NOMBRES – Curiosités, Théorie et Usages

 

Accueil                           DicoNombre            Rubriques           Nouveautés      Édition du: 23/06/2023

Orientation générale        DicoMot Math          Atlas                   Actualités                       M'écrire

Barre de recherche          DicoCulture              Index alphabétique        Références      Brèves de Maths

      

DIVISION

 

Débutants

Division

Divisibilité

 

Glossaire

Division

 

 

Index général

 

>>> INDEX

 

Index Divisibilité

A^n + B^n

Somme puissances

A² + B²

A^n – B^n

Soustraction puissances

 

Sommaire de cette page

>>> Propriété classique (Rappel)

>>> Divisibilité de an + bn

>>> Applications numériques

>>> Applications composées

 

 

 

 

Divisibilité de an + bn

 

  En bref

Degré IMPAIR

Seuls les binômes de degré impair sont divisibles par a + b.

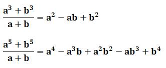
Exemples pour les degrés 3 et 5 =>

 

 

  

Degré PAIR

Jamais divisible par a + b

sauf cas figurant sur ce tableau

Ex: (2² + 6²) / (2 + 6) = 40 / 8 = 5

(34 + 64) / (3 + 6) = 1377 / 9 = 153

Voir Identités en a^n  + b^n et applications

 

  

 

 

Propriété classique (Rappel)

 

Si chaque terme de la somme est divisible par un nombre, la somme est divisible par ce nombre.

 

Facile!

Le reste de la page l'est tout autant

Pour un résultat bluffant …

 

Exemple

7 (14 + 28 + 70)

Se lit 7 divise 14+28+70

 

En effet

7 x 2   +   7 x 4   +   7 x 10

= 7 (2 + 4 + 10)

= 7 x 16

 

 

Divisibilité de an + bn

Carré

a2 + b2

= (a + b) (a + b) – 2ab

NON divisible

Cube

Divisible par a + b

(cf propriété ci-dessus)

a3 + b3

= (a2 + b2) (a + b) – a2b – ab2

= (a2 + b2) (a + b) – ab (a + b)

OUI divisible par a + b

Puissance n = 4

a4 + b4

= (a3 + b3) (a + b) – a3b – ab3

= (a3 + b3) (a + b) – ab (a2+ b2)

NON

Puissance n = 5

Divisible par a + b

a5 + b5

= (a4 + b4) (a + b) – a4b – ab4

= (a4 + b4) (a + b) – ab (a3 + b3)

OUI

Etc.

...

 

Puissance n = 2k (paire)

NON divisible par a+b

a + b

 an + bn

Puissance n = 2k+1 (impaire)

Divisible par a+b

a + b

 an + bn avec n = 2k+1

an + bn est divisible par a + b pour toutes les puissances n impaires.

Voir  Identités remarquables

 

 

Applications numériques

 

1 + 2  1n + 2n

pour tout n impair

 

ou

1n + 2n est divisible par 3 pour tout n impair

 

ou

une puissance de 2 augmentée d'une unité est divisible par 3 pour tout n impair.

 

1n

2n

1n + 2n

S / 3

n = 1

1

2

3

1

2

1

4

5

1,6666666

3

1

8

9

3

4

1

16

17

5,6666666

5

1

32

33

11

6

1

64

65

21,666666

7

1

128

129

43

8

1

256

257

85,666666

9

1

512

513

171

10

1

1024

1025

341,66666

1 + 3  1n + 3n pour tout n impair

 

ou

1n + 3n est

divisible par 4 pour tout n impair.

 

 

1n

3n

1n + 3n

S / 4

n =1

1

3

4

1

2

1

9

10

2,5

3

1

27

28

7

4

1

81

82

20,5

5

1

243

244

61

6

1

729

730

182,5

7

1

2187

2188

547

8

1

6561

6562

1640,5

9

1

19683

19684

4921

10

1

59049

59050

14762,5

7 + 8  7n + 8n  pour tout n impair

 

ou

7n + 8n est divisible par 15 pour tout n impair.

 

 

7n

8n

7n + 8n

S / 15

n = 1

7

8

15

1

2

49

64

113

7,53333333

3

343

512

855

57

4

2401

4096

6497

433,133333

5

16807

32768

49575

3305

6

117649

262144

379793

25319,5333

7

823543

2097152

2920695

194713

8

5764801

16777216

22542017

1502801,13

9

40353607

134217728

174571335

11638089

10

282475249

1073741824

1356217073

90414471,5

 

 

Applications composées

 

Considérons la somme des puissances des six premiers nombres.

On peut tout aussi bien l'écrire, en faisant apparaître une somme des chiffres identique (ici, égale à 7).

 

 

1n +  2n + 3n + 4n + 5n + 6n

 

(1n + 6n) + (2n + 5n) + (3n + 4n)

 

Or, nous venons juste de voir que les expressions entre parenthèse sont divisibles par la somme de leurs nombres.

 

7 = 1 + 6 | 1n + 6n

7 = 2 + 5 | 2n + 5n

7 = 3 + 4 | 3n + 4n

 

Les termes de la somme, pris deux à deux, sont divisibles par 7. La somme est aussi divisible par 7 (encore une application du rappel de tête).

 

(1n + 6n) + (2n + 5n) + (3n + 4n)

= 7 k            + 7 k'       + 7k"

= 7 (k + k' + k")

 

Conclusion

La somme des puissances des nombres jusqu'à 6 est divisible par 7 pour toutes les puissances impaires.

 

La généralisation au-delà du cas particulier de 7 est possible.   >>>

 

 

 

7 | 1n +  2n + 3n + 4n + 5n + 6n

pour n = 2k+ 1

 

 

 

 

 

Suite

*  DivisibilitéIndex 

*  Somme de puissances

Voir

*  Diviseurs

*  Nombres consécutifs

Cette page

http://diconombre.fr/Wwwgvmm/Decompos/Divanbn.htm