Accueil

Orientation générale

Barre de recherche

DicoNombre

DicoMot Math

DicoCulture

Atlas des maths

Rubriques

Index alphabétique

Nouveautés

Actualités

Références

Édition du: 17/02/2025

M'écrire

Brèves de Maths

 

INDEX

 

Types de nombres figurés: liste et liens

 

Nombres

 

Nombres Polygonaux

Heptagonaux

Octogonaux

Ennéagonaux

Autres

Octogonaux centrés

Octaédriques

 

 

 

NOMBRES OCTOGONAUX CENTRÉS

8-gonal centrés

 

Nombres construits en déposant des points sur des octogones concentriques.

 

 

 

Sommaire de cette page

>>> Caractéristiques

>>> illustration

>>> Liste

 

 

Débutants

Nombres figurés ou géométriques

 

Glossaire

Nombres géométriques

 

 

 

 

Caractéristiques

Famille

 

Nombre / Figuré

Octogonaux

 

Définitions

NOMBRE OCTOGONAL CENTRÉ

ou carré des nombres impairs

 

Nombre formé à partir d'un point central et d'octogones concentriques.

 

Dénombrement

Le nombre octogonal centré  de rang n est la est la somme des premiers nombres impairs.

C'est un nombre carré.

Sommes

Si m est la quantité de couches avec plus de 1 point (m = n – 1 = 3 – 1 = 2)

Sur les figures, la quantité de lignes (à gauche) ou de carrés (à droite) est:
c = 2m + 1 = 2
× 2  + 1 = 5  

 

 

Somme des nombres impairs
de 1 à 2m + 1

 

Exemple

 

Carré de la quantité de couches
c = 2m + 1.

 

Exemple

 

Note: Rien d'exceptionnel, car on sait que la somme des impairs est un carré.

 

 

Formule

 

C8,n =  (2n – 1)2

n > 0  

C8,n = 4n (n – 1) + 1

 

C8,n = 8 Tn-1  + 1

T n-1 étant le nombre triangulaire d'ordre n – 1

 

Propriétés

 

Ils sont tous impairs et les unités forment le cycle: {1, 9, 5, 9, 1}

 

La fonction tau* de Ramanujan des nombres octogonaux centrés est égale à un nombre impair; elle est paire pour tous les autres nombres.

* fonction de mathématique avancée.

 

Relations

 

Anglais

Centered octagonal number

 

                                                                       

Illustrations

 

Nombres octogonaux centrés

 

Chaque nombre octogonal centré d'ordre n  est le cumul des points sur l'octogone de côté n et de tous les cercles intérieurs.

 

C8,4 = 24 + 16  + 8 + 1

           = 49 = 7²

 

C8,5 = 49 + 32 = 81 (illustration)

 

Par la formule

C8,5 = (2n – 1)² = (2 × 5 – 1)² = 9² = 81

 

En dénombrant

1 + 8(1 + 2 + 3 +  4) = 1 + 8 × 10 = 81

 

 

 

C8,6 = (2n – 1)² = (2 × 6 – 1)² = 11² = 121

 

 

 

C8,7 = (2n – 1)² = (2 × 7 – 1)²

          = 13² = 169       (illustration)

 

 

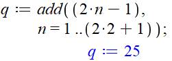
C8,23 = (2n – 1)² = (2 × 23 – 1)²

            = 13² = 2025       (illustration)

 

Quantité de points par couche:
1, 8, 16, 24, 32, 40, 48, 56, 64, 72, 80, 88, 96, 104, 112, 120, 128, 136, 144, 152, 160, 168, 176.

 

Après le nombre 1, ce sont tous les multiples de 8 jusqu'à 22. Le dernier étant: 22 × 8 = 176.

 

 

Nombre octogonaux centrés – LISTE

 

 

 

 

 

Voir

*  Nombres octogonaux

*  Nombres octaédriques

*  Nombres polygonaux

*  Nombres polygonaux centrés

DicoNombre

*  Nombre 4,93…

*  Nombre 17

Site

*   Dictionnaire des Nombres polygonaux – Récréomaths  

*   Nombre octogonal centré – Wikipédia

*  OEIS A016754 – Odd squares: a(n) = (2n+1)^2. Also centered octagonal numbers.

Cette page

http://diconombre.fr/aNombre/FIGURE/OctoCent.htm