NOMBRES - Curiosités, théorie et usages

 

Accueil                           DicoNombre            Rubriques           Nouveautés      Édition du: 12/08/2020

Orientation générale        DicoMot Math          Atlas                   Actualités                       M'écrire

Barre de recherche          DicoCulture              Index alphabétique        Références      Brèves de Maths

     

RUBRIQUE   Nombres

 

Débutants

Général

ÉTUDES

 

Glossaire

Général

 

 

Retour page du 99 >>>

Nombre 36

Nombre 81

Nombre 99

Nombre 999

Nombres en 99…98

 

Sommaire de cette page

>>> Approche

>>> Autres pour 99

>>> Opération originale pour 99

>>> Cas de 93

>>> Cas de 500

 

 

 

 

 

 

 

Nombre 99 avec quatre 4

  

Curiosités avec le jeu du quatre 4.

Anglais: ninety nine with four fours

 

 

 

Approche pour 99

 

Il s'agit de trouver le nombre 99 comme résultat avec quatre 4 seulement impliqués dans des opérations arithmétiques.

 

Opérations avec cinq 4

4! = 24

4! x 4 = 96

4! x 4 +  + 4/4 = 99

 

Une expression possible:

 

Opérations avec quatre 4

 

Pas facile de faire mieux sans astuce! Ici la notation américaine omettant le zéro.

 

 

 

Autres pour 99

 

Quelques expressions complémentaires qui montrent l'inventivité des adeptes de ce jeu.

 

 

 

 

 

 

 

 

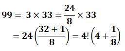
Opération originale pour 99

 

Expression successives de 99 en cherchant des 4 ou des multiples de 4.

 

Première expression directe

Celle que nous avons déjà vu.

avec un 1 non désiable!

 

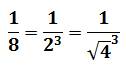
Deuxième expression avec une manière originale d'exprimer 1/8.

 

Comment exprimer l'exposant 3?
Avec des radicaux.

 

 

En regroupant:

 

 

Cas de 93 avec le même type de solution

Approche de 93

Première expression directe

 

Deuxième expression avec l'expression de 1/8 vue plus haut.

 

 

Cas de 500 avec le même type de solution

Approche de 500

Première expression directe

 

Deuxième expression

On sait faire 5

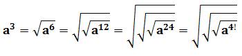
Pour faire 3, on diviser 24 par 8, en termes d'exposants.

Soit trois racines successives.

Calcul Maple

Voir Nombre 500

 

 

 

 

Retour

*       Nombre 99 – Développements

*       Problème du quatre 4

Suite

*       Nombre 999

Voir

*       Divisibilité par N

*       Énigme et puzzlesIndex

*       Nombres – Nomenclature

*       Pannumérique

*       Repunit

Cette page

http://diconombre.fr/aNombre/Nb0a1000/Nb99.htm