|
||||||||||||||||||||||||||
![]()
|
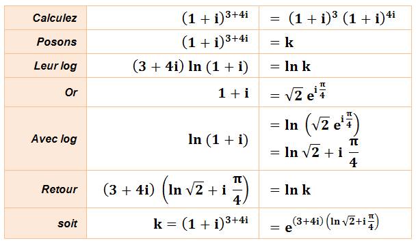
PUISSANCE COMPLEXE d'un nombre Généralement l'élévation à
la puissance est à base d'entiers, voire de fractionnaires. Peut-on imaginer
élever un nombre à une puissance complexe, voire un nombre complexe à une
puissance complexe ? … |
Comme pour les
réels: z0 = 1 >>>
|
|
||
|
La réponse n'est pas simple. |
|
|
|
|
|
|
|
|
|
|
|
|
|
|
|
|
|
|
|
|
|
|
|
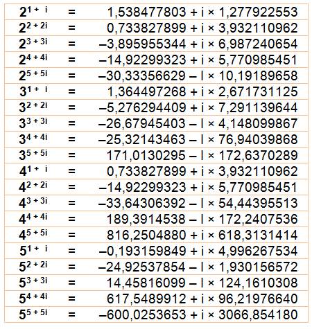
Exemple avec n = 2 |
|
|
Quelques exemples |
|
|
Cas d'un imaginaire (a = 0) |
1i = 1 Calcul
Rappel ln(1 ) = 0 1 i b = 1 Calcul
2i = 0,7692389014 + i x 0.6389612763 3i = 0,1834569747 + i x 0,9830277404 |
|
|
||
|
La réponse n'est pas simple du tout! |
|
|
|
|
|
|
|
|
|
|
|
|
|
|
|
|
ln(2+2i) = 1,0397… + 0,78539… i k = 0, 5086… + 3,6502 …i N = –1,453… – 0,81141… i |
|
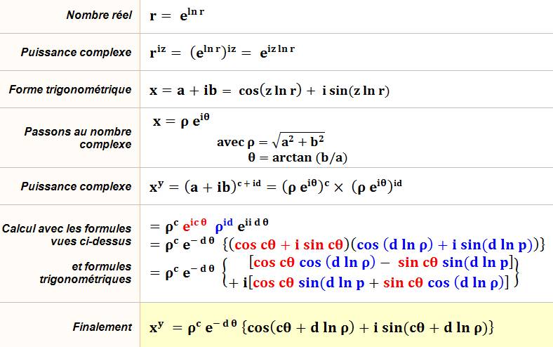
Voir identités
trigonométriques
Attention pour puristes.
|
Ces formules ne
tiennent pas compte du fait que les réponses ne sont pas uniques. Prenons za = exp (a ln z)
|

|
|
||
|
|
|
|
|
|
= 0,2739572535… + i
x 0,5837007586… = (1 + i)1 (1 +
i)i = (1 + i)i + i (1 + i)i |
|
|
|
Voir Puissance de
l'imaginaire = réel |
|
![]()
|
Suite |
|
|
Voir |
|
|
Cette page |
![]()