NOMBRES – Curiosités, Théorie et Usages

 

Accueil                           DicoNombre            Rubriques           Nouveautés      Édition du: 01/05/2022

Orientation générale        DicoMot Math          Atlas                   Actualités                       M'écrire

Barre de recherche          DicoCulture              Index alphabétique        Références      Brèves de Maths

             

CONSTANTES

 

Débutants

Nombres

RACINE de 2

√2 = 1, 41 42 …

 

Glossaire

Nombres

 

 

INDEX

 

Puissance

 

Décomposition

 

Général 

 

Introduction

Valeur

Propriétés

Géométrie

Historique

Calcul

Irrationnel

Doubler

 

Sommaire de cette page

>>> Carré

>>> Carré double

>>> Avec le triangle rectangle

>>> Cercle

>>> Construction des racines de n

>>> Escargot de Pythagore

>>> Construction 2

>>> Construction directe de racine de n

 

 

 

 

 

 

Géométrie et racine de 2

& Construction de racine de n

 

Voir Méthode générale de construction des racines des nombres

 

 

 

CARRÉ

 

Diagonale du carré de côté unité

 

Théorème de Pythagore:

  = 1² + 1² = 2 et D = 2

 

Et, d'une manière générale: D = a . 2

Avec a la mesure du côté du carré

Le carré est découpé par sa diagonale

en deux triangles rectangles isocèles

 

Côté du carré d'aire égale à 2

 

A = 2 = a²

a = 2

 

 

CARRÉ DOUBLE

Carré double

 

*  Le carré rouge comporte 4 triangles

*  Le carré bleu en compte 2 de même taille

*  Le grand a une aire double de celle du petit

 

Longueur du côté du grand carré, diagonale du petit

 

*  Aire grand carré = 2 fois aire du petit

  x . x = 2 x (1x1)

     x² = 2

     x = 2

2 diagonale

du carré de côté 1

 

Mieux!

 

*  Pythagore va plus vite

          

             x² = 1² + 1² = 2

 

Notez que

Doubler le côté du petit carré multiplierait son aire par 4 et non par 2.

Prendre une moyenne (1+2)/2 ne convient pas non plus.

Seule la valeur 2, non évidente a priori, fait l'affaire :

 

Suite

*      Dialogue sur la vertu de Platon et le doublement de l'aire du carré

Voir

*      Doubler l'aire du carré

*      Doubler le volume du cube

 

 

 

Avec le triangle rectangle

Deux méthodes possibles avec un triangle rectangle:

*      Avec le théorème de Pythagore, on a par exemple h² = 2² et l’hypoténuse vaut :

*      Avec le théorème sur la hauteur : b = 3  et la hauteur vaut .

 

 

 

CERCLE

Dans le cercle de rayon 1
Soit le point M situé sur un rayon à 45°:

 

 

Les coordonnées de M sont:

x = 2 / 2

y = 2 / 2

 

Ce sont les valeurs de:

sin  45° = 2 / 2

cos 45° = 2 / 2

 

 

 

 

CONSTRUCTION des racines d'un nombre

 

 

*    Carré de côté unité.

*    La diagonale est rabattue sur le côté horizontal.

Mesure D² = 1² + 1² => D = 2

 

 

 

 

*    On élève la perpendiculaire, donnant naissance à un rectangle de côtés 1 et 2

*    La diagonale est rabattue sur le côté horizontal

Mesure D² = 1² + (2)² => D = 3

 

 

 

 

*    Etc.

Mesure D² = 1² + (3)² => D = 4

 

 

*    Pour racine de 5, la construction est particulièrement simple. Base du rectangle d'or.

 

 

   

 

Voir  Construction géométrique des nombres / Autre construction / Construction de a², 1/a /

Construction de la racine avec des losanges

 

 

Escargot de Pythagore

 

Sur le même principe, on peut aussi construire une spirale dite rectangulaire ou escargot de Pythagore.

 

Autres noms: spirale de Théodore de Cyrène ou spirale d'Einstein

 

En 1958, Erich Teuffel a démontré que les rayons ne se superposent jamais.

 

Construction avec GeoGebra

Triangle rectangle isocèle ABC sur le carré (1, 1) du quadrillage.

 

Suite de la construction expliquée pour le triangle ADE:

*    Perpendiculaire en D à AD.

*    Segment de longueur 1 à partir de D.

