Accueil

Orientation générale

Barre de recherche

DicoNombre

DicoMot Math

DicoCulture

Atlas des maths

Rubriques

Index alphabétique

Nouveautés

Actualités

Références

Édition du: 03/06/2025

M'écrire

Brèves de Maths

 

 

INDEX

 

Graphe

Logique

Suites pour dénombrer

Dénombrement

Jeux et énigmes

 

 

Dénombrements - MOTIFS

Nombres de Catalan

Nombres de Naryana

Nombres Manhattan

Nombres de Catalan – Développements

Définition

Pascal

Parenthèses

Polygones

Valeurs

Hipparque

Escaliers

Illustrations

Fuss-Catalan

Chemins de Dyck

Arbres

Faites un double-clic pour un retour en haut de page

 

 

Eugène Catalan

Nombres de Catalan

Constante de Catalan

Conjecture de Catalan

Hyper-Catalan

Résolution des équations

 

 

NOMBRES HYPER-CATALAN

 

Les nombres de Catalan dénombrent, entre autres, les triangles dans les polygones. Les nombres hyper-Catalan dénombrent tout type de polygones dans les polygones.

En 2025, les mathématiciens inventent une méthode de résolution des équations de degré quelconque en utilisant ces nombres. Les solutions se présentent sous la forme de séries.

    

 

Sommaire de cette page

>>> Nombres Hyper-Catalan

>>> Tableau des nombres Hyper-Catalan bi-tri   

Débutants

Dénombrement

 

Glossaire

Combinatoire

 Anglais : Hyper-Catalan Numbers

 

 

Nombres Hyper-Catalan

haut

 

Nombre hyper-Catalan

Généralisation des nombres de Catalan servant à compter les triangles dans les polygones.

Combien de polygones de variétés données compte-t-on dans un polygone partagé par des diagonales non-sécantes ?

 

Exemple de dénombrement avec l'hexagone

Pour éviter les permutations et les rotations, on maintient le côté rouge de l'hexagone en haut (trait rouge).

 

Le but est de partager l'hexagone en pentagones et en triangles.

La figure montre les six possibilités.

 

Il a six (6) solutions avec des triangles (t2) et des pentagones (t4). Numérotation avec le nombre de côtés moins 1.

Soit la notation complète: 6 t2 t4

   

 

Hexagone divisé en triangles et pentagones

  

 

Définition en bref

Les nombres hyper-Catalan sont une généralisation des nombres de Catalan, une séquence combinatoire qui indique comment découper un polygone en triangles, en carrés, en polygones, y compris leur panachage.

                               

 

Un nombre hyper-Catalan bi-tri dénombre les divisions des polygones en triangles et en carrés

 

 

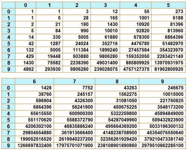
Tableau des nombres Hyper-Catalan bi-tri

haut

 

Ces nombres sont utilisés pour la résolution des équations de degré quelconque, y compris supérieur à 4. 

 

 

Tableau avec k en ligne et n en colonne

*      La colonne 0 est celle des nombres de Catalan.

*      La ligne 0 est celle des nombres de Fuss.

   

Propriété

Utilisée pour la résolution des équations avec des séries.

 

La somme alternée sur les diagonales montantes est égale à 0.

*      2 – 5 + 3 = 0

*      5 – 21 + 28 – 12 = 0

*      14 – 84 + 180 – 165 + 55 = 0

*      etc.

 

 

 

 

Suite

*       Arbres en général – Introduction, types

*       Catalan et parenthèses

*       Catalan et triangle de Pascal

*       Historique des suites de nombres pour compter

*       Nombres de Motzkin

*       Nombres de Genocchi

Voir

*       Billard

*       Coefficient du binôme

*       Conjecture de Catalan

*       Constante de Catalan

*       Dénombrer Index

*       Eugène Catalan

*       Factorielle

*       Méandres

*       Nombres de Bell

*       Premier

*       Sous-factorielles

Sites

*       OEIS A104978 - Triangle read by rows, where the g.f. satisfies A(x, y) = 1 + x*A(x, y)^2 + x*y*A(x, y)^3

*       OEIS A000108 – Catalan numbers

*       OEIS A001764 – Fuss numbers

*       A Hyper-Catalan Series Solution to Polynomial – Equations, and the Geode – N. J. Wildberger & Dean Rubine – pdf 21 pages

*       Paper with Dean Rubine on solving polynomial equations – Vidéo

Cette page

http://villemin.gerard.free.fr/aNombre/TYPDENOM/Catalan/Hyper.htm