NOMBRES - Curiosités, théorie et usages

 

Accueil                           DicoNombre            Rubriques           Nouveautés      Édition du: 12/08/2025

Orientation générale        DicoMot Math          Atlas                   Références                     M'écrire

Barre de recherche          DicoCulture              Index alphabétique                               

     

Puzzles arithmétiques

 

Débutants

Cryptogramme

Multiplication

 

Glossaire

Général

 

 

INDEX

Défis arithmétiques

 

Jeux et énigmes

 

Introduction

123456

Croix

Mul. 5 x 5

9 chiffres

15 chiffres

26 chiffres

Somme S et divisible par k

 

Sommaire de cette page

>>> Multiplications 5 x 5 chiffres – Énigmes

>>> Toutes les multiplications

 

 

 

 

 

Puzzles arithmétiques

 

Multiplication de deux nombres à cinq chiffres faisant apparaître une ligne verticale de 9: complète, exclusive ou avec un maximum de 9.

 

 

Trois énigmes

avec multiplications à 5 x 5 chiffres

 

*      Complétez cette trame de multiplication selon trois cas:

1)   avec le maximum de 9 en plus de ceux indiqués, ou

2)   sans autres 9, sauf éventuellement dans le résultat final, ou

3)   avec X = 9 pour compléter la colonne de 9, les autres chiffres étant quelconques.

 

 

Notes: Le premier chiffre (à gauche) du résultat et des produits partiels peut être nul. Il existe bien cinq produits partiels comportant un 9, ce qui veut dire que les chiffres du multiplicateur ne sont jamais nuls.

Solutions

 

 

 

Toutes les multiplications

 

Pour la multiplication telle que posée ci-dessus, avec ces sept 9:

 

*      Il existe 2 015 telles multiplications. Il y en a 2 308 avec le 8 à la place du 9.

*      Il y en a    105 sans autres 9 dans les nombres à multiplier (A et B).

*      Il y en a      40 sans autres 9, hors résultat final (R).

*      Il y en a        5 sans autres 9 du tout, y compris dans R.

*      Il y en a        0 avec X = 9, quels que soient les autres chiffres.

 

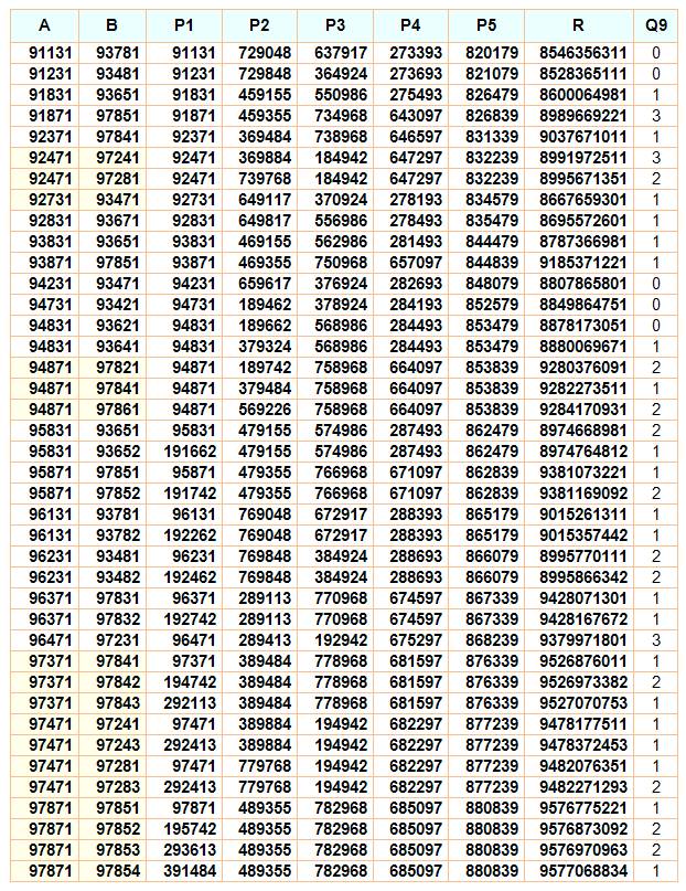
Voici la liste des 40 solutions pour lesquelles les autres 9 sont tolérés dans R, le résultat final (Q9 indique la quantité de 9 dans le résultat):

En jaune: triplets et quadruplets

 

Vous retrouverez évidemment les solutions des énigmes dans ce tableau.

Pour éviter les solutions multiples, il est conseillé de préciser ce que l'on attend du résultat: pas de 9, deux ou trois neufs placés, etc.

 

Exemple avec des 8, aucun 8 ailleurs que dans la colonne demandée.

 

80916, 85291, 80916, 728244, 161832, 404580, 647328, 6901406556.

 

 

 

 

Suite

*    Multiplications à neuf chiffres identiques

*    Cryptogrammes – Multiplication

Voir

*    PuzzlesIndex

*    Multiplication

DicoNombre

*    Nombre 9

Livre

*    La revue tangente de mai/juin 2008 pose de cette énigme en donnant des 9 placés dans le résultat.

Cette page

http://villemin.gerard.free.frajeux1/Arithmet/Mul559.htm

 

 

 

Solution du problème 1

 

*      Maximum de 9:
La solution comporte 32 fois le chiffre 9. Quatre 9 sur chaque ligne.

Retour

 

 

 

 

Solution du problème 2

 

*      Avec une colonne de 9 telle que ceux marqués en rouge. Aucun autres 9, sauf éventuellement dans le résultat final.

Il existe 40 solutions.
Mais, la colonne n'est jamais complète en 9 (X n'est jamais égal à 9).

Voici un quadruplet puis un triplet de solutions.

Quadruplet

*      Quatre solutions qui différent par le chiffre des unités du multiplicateur.

 

 

 

 

Autre quadruplet indiqué dans le tableau

 

Triplet

*      Trois solutions pratiquement avec les mêmes nombres 94 871 x 97 821, sauf la dizaine du multiplicateur en 2, 4 ou 6.

 

 

 

 

Autre triplets indiqués dans le tableau

 

Retour

 

 

 

Solution du problème 2

 

*      Barre verticale complète avec des 9.

Aucune solution!

Retour