NOMBRES – Curiosités, Théorie et Usages

 

Accueil                           DicoNombre            Rubriques           Nouveautés      Édition du: 08/04/2025

Orientation générale        DicoMot Math          Atlas                   Actualités                       M'écrire

Barre de recherche          DicoCulture              Index alphabétique        Références      Brèves de Maths                                                                              

Motifs avec les nombres

 

Débutants

Nombres

Pannumériques

 

Glossaire

Chiffres

 

 

INDEX

 

Motifs

 

Chiffres

 

Jeux avec nombres

 

Nombres

 

Pannumérique

Fractions minimales

Chiffres différents

Chiffres répétés – Carrés

Chiffres répétés – Cubes

Chiffres répétés dans toutes les puissances

Carrés, cubes et puissances pannumériques

 

Sommaire de cette page

>>> Cubes – Record du même chiffre répété

>>> Cubes – Unique bloc le plus long

>>> Cubes – Bloc de chiffres répétés

 

 

 

 

 Nombres avec chiffres répétés

dans les CUBES

 

Quels sont les cubes des nombres qui comportent le plus de fois le chiffre 1, le chiffre 2, etc.

Quels sont les cubes des nombres qui comportent le plus de 1 à la suite, ou de  2, etc.

Idem avec des blocs de chiffres, comme ce motif:

 

 

Voir Pépite

 

 

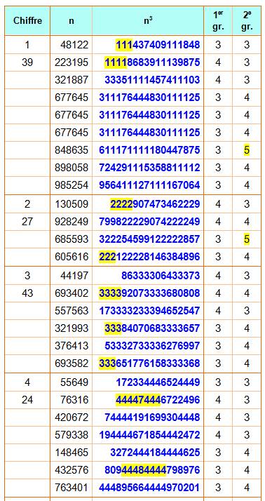
Cubes – Record du même chiffre répété

 

Exemple de lecture:

73 = 343 qui est le premier cube qui comporte deux fois le chiffre 3. D'où le nombre 2 dans la colonne du 3. Il est aussi le premier cube qui comporte deux chiffres répétés (noté en jaune)

 

Les nombres dans les colonnes indiquent donc le record en quantité de chiffres répétés pour le chiffre indiqué en tête de colonne.

*       il est en jaune pour la première apparition de cette quantité; et

*       il est en marron pour la dernière apparition.

 

La colonne du 0 est en vert car la quantité de zéro record est trivialement atteinte pour les puissances de 10.

 

 

 

 

 

Pour n = 11 avec un cube égal  à 1331, ces deux nombres sont des palindromes.

 

 

Les repdigits en 99 comme 9999 produisent beaucoup de 9 et c'est un motif itératif: autant de 9 en queue et un de moins en tête.

 

 

 

 

Cubes – Unique bloc le plus long

 

On cherche les cubes qui offrent une répétition la plus longue possible du même chiffre. Le tableau montre les records successifs pour les nombres jusqu'à 10 millions.

 

Exemple de lecture: 480753 = 111111210421875 qui comporte 6 fois le chiffre 1 (1er groupe) répété puis un 1 (2e groupe) et encore un 1 (non répertorié).

Chaque ligne présente un nouveau record en quantité de chiffres répétés à la file.

 

 

 

 

Cubes - Bloc de chiffres répétés

 

On cherche les nombres qui comportent aux moins deux blocs de trois chiffres répétés

Jusqu'à n =  1 000 000.

 

Exemple de lecture: 1

 

 

 

 

Retour

*       Chiffres répétés dans les carrés

*       Puissances k avec record de chiffres k

Suite

*       Carrés à chiffres répétés (introduction)

*       Nombres automorphiques

*       Nombre plaqué cube ou trimorphique

*       Pannumérique

*       Repdigits

*       Repunits

Voir

*       Jeux avec nombres Index

*       Jeux et énigmesIndex

DicoNombre

*       Nombre 34

*       Nombre 99 et répétition du 9 avec le cube

*       Nombre 114

*       Nombre 199 et répétition du 9 avec le cube

*       Nombre 81 619

*       Nombre 380 038

*       Nombre 1 490 712

Cette page

http://villemin.gerard.free.fr/aNombre/MOTIF/Pannum/RepeteCu.htm