|
||||||||||||||||||||||||||||||||||||||||||||||||||||||||||
![]()
|
Nombres complexes Résumé du cours de terminale Rappel des principales
notions à connaître en classe de terminale et liens vers les pages de
développements et d'exercices de ce site. Une page spéciale est consacrée aux techniques
opératoires à connaître en terminale. Notez Bien: on aurait dû appeler ces
nombres autrement: binombre ou duonombre, par exemple. A priori, rien de
complexe ! |
|
|
||
|
Géométrie – Droite Un repère orthonormé: Équation de la
droite: ax + by + c = 0 avec a et b différents de 0. Distance M0M: |
|
|
|
Géométrie – Cercle Cercle de centre : et de rayon R. Son équation:
|
|
|
|
Trigonométrie Un repère orthonormé direct:
Un cercle orienté de centre
O et de rayon Un point M (x; y) auquel est
associé l'angle orienté L'abscisse
de M: L'ordonnée
de M: |
Suite en Cercle trigonométrique |
|
|
|
||
|
Introduction des nombres complexes Les coordonnées du point M
se notent de trois façons équivalentes:
La valeur imaginaire
"i" joue le même rôle sur la droite des imaginaires que
"1" sur la droite des réels. À tout point M est associé
un nombre complexe x + i.y. |
Suite en Représentation cartésienne
|
|
|
Avec les nombres réels, on travaille
avec des nombres alignés sur une droite: une
seule dimension. Les nombres réels deviennent
un cas particuliers (un sous-ensemble) des nombres complexes. |
Avec les nombres complexes,
on travaille avec des nombres disposés dans un plan: deux
dimensions. Les nombres complexes sont
une extension des nombres réels à deux composantes: l'une réelle (les nombres
classiques), et l'autre associée, (imaginaire). Suite en Ensembles des nombres |
|
Définition des nombres complexes

|
|
||
|
Dans le monde des réels |
car 2 x 2 = 4 et (–2) x (–2)
= 4 |
|
|
Dans le monde des imaginaires Avec l'astuce de i² = -1 |
car 2i x 2i = 4i² = 4 x(–1) = –4 et (–2i) x (–2i) = 4i² = 4 x(–1) = –4 |
|
|
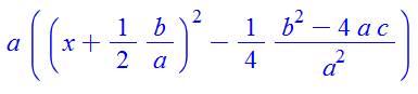
Équation du second degré (trinôme) y compris à discriminant négatif |
Équation du second degré et sa forme canonique
Forme canonique complète:
Il devient possible de
prendre la racine carrée de ce nombre négatif en introduisant i, et de continuer
les calcules jusqu'à l'obtention des racines complexes de l'équation.
Suite en Équation du second degré |
|
|
Équations du troisième degré |
Encore plus profitable,
cette astuce des nombres imaginaires permet de poursuivre les calculs et
d'aboutir … à une racine réelle, autrement impossible à calculer. |
|
|
Équations quelconque: théorème de D'Alembert-
Gauss |
Tout polynôme de degré n à
coefficients complexes admet n racines dans |
|
Merci à Sten M. pour
sa lecture attentive
|
|
|||
|
Conjugué |
2 + 3i et 2 – 3i sont
deux nombres complexes conjugués. |
||
|
Addition et soustraction |
(2 + 3i) + (4 + 5i) =
6 + 8i |
||
|
Multiplication par k |
(2 + 3i) x 4 = 8 + 12i |
||
|
Multiplication Multiplication
avec parenthèses, puis i² = –1 |
(2 + 3i) x (4 + 5i) = 8 + 10i + 12i + 15i² = 8 + 10i + 12i – 15 = –7 + 22i |
||
|
Carré |
(2 + 3i)² = 4 + 12i + 9i² = –5 + 12i |
||
|
Produit des conjugués |
(2 – 3i)(2 + 3i) = 4 –
(9i²) = 4 + 9 = 13, un nombre réel |
||
|
Inverse d'un complexe |
|
||
|
Puissance de 1 |
|
|
|
|
|
|
|
|
|
Inverse de i Notez
bien |
Moins i |
Moins un |
|
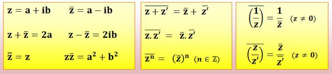
Opérations
sur les conjugués
|
|
||||
|
Nombre complexe: z = a + ib z le nombre représentant le
point M, c'est l'affixe du point M ou l'affixe
du vecteur M est le point image du
nombre complexe z. Illustration de
laquelle nombre de propriétés
peuvent être déduites. |
|
|||
|
Son module
(la longueur de OM) |
|
|||
|
Somme des modules (identité triangulaire) |
|
|||
|
Propriétés du module |
|
|||
|
Argument ou angle (thêta) |
|
|||
|
Propriétés de l'argument |
|
|||
|
Forme trigonométrique |
|
|||
|
Égalité |
Deux nombres complexes
non nuls sont égaux si et seulement si ils ont même module et même argument
(à 2 |
|||
|
Relations |
|
|||
|
Opérations |
|
|||
Cas du nombre 0
|
0
est aussi considéré comme un imaginaire pur, car 0i = 0. 0
n'a pas d'argument (pas d'angle!) |
|
|
||
|
On admet cette
relation: |
|
|
|
Écriture exponentielle
d'un nombre complexe |
|
|
|
Cas où le module est
unitaire et l'argument est l'angle droit (Pi/2). On trouve alors une forme
exponentielle de i. |
|
|
|
Identité d'Euler Module 1 et argument Pi |
|
|
|
Propriétés |
|
|
Bilan
|
Comme
nous l'avons précisé, les nombres complexes constituent un outil performant
pour exécuter des calculs dans de nombreux domaines. Alors, passons maintenant aux techniques
opératoires indispensables à connaître en classe de terminale >>> |
Merci à Ricky pour sa
relecture attentive
![]()
|
Suite |
|
|
Voir |
|
|
Cette page |
![]()