NOMBRES - Curiosités, théorie et usages

 

Accueil                           DicoNombre            Rubriques           Nouveautés      Édition du: 22/08/2018

Orientation générale        DicoMot Math          Atlas                   Références                     M'écrire

Barre de recherche          DicoCulture              Index alphabétique                      Brèves de Maths

      

Nombres complexes

 

Débutants

Complexes

Racines

 

Glossaire

Complexe

 

 

INDEX

 

Complexes

Racines

Racines de l'unité (1)

Racines de l'unité (2)

Exemples de calcul de racines

 

Sommaire de cette page

>>> Formule magique (Moivre)

 

 

 

RACINES des nombres complexes

Exemples de calcul

 

La forme polaire se prête aisément au calcul de la racine nième d'un nombre complexe.

 

Formule magique

 

Application de la formule de Moivre

 

 

 

 

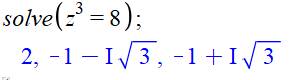
Racine cubique de 8

 

La racine cubique de 8 est bien entendu dans le monde réel.

Mais avec les nombres complexes.

On utilise la formule ci-dessus et pour calculer les sinus et cosinus des angles, on n'hésite pas à faire un petit dessin.

Avec la racine cubique, on cherchera trois racines.

 

 

Car 2 x 2 x 2 = 8

 

Vérification avec un logiciel mathématique (Maple)

 

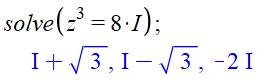
Racine cubique de 8i

Vérification avec un logiciel mathématique (Maple)

 

 

Racine cubique de 8 + 8i

Vérification avec un logiciel mathématique (Maple)

 

 

 

Retour

*         Racines des nombres complexes

Suite

*         Angle Pi/9

*         Calculs avec des radicaux

*         ComplexeIndex

*         Exponentiel

*         Racine cubique – Calcul mental

Voir

*         Constantes

*         Inventaire des types de nombres

*         NombresGlossaire et index

*         Nombres réels

*         OpérationsIndex

*         Puissances et racinesIndex

*         Vecteurs

Cette page

http://diconombre.fr/Wwwgvmm/Type/aaaCompl/RacineEx.htm