NOMBRES - Curiosités, théorie et usages

 

Accueil                           DicoNombre            Rubriques           Nouveautés      Édition du: 02/05/2014

Orientation générale        DicoMot Math          Atlas                   Références                     M'écrire

Barre de recherche          DicoCulture              Index alphabétique                               

     

Types de NOMBRES

 

Débutants

Complexe

NOMBRES COMPLEXES

Réels

 

Glossaire

Complexe

 

 

INDEX

 

Complexes

Puissances entières

Conjugués entiers

 

Sommaire de cette page

>>> Calcul avec exemple

>>> Généralisation

>>> Table

 

 

 

 

 

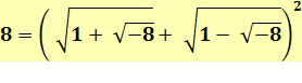
Somme des racines des CONJUGUÉS

 

Nombres de la forme:    

Exemple:                            

 

Relation avec les racines de nombres négatifs trouvée par Leibniz.

Voir Liste des nombres irrationnels

 

 

Calcul pas à pas avec l'exemple donné

 

*    Calculons le carré de la somme des conjugués:

*    Avec (a + b )² = a² + b² + 2ab

*    Cas du double produit avec

et (a + b) (a – b) = a² – b²

*    Somme

N = 2 + 4 = 6

 

Généralisation

*    Expression générale

 

*    Condition d'obtention d'un nombre entier: 2ab doit être entier.

*    Le nombre obtenu vaut:
Ce nombre est toujours pair.

N = 2a + 2k = 2(a+k)

*    Exemples

a = 1 et b = 3 => k² = 1² + 3 = 4

                           et N = 2 x (1+2) = 6

a = 1 et b = 8 => k² = 1² + 8 = 9

                           et N = 2 x (1+3) = 8

 

 

Table

 

*    Toutes les valeurs pour a,  b et N jusqu'à 100.


 

Exemple (dernière ligne à gauche):

  a = 8 et b = 17 => k² = 8² + 17 = 81 = 9²

                                 et N = 2 x (8+9) = 34

 

 

 

Suite

*         Complexes

*         Formule de Bombelli

*         ComplexeIndex

Voir

*         Types de nombres

Cette page

http://diconombre.fr/Wwwgvmm/Type/aaaCompl/ConjEnt.htm