|
||||||||||||||||||||||||||||||||||||||||
![]()
|
Périmètre de l'ELLIPSE Le calcul du périmètre de
l'ellipse est une affaire difficile! On connait de nombreuses formules
donnant une valeur approchée. Nous allons faire le point. Aire et périmètre de l'ellipse en
fonction du grand axe et du petit axe
|
|
|
|
|
Autant le calcul du périmètre du cercle
est simple (P = 2 Paramètres de l'ellipse
Encadrement du périmètre (et exemple avec a = 6
et b = 4) Méthode des cercles
équivalents de circonférence
Kepler
(1571-1630) utilisait un cercle équivalent tel que:
En 1883, Thomas Muir
(1844-1934) donne cette formule qui améliore nettement le résultat:
|
|

Le
tableau suivant donne les
principales formules par rang de
précision croissante.

Voir Ellipse
Perimeter Calculations Tool de Math is Fun pour obtenir presque tous ces calculs à la fois.
|
|
||
|
|
Valeur exacte ? La
formule est une intégrale elliptique
du second ordre. En bref, elle est transcendantale et n'a pas de solution
analytique. Elle est
calculée par intégration numérique ou par approximations rationnelles. Les
mathématiciens cherchent toujours des formules qui se rapprochent de plus en
plus de la valeur théorique (comme c'est le cas avec la constante
irrationnelle Pi). En 2006, la
meilleure formule dépassait le millionième (1 ppm). Les logiciels de calcul utilisent de telles
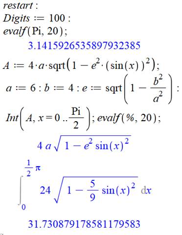
méthodes. On peut penser qu'ils utilisent les meilleures formules. Exemple Maple ci-dessous avec 100 chiffres. Le
résultat est donné avec 20 chiffres. La précision attendue ne dépasse pas 10
chiffres. |
|
Voir Dérivées de sinus et
cosinus
|
|
Avec
Maple pour a = 6 et b = 4. Après
réinitialisation, on demande à Maple de faire tous les calculs avec 100
chiffres de précision. On
montre les vingt premières décimales
de Pi (sur les 100 internes aux calculs) pour se rassurer sur la
précision de calcul sur Pi. A
est la fonction à intégrer. Int
est la commande d'intégration: on indique que c'est A qui doit être intégré
en x de x = 0 à x = Pi/2. Evalf
permet de calculer la valeur numérique, en dévoilant 20 chiffres
significatifs. Les
points virgules signifient que nous voulons le retour imprimé; ce que nous
avons en bleu. |
Ramanujan et le méridien terrestre
|
Ramanujan donne cette très bonne
approximation de la circonférence de l'ellipse:
Appliquée à la
longueur d'un méridien terrestre,
cette formule donne: a = 6378 137 m Rayon à
l'équateur. b = 6 356 752,3141 m
Rayon au pôle. p = 40 007 862, 9167951 m calculée. Pr = 40 007 862,
9164813 m réelle. |
![]()
|
Retour |
|
|
Suite |
|
|
Voir |
|
|
Sites |
|
|
Cette
page |
http://villemin.gerard.free.fr/Geometri/Coniques/ElliPeri.htm
|
![]()