NOMBRES - Curiosités, théorie et usages

 

Accueil                           DicoNombre            Rubriques           Nouveautés      Édition du: 03/09/2020

Orientation générale        DicoMot Math          Atlas                   Actualités                       M'écrire

Barre de recherche          DicoCulture              Index alphabétique        Références      Brèves de Maths

  

Trigonométrie

 

Débutants

Trigonométrie

CALCULS SIMPLES

 

Glossaire

Général

 

 

INDEX

 

Trigonométrie

 

Multiplication

 

 

Trigo

Pentes

Exemple

Avancés

Multiplication via la trigonométrie

Congruence avec trigonométrie

 

Sommaire de cette page

>>> Principe

>>> Expression avec sinus ou cosinus

>>> Allure cyclique des fonctions trigonométriques
>>> Expression avec tangente seule

>>> Expression avec cotangente seule

>>> Expression avec tangente et cotangente

 

 

 

 

 

Congruence exprimée par lignes trigonométriques

 

La fonction modulo compte, par exemple de cette manière (1, 2, 3, 4, 0, 1, 2 …), sorte de va-et-vient linéaire sur la droite des nombres.

L'expression d'un angle tourne sur le cercle en une sorte de mouvement circulaire, par exemple:

Comment exprimer l'un (linéaire) avec l'autre (circulaire) ?

 

Résultat: deux relations intéressantes (sauf exceptions pour cas particuliers):

 

 

Principe

L'idée est double:

*      profiter des propriétés modulo 2 des angles pour exprimer les nombres entiers modulo k, et

*      prendre une ligne trigonométrique d'un angle (le sinus, par exemple) et de revenir à l'angle par la fonction inverse (l'arcsinus).

Oui, mais les fonctions trigonométriques comme le sinus sont "réversibles" sur 90° (isomorphisme: à chaque angle est associée une valeur de sinus), mais pas sans doublons sur 360° (1/2 est le sinus de 30° et de 150°).

La tangente semble la fonction la plus appropriée.

 

  

Expression avec sinus ou cosinus

 

Faisons cette proposition avec les paramètres a et b, et vérifions l'égalité entre m et e.

 

 

Si on oublie les transformations on a: e = a.

L'idée est que les transformations réalisent une fonction modulo b. Est-ce réalisable avec les sinus ?

a = 1  et b = 5

OUI

 

m = 1 mod 5 = 1

a = 2  et b = 5

NON

 

m = 2 mod 5 = 2

 

Ces deux fonctions, sinus et cosinus, ne se prêtent pas à une rotation sympathique.

 

Par exemple, le sinus retrouve les mêmes valeurs par symétrie verticale sur le cercle trigonométrique.

Impossible d'exprimer un modulo avec ces deux fonctions.   

 

Allure cyclique des fonctions trigonométriques

 

 

Nous venons de voir que la fonction sinus n'est pas adaptée à une représentation cyclique sur un tour (2Pi): la fonction passe quatre fois par la même valeur positive ou négative.

 

La fonction tangente est plus propice, même si elle a l'inconvénient de s'enfuir vers l'infini pour Pi/2 et 3Pi/2.

 

Idem pour cotangente avec exception en k.Pi

 

 

 

Graphe 10 x sinus et tangente

 

 

 

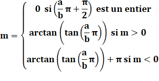
Expression avec tangente seule

 

Faisons cette proposition avec les paramètres a et b et vérifions l'égalité.

 

Note: le cas b = 0 est bien sûr exclu.

 

 

a = 1  et b = 5

OUI

 

m = 1 mod 5 = 1

a = 13  et b = 5

OUI

avec ajout de Pi

 

m = 13 mod 5 = 3 et c'est aussi – 2 mod 5

 

Bilan

Formule valable mais il faut tenir compte des valeurs critiques avec:
tan(k.Pi+Pi/2) impossible.

 

Pour les angles dans les deux quadrants du bas, ajouter Pi.

 

 

 

 

  

Vérification par logiciel

(a, b, m, e)

a et b de 1 à 5

1, 1, 0, 0

1, 3, 1, 1

1, 4, 1, 1

1, 5, 1, 1

2, 1, 0, 0

2, 2, 0, 0

2, 3, 2, 2

2, 5, 2, 2

3, 1, 0, 0

3, 3, 0, 0

3, 4, 3, 3

3, 5, 3, 3

4, 1, 0, 0

4, 2, 0, 0

4, 3, 1, 1

4, 4, 0, 0

4, 5, 4, 4

5, 1, 0, 0

5, 3, 2, 2

5, 4, 1, 1

5, 5, 0, 0

 

 

 

Expression avec cotangente seule

 

Faisons cette proposition avec les paramètres a et b et vérifions l'égalité.

 

 

a = 1  et b = 5

OUI

 

m = 1 mod 5 = 1

a = 13  et b = 5

OUI

 

m = 13 mod 5 = 3

 

Bilan

Formule valable mais il faut tenir compte des valeurs critiques avec:
cotan(k.Pi) impossible.

 

 

 

  

Vérification par logiciel

(a, b, m, e)

a et b de 1 à 5

1, 2, 1, 1

1, 3, 1, 1

1, 4, 1, 1

1, 5, 1, 1

2, 3, 2, 2

2, 4, 2, 2

2, 5, 2, 2

3, 2, 1, 1

3, 4, 3, 3

3, 5, 3, 3

4, 3, 1, 1

4, 5, 4, 4

5, 2, 1, 1

5, 3, 2, 2

5, 4, 1, 1

 

 

Expression avec tangente et cotangente

 

Faisons cette proposition avec les paramètres a et b et vérifions l'égalité.

 

 

a = 1  et b = 5

OUI

 

m = 1 mod 5 = 1

a = 13  et b = 5

OUI

 

m = 13 mod 5 = 3

Bilan

Formule valable mais il faut tenir compte des valeurs critiques comme:

*    tan(Pi/2 + k.Pi) impossible et

*    cotan(k.Pi) impossible.

 

 

 

  

Vérification par logiciel

(a, b, m, e)

a et b de 0 à 5

0, 1, 0, 0

0, 2, 0, 0

0, 3, 0, 0

0, 4, 0, 0

0, 5, 0, 0

1, 1, 0, 0

1, 2, 1, 1

1, 3, 1, 1

1, 4, 1, 1

1, 5, 1, 1

2, 1, 0, 0

2, 2, 0, 0

2, 3, 2, 2

2, 4, 2, 2

2, 5, 2, 2

3, 1, 0, 0

3, 2, 1, 1

3, 3, 0, 0

3, 4, 3, 3

3, 5, 3, 3

4, 1, 0, 0

4, 2, 0, 0

4, 3, 1, 1

4, 4, 0, 0

4, 5, 4, 4

5, 1, 0, 0

5, 2, 1, 1

5, 3, 2, 2

5, 4, 1, 1

5, 5, 0, 0

 

 

 

 

Suite

*Multiplication via la trigonométrie

*Calculs avec les arc tangentes

*  Pente – Calcul avancé

Voir

*  Théorème de Pythagore

*  Trigonométrie – Débutant

*  Trigonométrie – Calculs avancés

*  Trigonométrie – Formules

Aussi

*  Angle et cercle trigonométrique

*  Unités

Cette page

http://diconombre.fr/aMaths/Trigonom/ModTrigo.htm