Accueil

Orientation générale

Barre de recherche

DicoNombre

DicoMot Math

DicoCulture

Atlas des maths

Rubriques

Index alphabétique

Nouveautés

Actualités

Références

Édition du: 01/02/2025

M'écrire

Brèves de Maths

 

INDEX

 

Géométrie

Énigmes

Défis viraux

Jeux et énigmes

Problèmes – Défis  

INDEX

Quart de cercle

Deux demi-cercles

Cercle et trg rectangle

Quatre cercles et carré

Demi-cercle et rectangle

Carré oblique

Trois cercles tangents

Trois triangles réunis

Cercle dans le secteur

Cercle et demi-cercle

Défis divers

 

 

Cercle et triangle rectangle

 

Un triangle rectangle inscrit dans un quart de cercle.
Quel est le rayon du cercle ?

    

 

Sommaire de cette page

>>> Cercle et triangle rectangle

 

Débutants

Géométrie

 

Glossaire

Géométrie

 

 

Cercle et triangle rectangle

haut

 

Construction

Un cercle et un triangle rectangle inscrit dans le quart de cercle.

Triangle rectangle: les sommets opposés à l'angle droit sont situés sur deux diamètres perpendiculaires et à égale distance du centre du cercle. Son hypoténuse mesure 2 cm et le petit angle vaut 30°.

Quel est le rayon du cercle ?

 

Observations liminaires (Figure du bas)

Les segments OA et OB sont égaux. Le triangle OAB est isocèle rectangle. Son hypoténuse valant 2, les côtés mesurent racine de 2 (2² = x² + x² = 2x² => x² = 2).

Dans le triangle rectangle ABC, on connait l'hypoténuse AB et l'angle de 30° (angle ABC), alors les deux côtés de l'angle droit sont connus (le sinus et le cosinus).

 

Pistes

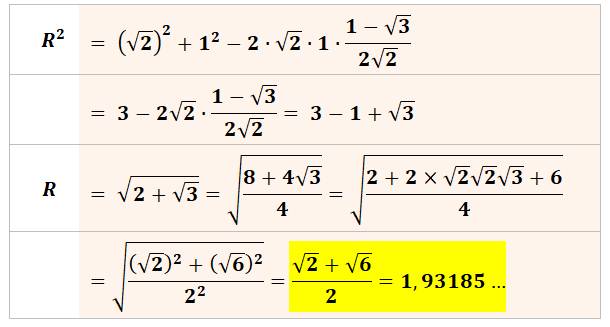
Il faut calculer le rayon: R = OE = OD et aussi … OC.

Le segment OC est situé parmi des triangles dont on connait les angles.

 

Intuition: utilisation des formules d'Al Kashi (ou loi des cosinus avec un des triangles OCB ou OCA.

Avec OCA, on connait l'angle en A et la mesure du côté OA. Peut-on calculer la longueur du segment AC ?

Oui, avec le théorème de Pythagore dans le triangle rectangle ABC.

 

 

 

 

Calculs

Notez la manière de s'affranchir d'un radical sous radical en mettant en évidence un carré.

   

 

D'après Find the radius of the quarter circle – Geometry Problem – Math Booster

 

Haut de page

 

Retour

*      Autres défis

*      GéométrieIndex

*      ÉnigmesIndex

*      BrèvesIndex

Suite

*      Divers défis 02

*       Équation en x4

*      Technique de base de l'algèbre

*      Tracas classiques en algèbre

Voir

*      Équations

*      Calculs avec radicaux

Cette page

http://diconombre.fr/aExercic/Probleme/CerQuTrg.htm