*    Cercle avec ce rayon et centre D.

*    Intersection en E avec la perpendiculaire.

*    Segment AE qui vaut racine de 4 = 2.

 

Remarquez que si AB = 1, alors AE vaut 2.

 

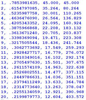
Mesures

Valeur de l'angle n

 

Tableau: n, angle en radian, angle en degré,

et angle depuis l'origine.

Voir  Méthode générale pour la construction de la racine des nombres

Autres constructions avec GeoGebra / Brève 616

 

  

CONSTRUCTION de 2

 

Construction RÈGLE ET COMPAS

*  Segment de départ OA dont la mesure est 1.

*  Prolonger à gauche dans la direction A'.

*  Cercle de centre O et de rayon 0A.

Il permet de marquer le point A'.

*  Perpendiculaire à AA' en O (médiatrice);

cercle de centre A d'ouverture r' quelconque;

cercle de centre A' de même ouverture r';

Se coupe en O'.

*  La médiatrice coupe le cercle en M.
AM mesure
2.

 

Démonstration

*  Évidente.

*  Diagonale du carré de côté 1.

 

 

 

Construction COMPAS SEUL

*  Segment de départ OA dont la mesure est 1.

*  Construction de la rosace classique (une demie suffit).

Cercle de rayon OA.

Report de ce rayon à partir de A pour créer B, puis B' et enfin A'.

*  Construction de la médiatrice.

Cercle centre A rayon AB'.

Cercle centre A' rayon A'B = AB'.

Le segment OM mesure 2.

 

Démonstration

*  Triangle A A' B'

Rectangle en B, car inscrit dans un demi-cercle

AB'² + A'B'² = AA'²

AB'² = (2R)² - R² = 3R² = 3

*  Par construction: AM = AB' = √3

*  Triangle OAM: OM² = AM² – OA²

*  OM² = 3 – 1² = 2

 

 

Figure particulière donnant  la racine

des trois premiers nombres 1,  2 et 3

Voir  Construction

 

 

Construction directe de racine de n

 

Tout nombre est somme de quatre carrés.

Prenons le nombre 15:
15 = 1² + 1² + 2² + 3² = a² + b² + c² + d²
     = u² + v²
avec u² = a² + b² et v² = c² + d².

 

Construction

Placez un couple de valeur en abscisse de part et d'autre de l'origine (a et d, par exemple)

L'autre couple sur l'axe des ordonnées.

Les diagonales sont nommées u et v et leurs longueurs sont reportés sur les axes (arcs verts).

Le segment (rose) qui joint les intersections avec les axes est notre racine (ici racine de 15)

 

Justification

 

 

Construction de racine de 15 à la règle et au compas

1.    Au point O, une droite H et sa perpendiculaire V.

2.    Cercle de rayon unité en O, puis reporté une fois vers le bas et deux fois vers la droite. Le centre de ces nouveaux cercles étant aux intersections avec H ou V.

3.    Perpendiculaires (pointillés verts).

4.    Intersection en A et B.

5.    Cercle centre O, rayon OA, intersection en C. Idem pour D.

6.    Le segment CD mesure: racine carrée de 15 = 3,87 …

 

 

 

Simplification

Cas d'une somme de trois carrés.

Prenons le nombre 14:
14 = 1² + 2² + 3² = u² + c² + d²
     = u² + v²
avec v² = c² + d².

 

Construction

Placez la valeur de u en ordonnées et la suite est identique.

 

Justification

 

 

Quelques exemples

 

Deux carrés

 

 

Trois carrés

 

 

Quatre carrés

 

Voir Brève 530 / Racines de14 et de 15

 

 

 

 

 

Suite

*   Racine de 2 – Historique

*    Doubler l'aire du carré

*    Construction géométrique des nombres

*    Méthode générale pour la construction des racines des nombres

Retour

*       Racine

*       Racine carrée

*       Développement de Taylor

Voir

*       Constructions géométriques élémentaires

*       Imaginaires

*       Constantes

*       Pi

*       Nombre d'Or

Diconombre

*       Nombre 2

*       Racine de 2

Livre

*       Le Fabuleux destin de racine carrée de 2 – Benoît Rittaud – 2006

Site

*       Spiral of Theodorus – Wikipedia

Cette page

http://diconombre.fr/Wwwgvmm/Nombre/Rac2Geom.htm