NOMBRES – Curiosités, Théorie et Usages

 

Accueil                           DicoNombre            Rubriques           Nouveautés      Édition du: 10/09/2021

Orientation générale        DicoMot Math          Atlas                   Actualités                       M'écrire

Barre de recherche          DicoCulture              Index alphabétique        Références      Brèves de Maths

             

  Analyse

 

Débutants

Logarithme

LOGARITHME

 

Glossaire

Général

 

 

INDEX

 

Analyse

Introduction

Calcul

Exemples

Changement de base

Propriétés

Décibel

EXPONENTIELLE

Table

Maths

Historique

 

Sommaire de cette page

>>> Changement de base

>>> Calcul – Exemples

>>> Travaux pratiques

>>> Exemple de calcul avec chnagement de base

>>> Variations sur log

>>> Logarithme et Maple

 

 

 

 

 

 

 

LOGARITHMES

Changement de base / Conversion

 

Comment passer d'une base de logarithme à une autre. Notamment des logarithmes népériens aux logarithmes décimaux.

 

Réciprocité des fonctions logarithmes et exponetielles:

 

 Anglais : The logarithm of x to the base a

The logarithm of the base itself is 1

 

 

CHANGEMENT DE BASE

 

Changement de base

 

Formule base quelconque

 

Formule base décimale  (a = 10) et népérienne (b = e =  2,718182...)

 


 

Voir Types de logarithmes / Constante e

 

 

 

Explications

 

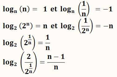
Base a

Base b

Soit le log en base a à exprimer en base b

loga N

= L

 

 

Ce qui veut dire que (fonction réciproque)

N

= aL

 

 

Reprenons en base b

 

 

logb N

 

Remplaçons N par sa nouvelle valeur

 

 

 

= logb aL

Propriété des log

 

 

 

= L . logb a

Soit la valeur de L

 

 

L

= logb N / logb a

Et, la passerelle entre les deux bases

loga N

 

 

= logb N / logb a

 

 

Exemple de calcul

 

*    Ma table (ma calculette) me donne bien les logarithmes népériens (ln base e = 2,718…), mais je cherche un nombre dont je ne connais que le logarithme décimal (log base 10). Comment s'y prendre?


 Exemple: calculer 100 x 1000 avec les logarithmes

(Exemple volotairement simpliste pour se concentrer sur la méthode)

 

A = 100

B = 1000

P = A . B

log A = 2

log B = 3

log P = log A + log B

log P = 2 + 3 = 5

 

P = ?

Dans  ce cas simple évidemment log 5 donne 100 000.

Mais supposons que ce nombre soit plus compliqué.

Que vaut P?

Sachant que nous sommes en base 10.

Et que nous n'avons que la table de la base "e" disponible.

 

log P = ln P / ln 10

ln P   = log P . ln 10

 

Changement de base selon la formule ci-dessus.

On connaît logP on veut calculer ln10.

 

log P = 5

ln 10 = 2,302585093…

On connaît la valeur du premier facteur

Valeur de ln 10 selon notre table.

P = exp (log P x ln10)

P = exp ( 5 x 2,30…)

P = exp (11,51292546…)

Passage aux exponentielles (fonction réciproque du logarithme).

On remplace log P par sa valeur connue.

P =          99 999, 99…

   =        100 000

Recherche de la valeur de cette exponentielle (table ou calculette).

 

 

 

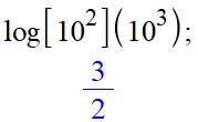
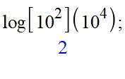
TRAVAUX PRATIQUES

 

Base en racine

Comment démontrer cette curiosité?

 

 

Voici les outils en deux formules équivalentes:

 

ax= N

loga N= x

 

 

 

 

 

Calcul avec retour aux puissances

 

Calcul  de

 

 

Calcul avec changement de base

 

Calcul  de

 

 

Calcul avec changement de base

 

 

 

 

Équation

Il faut calculer x:

 

3x – 1 . 52x – 1 = 375

 

Voici les outils:

 

log ab = b . log a

 

log(a.b) = log a + log b

 

 

 

 

Calcul

 

La division de chaque côté par (log 3 + 2 log 5) est légitime car cette quatité est strictement positive.

 

Voir Nombre 2

Merci à Patrick Herrmann pour ses remarques

 

Exemple de calcul avec changement de base

 

Une expression en log pour x (x = logarithme de 2 en base 12) et une autre pour y (y = logarithme de 72 en base 6).

 

Comment exprimer y en fonction de x ?

 

D'abord effectuer un changement de base.

 

 

   

Voir Brève 725

 

 

VARIATIONS sur les LOG

 

 

 

Logarithme et Maple

 

*    Le calcul littéral impliquant des logarithmes sur un logiciel de calcul symbolique comme Maple nécessite de petites précautions. En effet, le logarithme n'est pas défini avec des nombres négatifs (sauf avec des nombres complexes).

 

 

Ces instructions avec "assume" (supposez en anglais) indique au programme que les nombres a, n et m sont positifs tout au long des calculs.

 

[a] indique qu'il s'agit d'un logarithme en base a.

La réponse est n avec une tilde (~) qui indique que ce nombre est lié à des hypothèses.

La base doit être un nombre sans puissance (pourquoi?). Pour contourner cette interdiction, on calcule préalablement la base (ici en a²)

La réponse est 3/2 avec le 3 de la puissance du nombre et le 2 de la puissance de la base.

 

 

Quelques valeurs

 

Identités pratiques pour n > 1

Voir Solution universelle au problème des quatre 4

 

  

 

 

 

Suite

*    Logarithmes – Calcul

*    Logarithmes – Historique

*    Balle qui rebondit

*    Logarithmes et tout nombre

*    Changement de base en exponentielle

Voir

*    Arrondis avec logarithmes

*    Calcul des factorielles avec les logs

*    Croissance

*    Constantes Mathématiques

*    Courbes élémentaires

*    Échelle de Richter

*    Exponentielle

*    ExposantsIndex

*    Exposants et puissances

*    Morphisme

DicoNombre

*   Nombre 1

*    Ln 2 = 0,693…

*    Ln 10 = 2,302 …

Cette page

http://diconombre.fr/Wwwgvmm/Analyse/Logabase.htm