Accueil

Orientation générale

Barre de recherche

DicoNombre

DicoMot Math

DicoCulture

Atlas des maths

Rubriques

Index alphabétique

Nouveautés

Actualités

Références

Édition du: 25/01/2025

M'écrire

Brèves de Maths

 

INDEX

 

Géométrie

Énigmes

Défis viraux

Jeux et énigmes

Problèmes – Défis  

INDEX

Quart de cercle

Deux demi-cercles

Nappe sur table

Quatre cercles et carré

Demi-cercle et rectangle

Carré oblique

Trois cercles tangents

Défis divers

Trois triangles réunis

Quarts de cercle

Cercle et quart de cercle

Demi-cercles

Cercle et demi-cercle

 

 

Défis de géométrie avec le DEMI-CERCLE

.

        

 

Sommaire de cette page

>>> Trois segments dans le demi-cercle

 

Débutants

Géométrie

 

Glossaire

Géométrie

 

 

Trois segments dans le demi-cercle

haut

 

Problème qui passe pour être dur. Comme souvent, il faut trouver un angle d’attaque qui facilitera la solution. Ici, se souvenir que l’angle inscrit dans un demi-cercle est un angle droit.

   

 

Construction

Les trois segments verts de la figure dans un demi-cercle.

Quelle est la valeur du rayon en fonction de a et b ?

 

Piste

En présence d’un demi-cercle, on cherche les angles interceptant le diamètre, lesquels sont droits.

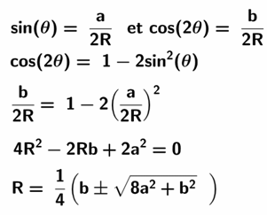
Avec les triangles rectangles, on tente Pythagore ou la trigonométrie. Ici, on évalue les sinus et cosinus dans chacun des triangles rectangles selon les données disponibles.

 

Calculs avec les relations trigonométriques et résolution équation du deuxième degré.

 

Application numérique

Avec a = 6 et b = 14,

R = 9 (seule solution positive).

  

 

Figure initiale

 

 

 

Figure avec notations

Voir Solve for the radius – MindYourDecisions Presh Talwalkar - Vidéo

 

 

 

 

 

 

Haut de page

 

Retour

*      Autres défis

*      GéométrieIndex

*      ÉnigmesIndex

*      BrèvesIndex

Suite

*      Divers défis 02

*       Équation en x4

*      Résolution LLL du triangle

*      Technique de base de l'algèbre

*      Tracas classiques en algèbre

Voir

*      Équations

*      Calculs avec radicaux

Cette page

http://diconombre.fr/aExercic/Probleme/DemiCEn.htm