Accueil

Orientation générale

Barre de recherche

DicoNombre

DicoMot Math

DicoCulture

Atlas des maths

Rubriques

Index alphabétique

Nouveautés

Actualités

Références

Édition du: 18/12/2023

M'écrire

Brèves de Maths

 

INDEX

 

Équations

Algèbre

Équations

Généralités

Techniques de base

Diophantienne

Premier degré

Deuxième degré

Troisième degré

Deux inconnues

Deux équations ou plus

Déterminant

Inéquation

Avec exposant

Réduction

Relations de Viète

Faites un double-clic pour un retour en haut de page

 

 

Relations de Viète

liant les racines aux coefficients

 

Les relations de Viète (1540-1603) expriment les relations intimes entre les racines d'une équation et les coefficients du polynôme.  Relations prouvées par Viète en 1579.

Illustration: exemple avec le troisième degré

     

 

Sommaire de cette page

>>> Cas du deuxième degré 

>>> Cas du troisième degré 

>>> Cas du quatrième degré

>>> Cas général

>>> Énigme – Exemple d'application

 

Débutants

Équations

 

Glossaire

Équations

Anglais:  Vieta's formulas relate the coefficients of a polynomial to sums and products of its roots.

 

 

Cas du deuxième degré

haut

 

Deuxième degré

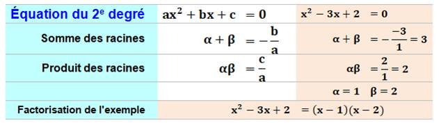
Pour l'équation du second degré on sait que les coefficients représentent la somme et le produit des racines.

On nomme S la somme et P le produit; les deux racines sont nommées α et β.

 

Les coefficients du polynôme sont b et c. Si le coefficient de a n'est pas l'unité (ni nul), il suffit de diviser tous les termes du polynôme par a.

 

 

Formulations équivalentes

x² + bx + c = 0

x² – Sx + P = 0

x² – (α+β) + αβ = 0

(x – α) (x – β) = 0

 

Coefficient de tête  
ax² + bx + c = 0
x² + (b/a) x + (c/a) = 0

   

 

Relations de Viète et exemple numérique

Connaissant la somme et le produit, il n'est pas très difficile de trouver les deux racines.

   

 

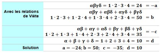
Cas du troisième degré

haut

 

Relations de Viète et exemple numérique

Avec ces trois relations entre les racines, pas si évident de trouver les trois racines.

Ici, on peut deviner que 6 = 1 × 2 × 3 et tester les autres relations.

  

 

Cas du quatrième degré

haut

 

Relations de Viète et exemple numérique

    Avec ces quatre relations entre les racines, pas si évident de trouver les quatre racines.

Ici, on peut deviner que 24 = 4! =  1 × 2 × 3 × 4 et tester les autres relations

 

 

 

 

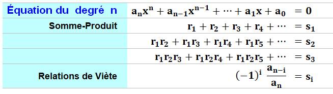
Cas général

haut

 

Relations de Viète et exemple numérique

 

 

Applications

La somme et le produit des racines d'un polynôme quadratique P sont 9 et 20. Par ailleurs, le polynôme vaut 4 pour x = 6.

Retrouver le polynôme.

Avec les relations de Viète: P(x) = a(x² – 9x + 20)

Avec la valeur en 6: P(6) = a(36 – 54 + 20) = 2a = 4 => a = 2

Solution: 2x² – 18x + 40.

On donne a – a² + 1 = 0 et b – b² + 1 = 0 avec a différent e b.

Évaluer  a + b + ab.

Les deux relations données impliquent que a et b sont deux racines distinctes de x² – x – 1 = 0

Viète nous dit: a + b = 1 et ab = –1

Alors: a + b + ab = 1 + (-1) = 0

Quelles sont les racines de x² + px + q = 0, sachant que p + q = 198 ?

Relations de Viète:  α + β = -p et αβ = q

Alors: p + q = 198 = αβ – (α + β)

Factorisation: (α – 1)( β – 1) = 198 + 1 = 199

Or 199 est premier: 199 = 1 × 199.

Deux solutions: {200, 2} et {0, –198 }.

