|
|||||||||||||||||||||||||||||||||||||||||||||||||||||||||||
![]()
|
RELATIONS TRIGONOMÉTRIQUES Formules avancées Formules trigonométriques particulières. |
Voir Table des
valeurs trigonométriques / Les
angles particuliers un par un
|
|
Programmation pour sinus
|
Voir Application au produit de Wallis
|
|
||
|
Cette loi
est relative au produit de cosinus d'angles en multiples |
|
|
|
Exemple
avec k = 3 et a = 20°. Éric Weisstein
rapporte que Feynman, enfant, avait
reçu cette identité en provenance d'une lettre d'un certain garçon, Morrie
Jacobs. |
|
|
Voir Angle 20°



![]()
Voir Calcul avec
Pi / 5
|
|
||
|
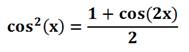
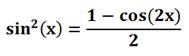
Linéarisation |
|
|



Suite
linéarisation >>>
![]()
|
Bases |
|
|
Voir |
|
|
Aussi |
|
|
Sites |
|
|
Cette page |
http://villemin.gerard.free.fr/aMaths/Trigonom/aaaBases/Relatava.htm
|
![]()