Accueil

Orientation générale

Barre de recherche

DicoNombre

DicoMot Math

DicoCulture

Atlas des maths

Rubriques

Index alphabétique

Nouveautés

Actualités

Références

Édition du: 04/12/2024

M'écrire

Brèves de Maths

 

INDEX

 

Défis en géométrie

 

Géométrie

Jeux et énigmes

 

Énigmes en géométrie

Quatre carrés

Tête géométrique

Carré et 2 Trg Équilatéraux

Exercices 01

Escalier dans cercle

Rect et 2Trg Equilatéraux

Triangles gigognes

Carrés dans cercle

Triangle dans le cercle

Triangle et bissectrice

Triangle dans carré

Faites un double-clic pour un retour en haut de page

 

 

TRIANGLE et BISSECTRICE

 

Une bissectrice dans le triangle rectangle. Mesures sur la découpe du carré.

  

 

Sommaire de cette page

>>> Bissectrice dans le triangle rectangle

 

Débutants

Géométrie

 

Glossaire

Géométrie

DicoMot: Bissectrice / Angle bisector

 

 

Bissectrice dans le triangle rectangle

haut

Simple problème de géométrie, mais la solution nécessite

la résolution d’une équation du quatrième degré.

 

Construction

Un triangle rectangle et la bissectrice d’un des angles non-droit.

Un des côtés mesure 6 cm et la bissectrice découpe le côté opposé en deux segments de mesures  x et 5 cm.

Quelle est la valeur de x ?

 

Première idée – Intuition

S'agit-il d'un triangle rectangle dont les longueurs des côtés sont des nombres entiers ?

 

En ce cas, pourquoi pas un triplet de Pythagore (6, 8, 10) multiple du triplet de base (3, 4, 5).

En effet: 6² + 8² = 36 + 64 = 100 = 10²

 

Alors x = 8 – 5 = 3.

   

 

Figure initiale

 

Recherche de démonstration

La bissectrice découpe le côté AB en segments proportionnels aux côtés :

 

Théorème de Pythagore dans ABC :

 

 

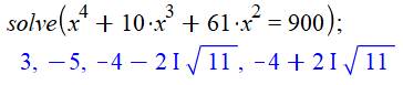
Solution

Avec cette équation du quatrième degré, on tente x = 1, 2 et 3.

 

Une seule solution réelle positive.

La solution est x = 3 cm.

   

 

Notez que: en dessinant le triangle symétrique, les points A et E sont sur le cercle inscrit au triangle BCF.

Notez aussi que CA = CE (tangentes)

 

Rayon du cercle connaissant le triangle :

 

 

 

Haut de page (ou double-clic)

 

Retour

*      Théorème de la bissectrice

*      Exercices sur le triangle – Niveau lycée

Suite

*      Constructions élémentaires: triangle rectangle

*      Résolution du triangle rectangle

*      Doubler le triangle rectangle

*      Quadrupler le triangle rectangle

*      Triangles rectangles particuliers

*      Types de triangles

*      TriangleIndex

Voir

*      DicoMot

*      Droite

*      Égalités des triangles

*      Enseignement – Collège

*      Géométrie Index

*      Résolution du triangle quelconque

*      Triangle de Pythagore

Cette page

http://diconombre.fr/GeomLAV/Triangle/Exercice/TrianBis.htm 

 

Hippodrome