Un polynôme du troisième degré avec:
α + β + γ = 10; αβ + αγ + βγ = -1 et αβ  = -6

Quel est le polynôme ?

Avec Viète, la solution se lit immédiatement

x3 – 10x2 – x + 6 = 0

Avec x² – 3x + 2 = 0, trouver la valeur de α² + β².

α² + β² = (α + β)² – 2αβ = 3² – 2×2 =  5

En fait les racines sont: 2 et 1 et le polynôme s'écrit: (x – 2) (x – 1).

 

 

Exemple d'application 1 (4e degré)

haut

 

Énigme

Résoudre ce système d'équations.

 

Piste

On observe que chaque équation a pour coefficients successifs les puissances croissantes du coefficient de b.

Les quatre inconnues a, b, c et d peuvent être représentées par un polynôme générique du quatrième degré dont on devra trouver les coefficients.

 

 

Polynôme du quatrième degré et ses racines

 

Application des relations de Viète

 

Allure du graphe

Les racines en 1, 2, 3  et 4 sont bien visibles en y = 0 (sur l'axe des x).

 

 

Voir Défis en algèbre

 

 

 

Exemple d'application 2 (4e degré)

haut

 

Énigme

Les racines de ce polynôme sont en progression arithmétique.

Quelle est la valeur de q ?

 

 

Piste

Le coefficient de x3 est nul. La relation de Viète nous dit qu'alors la somme des racines est nulle.

Étant en progression arithmétique, les quatre racines sont symétriques (sinon la somme serait positive, non nulle).

La progression arithmétique est égale à (x) – (– x) = 2x. Valeur à appliquer à y pour étendre la progression.

 

 

Allure des racines

-y, -x, x, y

 

Raison de la progression: 2x

-3x, -x, x, 3x

 

 

Poursuite du calcul avec les relations de Viète

 

 

Racines

Sachant que x² = 4 => Racines = { –6, –2, 2, 6}.

  

 

Exemple d'application 3 (4e degré)

haut

 

Problème

Une  équation du quatrième degré dont on connait trois des quatre racines: 2, -3 et 5.

Restituer les coefficients a, b et c.

 

 

Piste

Le coefficient  de x3 est nul, ce qui veut dire que la somme des racines est nulle.

Connaissant les trois autres, la quatrième est facilement déductible.

Notez que peut importe le nom, les racines sont interchangeables.

 

 

Deux solutions pour trouver les coefficients

 

     

 

Exemple d'application 4 (3e degré)

haut

 

Problème

Une  équation du troisième degré.

Calculer la somme S des cubes des sommes des racines deux à deux.

 

 

Pour commencer

Résumé de l'énoncé et notation

 

On note que la somme des racines est nulle (pas de coefficients pour x²).

On note aussi que leur produit vaut -1.

 

 

Calculs

           Voir Identité de Gauss avec a3 + b3 + c3

 

 

Note

Le coefficient de x est totalement neutre. Il est déroutant d'y mentionner l'année en cours.

La somme 3 est inattendue, car l'expression de chacune des racines n'est pas simple. Exemple pour la racine réelle (les deux autres sont complexes):

 

Les trois racines et la somme demandée

 

 

 

Haut de page (ou double-clic)

 

Suite

*      ÉquationGlossaire et index

*      Techniques de base

*      Exercices simples

*      Réduction des termes d'une équation

*      Équations énigmatiques – Index

*      Voir haut de page

Voir

*      Algorithme d'Héron

*      Équation avec racines  carrés

*      Équation de Pell

*      Équation en x4 par factorisation

*      Équations diophantiennes

*      Inéquations

*      Les 17 équations qui ont changé le monde

*      Méthode de Newton

*      Puissance quatrième

*      Structure algébriques et équations

Sites

*      Relations entre coefficients et racines – Wikipédia

*      La formule de Viète sur les polynômes – mathweb.fr

*      Vieta's Formula – Geesforgeek

*      Vieta's Formula – Wolfram MathWorld

*      Application of Vieta's Formula – Learn math daily

*      Application of vieta’s theorem – Slideshare

*      Vieta's Formula: a simple example – Chan Lye Lee

Cette page

*      http://diconombre.fr/ThNbDemo/VieteRel.htm