Accueil

Orientation générale

Barre de recherche

DicoNombre

DicoMot Math

DicoCulture

Atlas des maths

Rubriques

Index alphabétique

Nouveautés

Actualités

Références

Édition du: 03/07/2023

M'écrire

Brèves de Maths

 

INDEX

 

Énigmes

Somme des entiers

Matrices

Énigmes algébriques

50^99 et 99!

Balle et rebond

Coq, poules et poussins

Joailliers

Autobus

Somme diagonale

 

 

Somme de la diagonale

d'un tableau (matrice)

 

Comment calculer la somme de la diagonale de tableaux carrés de plus en plus grand ?

Notre défi: En fonction de n, calculer la valeur du nombre de tête (T) et la somme de la diagonale (S).

 

Voir Brève 793

 

 

 

 

Sommaire de cette page

>>> Approche 

>>> Valeur de tête

>>> Somme de la diagonale

>>> Bonus: calcul de la valeur de tête

Débutants

Nombres

 

Glossaire

Nombres

 

Approche: D = f( n, T)

haut

 

Problème

Un tableau carré de 4 x 4 = n².

Les nombres se succèdent à partir d'une valeur de départ T.

Quelle est la somme D de la diagonale de ce tableau  en fonction de T et de n ?

 

Solution

D = 15 + 20 + 25 + 30

    =  4 x 15 + (0 + 5 + 10 + 15)

    = 4 x 15 + 5 (0 + 1 + 2 + 3)

Avec la somme des entiers de 0 à 3 avec 3 = n – 1:

 

Ici, on retrouve: 4x15 + 64/2 – 4/2 = 60 + 32 – 2 = 90

 

 

= 4 x 15 +

 

Valeur de tête

haut

 

Problème

Connaissant Tn =  2 pour n = 2, calculer Tn+1 = 6 pour n = 3.

Puis, donner la valeur de T en fonction de n.

 

Formule de récurrence

Il s'agit simplement d'ajouter le carré de n à la valeur de départ pour obtenir celle d'arrivée.
Tn+1 = Tn + n² 

 

Ici pour n = 2: 6 = 2 + 2²;

Pour la suivante avec n = 3: 6 + 9 = 15

 

Formule absolue

L’addition en tableau montre que la valeur de tête Tn+1 est égale à la somme des carrés + 1.

Or la somme des carrés vaut:

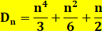
Tous calculs faits pour Tn:

Pour n = 4: T = 27/3 + 9/2 + 3/6 + 1 = 15

 

Deux tableaux successifs

 

 

 

Calcul de la valeur de tête

 

 

Somme de la diagonale: D = f(n)

haut

 

 

Avec ces deux formules, nous sommes en mesure de calculer la somme de la diagonale de n'importe quel tableau de dimension n.

 

 

 

 

 

Après fusion, la formule devient excessivement simple.

 

 

 

Valeur pour n jusqu'à 20

[n, T, S]

 

[1, 1, 1], [2, 2, 7], [3, 6, 30], [4, 15, 90], [5, 31, 215], [6, 56, 441], [7, 92, 812], [8, 141, 1380], [9, 205, 2205], [10, 286, 3355], [11, 386, 4906], [12, 507, 6942], [13, 651, 9555], [14, 820, 12845], [15, 1016, 16920], [16, 1241, 21896], [17, 1497, 27897], [18, 1786, 35055], [19, 2110, 43510], [20, 2471, 53410], …

  

 

 

Bonus: calcul de la valeur de tête

haut

 

 

Formule

Je ne connais pas la formule de la somme des carrés. Comment retrouver la formule de la valeur de tête?

Il faut résoudre un système d'équations à quatre inconnues

 

 

 

 

Analyse des différences successives

 

En prenant les premiers exemples du tableau ci-dessous (jusqu'à n = 5 ou 6, cela suffit), on examine la progression des valeurs (la différence entre une valeur et la valeur précédente)

On recommence jusqu'à ce que les différences soient constantes. Il faut trois tours.

 

 

L'équation qui représente T est donc du troisième degré. Sa forme générique est:
a·n3 + b·n2 + c·n + d = 0

 

Il s'agit de trouver les valeurs de a, b, c et d en confrontant l'équation à quatre valeurs connues.

Le calcul est présenté dans le tableau de droite.

 

 

  

 

Haut de page

 

Suite

*      Coq, poules et poussins

*      Partage des œufs

*      Équations diophantiennes

Voir

*      Balle et rebond

*      Lapins et canards

*      Les cinq pots

*      Énigmes et jeuxIndex

Cette page

http://diconombre.fr/aJeux1/Algebre/SomDiago.htm