant

 

Addition et soustraction

197 = 111 + 9 + 77

       = 1 + 11 + 9 + 99 + 77

*      Opérations avec ses chiffres répétés.

197 = 17 + 19 + 23 + 29 + 31 + 37 + 41

         = 2 + 3 + 5 + 7 + 11 + 13 + 17 + 19

               + 23 + 29 + 31 + 37

*      Somme de     7 premiers consécutifs.

*      Somme des 12 premiers nombres premiers consécutifs.

 

Multiplication, division, diviseurs

197 → [7, 17, 19, 71, 79, 97, 179, 197, 719, 971]

*      Dix des combinaisons des chiffres sont des nombres premiers

1, 9, 7, 17, 33, 57, 107, 197 …

*      Nombre de Keith, premier.

197 = 33 x (3 + 3) – 1

199 = 33 x (3 + 3) + 1

*      Deux premiers jumeaux.
Plus petit tel motif non trivial.

197

  395 =   2 x 197 + 1 = 1 x 395

  789 =   4 x 197 + 1 = 3 x 263

1577 =   8 x 197 + 1 = 19 x 83

1971 = 10 x 197 + 1 = 33 x 73

2759 = 14 x 197 + 1 = 31 x 89

3153 = 16 x 197 + 1 = 3 x 1051

*      197 est premier et tous ces multiples + 1sont composés.

Le plus petit nombre avec cette propriété.

Celle-ci fut exploitée par Legendre en 1823 pour prouver que l'égalité de Fermat-Wiles n'a de solutions que pour une puissance supérieure ou égale à 197.

 

Avec les puissances

197   =   99² –   98² 

1997 = 999² – 998² 

*      Début d'une série de répétitions de chiffres en 1999…997

La différence de carrés est tout simplement la somme des deux nombres: 197 = 99 + 98.

Car: 99² – 98² = (99 – 98) (99 + 98).

 

En puissance

197 = 23 + 43 + 53

*      Somme de cubes.

 

Dénombrement, jeux et curiosités

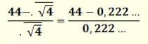
197 =   

*      Jeu du quatre 4.

Avec .x = 0,x et .x surligné = 0,xxx…

Ici avec rac(4) = 2, soit 0,222…

 

1, 1, 3, 11, 45, 197, 903, 4279 ...

*      Nombre Super- Catalan OEIS A001003

 

*      197 points pour l'ensemble des lettres au Scrabble français.

*      167 pour le Scrabble anglais.

 

Autour du nombre

M(197) = – 7

*      La fonction de Mertens atteint –7  pour la 1ère  fois.

 

*      Toutes les fractions avec 197 au dénominateur possèdent 98 décimales répétitives en deux suites permutées.

 

 

         Identité détaillée

Voir Diviseurs,  Quantité, Somme, Fonctions arithmétiques

 

Numération: base, [chiffres]

Repdigit (Brésilien)

197

2, [1, 1, 0, 0, 0, 1, 0, 1]

3, [2, 1, 0, 2, 2]

4, [3, 0, 1, 1]

5, [1, 2, 4, 2]

6, [5, 2, 5]

7, [4, 0, 1]

8, [3, 0, 5]

9, [2, 3, 8]

10, [1, 9, 7]

11, [1, 6, 10]

12, [1, 4, 5]

13, [1, 2, 2]

14, [1, 0, 1]

15, [13, 2]

16, [12, 5]

17, [11, 10]

18, [10, 17]

19, [10, 7]

20, [9, 17]

21, [9, 8]

22, [8, 21]

23, [8, 13]

24, [8, 5]

25, [7, 22]

26, [7, 15]

27, [7, 8]

28, [7, 1]

29, [6, 23]

30, [6, 17]

60, [3, 17]

Aucun

Voir Bases / Brésiliens

 

 

 

 

Suite

*         Nombre 198

*         Voir haut de page

Voir

*      Nombres par leur nom

*      Empreinte des nombres

*      DicoNombre Junior

*      Historique de ce site et Références

*      Maitres en nombres

Cette page

http://diconombre.fr/NombDico/N100a500/Nb197.htm